Наша группа Вконтакте vk.com/4ertimcom

ГОСТ 6001-10000

ГОСТ 8189-78

E-mail автора: 

Тросики спусковые для затворов фотоаппаратов. Технические условия

Обозначение: ГОСТ 8189-78
Статус: действующий
Название рус.: Тросики спусковые для затворов фотоаппаратов. Технические условия
Название англ.: Cable releases for still camera shutters. Specifications
Дата актуализации текста: 19.06.2012
Дата актуализации описания: 19.06.2012
Дата введения в действие: 01.01.1979
Область и условия применения: Настоящий стандарт распространяется на спусковые тросики и устанавливает их присоединительные размеры с затворами любительских фотоаппаратов
Взамен: ГОСТ 8189-70 ГОСТ 4190-69
Список изменений: №1 от 01.10.1984 (рег. 17.05.1984) «Срок действия продлен»
№2 от 01.01.1989 (рег. 03.06.1988) «Срок действия продлен»
№3 от 01.07.1990 (рег. 21.12.1989) «Срок действия продлен»


ГОСТ 8189-78
ГОСТ 8189-78
ГОСТ 8189-78
ГОСТ 8189-78
ГОСТ 8189-78
ГОСТ 8189-78
ГОСТ 8189-78
Автор: 
Домашняя страница автора: 

ГОСТ 9778-78

E-mail автора: 

Материал переплетный на бумаге с пленочным покрытием. Метод определения устойчивости к истиранию

Обозначение: ГОСТ 9778-78
Статус: действующий
Название рус.: Материал переплетный на бумаге с пленочным покрытием. Метод определения устойчивости к истиранию
Название англ.: Film covered paper bookbinding material. Method of determination of abrasion resistance
Дата актуализации текста: 19.06.2012
Дата актуализации описания: 19.06.2012
Дата введения в действие: 01.01.1979
Область и условия применения: Настоящий стандарт распространяется на переплетный материал с пленочным покрытием, изготовленный на бумажной основе, и устанавливает метод определения устойчивости к истиранию
Взамен: ГОСТ 9778-61
Список изменений: №1 от 01.08.1983 (рег. 24.03.1983) «Срок действия продлен»
№2 от 01.11.1988 (рег. 06.06.1988) «Срок действия продлен»


ГОСТ 9778-78
ГОСТ 9778-78
ГОСТ 9778-78
ГОСТ 9778-78
ГОСТ 9778-78
ГОСТ 9778-78
Автор: 
Домашняя страница автора: 

ГОСТ 7164-78

E-mail автора: 

Приборы автоматические следящего уравновешивания ГСП. Общие технические условия

Обозначение: ГОСТ 7164-78
Статус: действующий
Название рус.: Приборы автоматические следящего уравновешивания ГСП. Общие технические условия
Название англ.: SSI self-balancing servoinstruments. General specifications
Дата актуализации текста: 19.06.2012
Дата актуализации описания: 19.06.2012
Дата введения в действие: 01.01.1980
Область и условия применения: Настоящий стандарт распространяется на аналоговые автоматические приборы электромеханического следящего уравновешивания (далее - приборы) Государственной системы промышленных приборов и средств автоматизации (ГСП), предназначенные для измерения силы и напряжения постоянного тока, а также неэлектрических величин, преобразованных в указанные выше электрические сигналы и активное сопротивление
Взамен: ГОСТ 7164-71
Список изменений: №1 от 15.11.1975 (рег. 10.11.1975) «Срок действия продлен»
№2 от 01.04.1984 (рег. 27.11.1984) «Срок действия продлен»
№3 от 01.01.1988 (рег. 25.06.1987) «Срок действия продлен»


ГОСТ 7164-78
ГОСТ 7164-78
ГОСТ 7164-78
ГОСТ 7164-78
ГОСТ 7164-78
ГОСТ 7164-78
ГОСТ 7164-78
ГОСТ 7164-78
ГОСТ 7164-78
ГОСТ 7164-78
ГОСТ 7164-78
ГОСТ 7164-78
ГОСТ 7164-78
ГОСТ 7164-78
ГОСТ 7164-78
Автор: 
Домашняя страница автора: 

ГОСТ 8031-78

E-mail автора: 

Аппараты телефонные. Тональный метод измерения разборчивости речи

Обозначение: ГОСТ 8031-78
Статус: действующий
Название рус.: Аппараты телефонные. Тональный метод измерения разборчивости речи
Название англ.: Telephone sets. Voice-frequency method of speech intelligibility measurement
Дата актуализации текста: 19.06.2012
Дата актуализации описания: 19.06.2012
Дата введения в действие: 01.01.1980
Область и условия применения: Настоящий стандарт распространяется на телефонные аппараты с питанием от центральной батареи и местной батареи и устанавливает тональный метод измерения разборчивости речи.
Настоящий стандарт не распространяется на телефонные аппараты с управлением голосом
Взамен: ГОСТ 8031-56
Список изменений: №1 от 01.01.1982 (рег. 31.07.1981) «Срок действия продлен»
№2 от 01.01.1990 (рег. 01.06.1989) «Срок действия продлен»


ГОСТ 8031-78
ГОСТ 8031-78
ГОСТ 8031-78
ГОСТ 8031-78
ГОСТ 8031-78
ГОСТ 8031-78
ГОСТ 8031-78
Автор: 
Домашняя страница автора: 

ГОСТ 9679.1-78

E-mail автора: 

Хлопок-сырец. Методы определения влажности

Обозначение: ГОСТ 9679.1-78
Статус: действующий
Название рус.: Хлопок-сырец. Методы определения влажности
Название англ.: Raw cotton. Method of determining moisture content
Дата актуализации текста: 19.06.2012
Дата актуализации описания: 19.06.2012
Дата введения в действие: 01.07.1979
Область и условия применения: Настоящий стандарт распространяется на хлопок-сырец ручного и машинного сборов и устанавливает методы определения влажности
Взамен: ГОСТ 9679.1-71
Список изменений: №0 от 27.06.1988 (рег. 27.06.1988) «Срок действия продлен»
№1 от 01.10.1981 (рег. 24.06.1981) «Срок действия продлен»
№2 от 01.04.1983 (рег. 10.11.1982) «Срок действия продлен»
№3 от 01.02.1984 (рег. 22.09.1983) «Срок действия продлен»


ГОСТ 9679.1-78
ГОСТ 9679.1-78
ГОСТ 9679.1-78
ГОСТ 9679.1-78
ГОСТ 9679.1-78
ГОСТ 9679.1-78
ГОСТ 9679.1-78
ГОСТ 9679.1-78
ГОСТ 9679.1-78
ГОСТ 9679.1-78
ГОСТ 9679.1-78
ГОСТ 9679.1-78
ГОСТ 9679.1-78
ГОСТ 9679.1-78
ГОСТ 9679.1-78
Автор: 
Домашняя страница автора: 

ГОСТ 9705-78

E-mail автора: 

Кожа лаковая обувная. Технические условия

Обозначение: ГОСТ 9705-78
Статус: действующий
Название рус.: Кожа лаковая обувная. Технические условия
Название англ.: Enamelled shoe leather. Specifications
Дата актуализации текста: 19.06.2012
Дата актуализации описания: 19.06.2012
Дата введения в действие: 01.01.1980
Область и условия применения: Настоящий стандарт распространяется на кожу для верха обуви из шкур животных, отделанную путем нанесения на лицевую поверхность кожи лаковой композиции на основе полиуретановых смол
Взамен: ГОСТ 9705-61
Список изменений: №1 от 01.08.1984 (рег. 15.03.1984) «Срок действия продлен»
№2 от 01.12.1989 (рег. 06.06.1989) «Срок действия продлен»


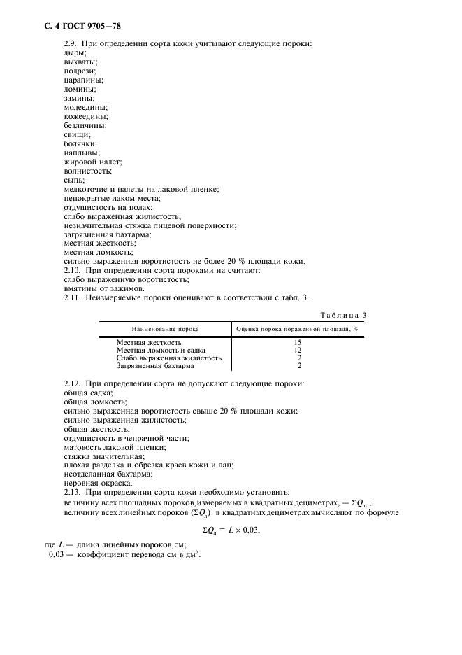
ГОСТ 9705-78
ГОСТ 9705-78
ГОСТ 9705-78
ГОСТ 9705-78
ГОСТ 9705-78
ГОСТ 9705-78
ГОСТ 9705-78
ГОСТ 9705-78
Автор: 
Домашняя страница автора: 

ГОСТ 9289-78

E-mail автора: 

Обувь. Правила приемки

Обозначение: ГОСТ 9289-78
Статус: действующий
Название рус.: Обувь. Правила приемки
Название англ.: Footwear. Acceptance rules
Дата актуализации текста: 19.06.2012
Дата актуализации описания: 19.06.2012
Дата введения в действие: 01.07.1979
Область и условия применения: Настоящий стандарт распространяется на обувь всех видов и назначений из кожи, искусственной и синтетической кожи, текстильных материалов и с комбинированным верхом.
Стандарт не распространяется на обувь валяную, резиновую и изготавливаемую по Госзаказу и поставляемую на экспорт
Взамен: ГОСТ 9289-59
Список изменений: №1 от 01.06.1984 (рег. 17.12.1983) «Срок действия продлен»
№2 от 01.07.1987 (рег. 03.10.1986) «Срок действия продлен»
№3 от 01.03.1988 (рег. 26.10.1987) «Срок действия продлен»
№4 от 01.05.1989 (рег. 22.12.1988) «Срок действия продлен»


ГОСТ 9289-78
ГОСТ 9289-78
ГОСТ 9289-78
ГОСТ 9289-78
ГОСТ 9289-78
ГОСТ 9289-78
ГОСТ 9289-78
Автор: 
Домашняя страница автора: 

ГОСТ 8750-78

E-mail автора: 

Реактивы. Фенилгидразин. Технические условия

Обозначение: ГОСТ 8750-78
Статус: действующий
Название рус.: Реактивы. Фенилгидразин. Технические условия
Название англ.: Reagents. Phenylhydrazine. Specifications
Дата актуализации текста: 19.06.2012
Дата актуализации описания: 19.06.2012
Дата введения в действие: 01.07.1979
Область и условия применения: Настоящий стандарт распространяется на фенилгидразин, который представляет собой светло-желтую прозрачную маслянистую жидкость; при хранении наблюдается выпадение незначительного осадка в виде мути; плохо растворим в холодной воде, лучше в горячей; хорошо растворим в этиловом спирте, хлороформе, бензоле, эфире, минеральных кислотах и уксусной кислоте; при температуре ниже 20 град. С кристаллизуется; на воздухе и на свету темнеет
Взамен: ГОСТ 8750-73
Список изменений: №1 от 01.01.1989 (рег. 29.09.1988) «Срок действия продлен»


ГОСТ 8750-78
ГОСТ 8750-78
ГОСТ 8750-78
ГОСТ 8750-78
ГОСТ 8750-78
ГОСТ 8750-78
ГОСТ 8750-78
ГОСТ 8750-78
ГОСТ 8750-78
ГОСТ 8750-78
Автор: 
Домашняя страница автора: 

ГОСТ 9454-78

E-mail автора: 

Металлы. Метод испытания на ударный изгиб при пониженных, комнатной и повышенных температурах

Обозначение: ГОСТ 9454-78
Статус: действующий
Название рус.: Металлы. Метод испытания на ударный изгиб при пониженных, комнатной и повышенных температурах
Название англ.: Metals. Method for testing the impact strength at low, room and high temperature
Дата актуализации текста: 19.06.2012
Дата актуализации описания: 19.06.2012
Дата введения в действие: 01.01.1979
Область и условия применения: Настоящий стандарт распространяется на черные и цветные металлы и сплавы и устанавливает метод испытания на ударный изгиб при температуре от минус 100 до плюс 1200 град. С.
Метод основан на разрушении образца с концентратором посередине одним ударом маятникового копра. Концы образца располагают на опорах. В результате испытания определяют полную работу, затраченную при ударе (работу удара), или ударную вязкость.
Под ударной вязкостью следует понимать работу удара, отнесенную к начальной площади поперечного сечения образца в месте концентратора
Взамен: ГОСТ 9454-60 ГОСТ 9455-60 ГОСТ 9456-60
Список изменений: №0 от 01.04.2008 (рег. 01.04.2008) «Дата введения перенесена»
№1 от 01.01.1982 (рег. 14.10.1981) «Срок действия продлен»
№2 от 01.09.1988 (рег. 11.03.1988) «Поправка»
Приложение №1: Поправка к ГОСТ 9454-78


ГОСТ 9454-78
ГОСТ 9454-78
ГОСТ 9454-78
ГОСТ 9454-78
ГОСТ 9454-78
ГОСТ 9454-78
ГОСТ 9454-78
ГОСТ 9454-78
ГОСТ 9454-78
ГОСТ 9454-78
ГОСТ 9454-78


Поправка к ГОСТ 9454-78

Обозначение: Поправка к ГОСТ 9454-78
Дата введения в действие: 01.04.2008
Дата актуализации: 01.08.2008


Поправка к ГОСТ 9454-78
Автор: 
Домашняя страница автора: 

ГОСТ 6752-78

E-mail автора: 

Платки тканые из натурального шелка и химических нитей. Общие технические условия

Обозначение: ГОСТ 6752-78
Статус: действующий
Название рус.: Платки тканые из натурального шелка и химических нитей. Общие технические условия
Название англ.: Woven kerchieves of natural silk and synthetic threads. General specification
Дата актуализации текста: 19.06.2012
Дата актуализации описания: 19.06.2012
Дата введения в действие: 01.07.1979
Область и условия применения: Настоящий стандарт распространяется на готовые тканые гладкокрашеные и пестротканые головные платки, вырабатываемые из натурального шелка и химических нитей
Взамен: ГОСТ 6752-70
Список изменений: №1 от 01.02.1984 (рег. 08.08.1983) «Срок действия продлен»
№2 от 01.09.1986 (рег. 27.03.1986) «Срок действия продлен»
№3 от 01.07.1988 (рег. 02.02.1988) «Срок действия продлен»
№4 от 01.02.1989 (рег. 23.08.1988) «Срок действия продлен»


ГОСТ 6752-78
ГОСТ 6752-78
ГОСТ 6752-78
ГОСТ 6752-78
ГОСТ 6752-78
ГОСТ 6752-78
ГОСТ 6752-78
ГОСТ 6752-78
ГОСТ 6752-78
ГОСТ 6752-78
ГОСТ 6752-78
ГОСТ 6752-78
ГОСТ 6752-78
ГОСТ 6752-78
Автор: 
Домашняя страница автора: 

Страницы