Наша группа Вконтакте vk.com/4ertimcom
ГОСТ 12.4.103-83
E-mail автора:
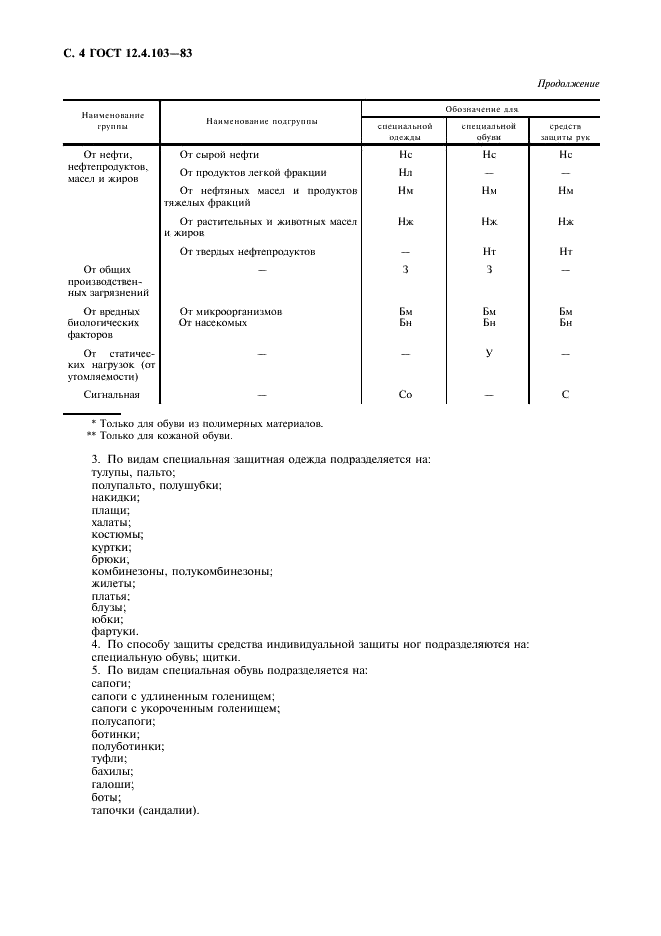
Система стандартов безопасности труда. Одежда специальная защитная, средства индивидуальной защиты ног и рук. Классификация
| Обозначение: | ГОСТ 12.4.103-83 | ||
| Статус: | действующий | ||
| Название рус.: | Система стандартов безопасности труда. Одежда специальная защитная, средства индивидуальной защиты ног и рук. Классификация | ||
| Название англ.: | Occupational safety standards system. Special protective clothes, personal means of hand and legs protections. Classification | ||
| Дата актуализации текста: | 19.06.2012 | ||
| Дата актуализации описания: | 19.06.2012 | ||
| Дата введения в действие: | 01.07.1984 | ||
| Область и условия применения: | Настоящий стандарт распространяется на специальную защитную одежду, средства защиты рук и ног. Стандарт не распространяется на защитные кремы и мази | ||
| Взамен: | ГОСТ 12.4.103-80 | ||







Автор:
Домашняя страница автора:
Чертежи бесплатно