Наша группа Вконтакте vk.com/4ertimcom

ГОСТ 10001-15000

ГОСТ 13124-83

E-mail автора: 

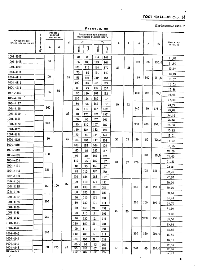
Штампы для листовой штамповки. Блоки штампов с диагональным расположением направляющих узлов скольжения. Конструкция и размеры

Обозначение: ГОСТ 13124-83
Статус: действующий
Название рус.: Штампы для листовой штамповки. Блоки штампов с диагональным расположением направляющих узлов скольжения. Конструкция и размеры
Название англ.: Diagonal post press tool sets for cold plastic working dies. Construction and dimensions
Дата актуализации текста: 19.06.2012
Дата актуализации описания: 19.06.2012
Дата введения в действие: 01.07.1984
Область и условия применения: Настоящий стандарт распространяется на блоки штампов с диагональным расположением направляющих узлов скольжения с плитами из чугунного и стального литья
Взамен: ГОСТ 13124-75


ГОСТ 13124-83
ГОСТ 13124-83
ГОСТ 13124-83
ГОСТ 13124-83
ГОСТ 13124-83
ГОСТ 13124-83
ГОСТ 13124-83
ГОСТ 13124-83
ГОСТ 13124-83
ГОСТ 13124-83
ГОСТ 13124-83
ГОСТ 13124-83
ГОСТ 13124-83
ГОСТ 13124-83
ГОСТ 13124-83
ГОСТ 13124-83
ГОСТ 13124-83
ГОСТ 13124-83
ГОСТ 13124-83
ГОСТ 13124-83
ГОСТ 13124-83
ГОСТ 13124-83
ГОСТ 13124-83
ГОСТ 13124-83
ГОСТ 13124-83
ГОСТ 13124-83
ГОСТ 13124-83
ГОСТ 13124-83
ГОСТ 13124-83
ГОСТ 13124-83
ГОСТ 13124-83
ГОСТ 13124-83
ГОСТ 13124-83
ГОСТ 13124-83
ГОСТ 13124-83
ГОСТ 13124-83
ГОСТ 13124-83
ГОСТ 13124-83
ГОСТ 13124-83
ГОСТ 13124-83
ГОСТ 13124-83
ГОСТ 13124-83
ГОСТ 13124-83
ГОСТ 13124-83
ГОСТ 13124-83
ГОСТ 13124-83
ГОСТ 13124-83
ГОСТ 13124-83
ГОСТ 13124-83
Автор: 
Домашняя страница автора: 

ГОСТ 13110-83

E-mail автора: 

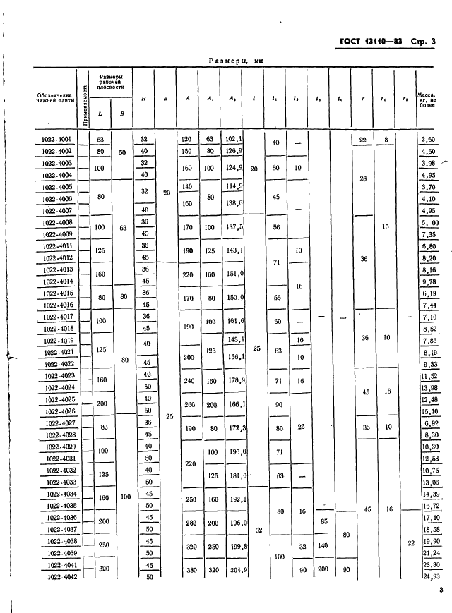
Штампы для листовой штамповки. Плиты-заготовки нижние для штампов с диагональным расположением направляющих узлов. Конструкция и размеры

Обозначение: ГОСТ 13110-83
Статус: действующий
Название рус.: Штампы для листовой штамповки. Плиты-заготовки нижние для штампов с диагональным расположением направляющих узлов. Конструкция и размеры
Название англ.: Sheet stamping dies. Lower plates-blanks for dies with diagonally positioned guide assemblies. Construction and dimensions
Дата актуализации текста: 19.06.2012
Дата актуализации описания: 19.06.2012
Дата введения в действие: 01.07.1984
Область и условия применения: Настоящий стандарт распространяется на заготовки нижних плит из чугунного и стального литья для штампов с диагональным расположением направляющих узлов
Взамен: ГОСТ 13110-75


ГОСТ 13110-83
ГОСТ 13110-83
ГОСТ 13110-83
ГОСТ 13110-83
ГОСТ 13110-83
ГОСТ 13110-83
ГОСТ 13110-83
ГОСТ 13110-83
Автор: 
Домашняя страница автора: 

ГОСТ 14077-83

E-mail автора: 

Патроны для быстросменного инструмента. Конструкция и размеры

Обозначение: ГОСТ 14077-83
Статус: действующий
Название рус.: Патроны для быстросменного инструмента. Конструкция и размеры
Название англ.: Chuckes for quick-changing tool. Design and dimensions
Дата актуализации текста: 19.06.2012
Дата актуализации описания: 19.06.2012
Дата введения в действие: 01.01.1985
Область и условия применения: Настоящий стандарт распространяется на патроны для быстросменного инструмента и устанавливает конструкцию и размеры
Взамен: ГОСТ 14077-78


ГОСТ 14077-83
ГОСТ 14077-83
ГОСТ 14077-83
ГОСТ 14077-83
ГОСТ 14077-83
ГОСТ 14077-83
ГОСТ 14077-83
ГОСТ 14077-83
ГОСТ 14077-83
Автор: 
Домашняя страница автора: 

ГОСТ 14167-83

E-mail автора: 

Счетчики холодной воды турбинные. Технические условия

Обозначение: ГОСТ 14167-83
Статус: действующий
Название рус.: Счетчики холодной воды турбинные. Технические условия
Название англ.: Turbine meters for cold water. Specifications
Дата актуализации текста: 19.06.2012
Дата актуализации описания: 19.06.2012
Дата введения в действие: 01.07.1984
Область и условия применения: Настоящий стандарт распространяется на турбинные счетчики холодной воды с отсчетным устройством, имеющим магнитную связь с турбиной, предназначенные для измерения объема питьевой воды по ГОСТ 2874 температурой от 5 до 40 град. С, протекающей по трубопроводу под давлением не более 1 МПа (10 кгс/см кв.)
Взамен: ГОСТ 14167-76
Список изменений: №1 от 01.01.1989 (рег. 23.06.1988) «Срок действия продлен»


ГОСТ 14167-83
ГОСТ 14167-83
ГОСТ 14167-83
ГОСТ 14167-83
ГОСТ 14167-83
ГОСТ 14167-83
ГОСТ 14167-83
ГОСТ 14167-83
ГОСТ 14167-83
ГОСТ 14167-83
ГОСТ 14167-83
ГОСТ 14167-83
ГОСТ 14167-83
ГОСТ 14167-83
ГОСТ 14167-83
Автор: 
Домашняя страница автора: 

ГОСТ 10978-83

E-mail автора: 

Стекло неорганическое и стеклокристаллические материалы. Метод определения температурного коэффициента линейного расширения

Обозначение: ГОСТ 10978-83
Статус: действующий
Название рус.: Стекло неорганическое и стеклокристаллические материалы. Метод определения температурного коэффициента линейного расширения
Название англ.: Inorganic glass and glass-crystal materials. Determination of linear thermal expansion coefficient
Дата актуализации текста: 19.06.2012
Дата актуализации описания: 19.06.2012
Дата введения в действие: 01.01.1984
Область и условия применения: Настоящий стандарт устанавливает метод определения температурного коэффициента линейного расширения стекла ниже интервала трансформации (стеклования) и стеклокристаллических материалов в диапазоне температур 20-900 град. С
Взамен: ГОСТ 10978-69
Список изменений: №0 от 30.12.1987 (рег. 30.12.1987) «Срок действия продлен»


ГОСТ 10978-83
ГОСТ 10978-83
ГОСТ 10978-83
ГОСТ 10978-83
ГОСТ 10978-83
ГОСТ 10978-83
ГОСТ 10978-83
ГОСТ 10978-83
ГОСТ 10978-83
ГОСТ 10978-83
ГОСТ 10978-83
ГОСТ 10978-83
Автор: 
Домашняя страница автора: 

ГОСТ 12563.1-83

E-mail автора: 

Сплавы золото-палладиевые. Метод определения золота

Обозначение: ГОСТ 12563.1-83
Статус: действующий
Название рус.: Сплавы золото-палладиевые. Метод определения золота
Название англ.: Gold-palladium alloys. Method for the determination of gold
Дата актуализации текста: 19.06.2012
Дата актуализации описания: 19.06.2012
Дата введения в действие: 01.07.1984
Область и условия применения: Настоящий стандарт устанавливает гравиметрический метод определения золота в золото-палладиевых сплавах (при массовой доле золота от 50,0 до 90,0%)
Взамен в части: ГОСТ 12563-67 в части разд. 2
Список изменений: №1 от 01.07.1989 (рег. 21.11.1988) «Срок действия продлен»


ГОСТ 12563.1-83
ГОСТ 12563.1-83
ГОСТ 12563.1-83
ГОСТ 12563.1-83
ГОСТ 12563.1-83
ГОСТ 12563.1-83
ГОСТ 12563.1-83
Автор: 
Домашняя страница автора: 

ГОСТ 14363.3-84

E-mail автора: 

Целлюлоза и древесная масса. Метод определения сорности

Обозначение: ГОСТ 14363.3-84
Статус: действующий
Название рус.: Целлюлоза и древесная масса. Метод определения сорности
Название англ.: Pulp and wood pulp. Determination of dirts and shives
Дата актуализации текста: 19.06.2012
Дата актуализации описания: 19.06.2012
Дата введения в действие: 01.07.1985
Область и условия применения: Настоящий стандарт распространяется на целлюлозу и древесную массу и устанавливает метод определения сорности в проходящем свете. Метод основан на подсчете соринок, видимых невооруженным глазом, в смоченном водой образце или отливке в проходящем свете, классификации их по площади в соответствии с шаблоном и расчете сорности на условную массу абсолютно сухого волокна
Взамен: ГОСТ 14363.3-70
Список изменений: №1 от 01.01.1991 (рег. 20.06.1990) «Срок действия продлен»


ГОСТ 14363.3-84
ГОСТ 14363.3-84
ГОСТ 14363.3-84
ГОСТ 14363.3-84
ГОСТ 14363.3-84
ГОСТ 14363.3-84
ГОСТ 14363.3-84
Автор: 
Домашняя страница автора: 

ГОСТ 10100-84

E-mail автора: 

Угли каменные и антрацит. Метод определения обогатимости

Обозначение: ГОСТ 10100-84
Статус: действующий
Название рус.: Угли каменные и антрацит. Метод определения обогатимости
Название англ.: Hard coals. Method for the determination of washability
Дата актуализации текста: 19.06.2012
Дата актуализации описания: 19.06.2012
Дата введения в действие: 01.07.1985
Область и условия применения: Настоящий стандарт распространяется на каменные угли и антрацит и устанавливает метод определения их обогатимости при гравитационных способах обогащения
Взамен: ГОСТ 10100-75


ГОСТ 10100-84
ГОСТ 10100-84
ГОСТ 10100-84
ГОСТ 10100-84
ГОСТ 10100-84
ГОСТ 10100-84
Автор: 
Домашняя страница автора: 

ГОСТ 14638.12-84

E-mail автора: 

Ферровольфрам. Метод определения сурьмы

Обозначение: ГОСТ 14638.12-84
Статус: действующий
Название рус.: Ферровольфрам. Метод определения сурьмы
Название англ.: Ferrotungsten. Method for determination of antimony content
Дата актуализации текста: 19.06.2012
Дата актуализации описания: 19.06.2012
Дата введения в действие: 01.07.1985
Область и условия применения: Настоящий стандарт устанавливает экстракционно-фотометрический метод определения в ферровольфраме массовой доли сурьмы в диапазоне от 0,001 до 0,05%
Взамен: ГОСТ 14638.12-69
Список изменений: №1 от 01.07.1990 (рег. 30.10.1989) «Срок действия продлен»


ГОСТ 14638.12-84
ГОСТ 14638.12-84
ГОСТ 14638.12-84
ГОСТ 14638.12-84
ГОСТ 14638.12-84
ГОСТ 14638.12-84
ГОСТ 14638.12-84
ГОСТ 14638.12-84
Автор: 
Домашняя страница автора: 

ГОСТ 13997.0-84

E-mail автора: 

Материалы и изделия огнеупорные цирконийсодержащие. Общие требования к методам анализа

Обозначение: ГОСТ 13997.0-84
Статус: действующий
Название рус.: Материалы и изделия огнеупорные цирконийсодержащие. Общие требования к методам анализа
Название англ.: Zirconium containing refractory materials and products. General requirements for methods of analysis
Дата актуализации текста: 19.06.2012
Дата актуализации описания: 19.06.2012
Дата введения в действие: 01.07.1985
Область и условия применения: Настоящий стандарт устанавливает общие требования к методам анализа материалов и изделий огнеупорных цирконийсодержащих: цирконовых концентратов, бадделеитовых порошков, огнеупорных материалов и изделий цирконистого типа, а также из двуокиси циркония, стабилизированных окислами кальция, магния, иттрия
Взамен: ГОСТ 13997.0-78
Список изменений: №1 от 01.07.1990 (рег. 29.11.1989) «Срок действия продлен»


ГОСТ 13997.0-84
ГОСТ 13997.0-84
ГОСТ 13997.0-84
ГОСТ 13997.0-84
ГОСТ 13997.0-84
Автор: 
Домашняя страница автора: 

Страницы