Наша группа Вконтакте vk.com/4ertimcom

ГОСТ 10001-15000

ГОСТ 12697.13-90

E-mail автора: 

Алюминий. Методы определения галлия

Обозначение: ГОСТ 12697.13-90
Статус: действующий
Название рус.: Алюминий. Методы определения галлия
Название англ.: Aluminium. Methods for the determination of gallium
Дата актуализации текста: 19.06.2012
Дата актуализации описания: 19.06.2012
Дата введения в действие: 01.07.1991
Область и условия применения: Настоящий стандарт устанавливает методы определения галлия в алюминии: фотометрический при массовой доле галлия от 0,001 до 0,1% и атомно-абсорбционный при массовой доле галлия от 0,01 до 0,1%


ГОСТ 12697.13-90
ГОСТ 12697.13-90
ГОСТ 12697.13-90
ГОСТ 12697.13-90
Автор: 
Домашняя страница автора: 

ГОСТ 12492.6-90

E-mail автора: 

Профиль полосовой бичевой для сельскохозяйственных машин. Сортамент

Обозначение: ГОСТ 12492.6-90
Статус: действующий
Название рус.: Профиль полосовой бичевой для сельскохозяйственных машин. Сортамент
Название англ.: Agricultural machinery. Ribbed bar strip section. Dimensions
Дата актуализации текста: 19.06.2012
Дата актуализации описания: 19.06.2012
Дата введения в действие: 01.01.1991
Область и условия применения: Настоящий стандарт распространяется на горячекатаный полосовой бичевой профиль
Взамен: ГОСТ 12492.9-72


ГОСТ 12492.6-90
ГОСТ 12492.6-90
Автор: 
Домашняя страница автора: 

ГОСТ 10616-90

E-mail автора: 

Вентиляторы радиальные и осевые. Размеры и параметры

Обозначение: ГОСТ 10616-90
Статус: действующий
Название рус.: Вентиляторы радиальные и осевые. Размеры и параметры
Название англ.: Radial and axial fans. Dimensions and parameters
Дата актуализации текста: 19.06.2012
Дата актуализации описания: 19.06.2012
Дата введения в действие: 01.01.1991
Область и условия применения: Настоящий стандарт распространяется на вентиляторы радиальные одно- и двусторонние и на осевые дно- и многоступенчатые, предназначенные для систем кондиционирования воздуха, вентиляции, а также других производственных целей, повышающие абсолютное полное давление потока не более чем в 1,2 раза и создающие полное давление до 12000 Па при плотности перемещающей среды 1, 2 кг/м куб.
Стандарт не распространяется на вентиляторы, встраиваемые в кондиционеры, а также в другое оборудование
Взамен: ГОСТ 10616-73


ГОСТ 10616-90
ГОСТ 10616-90
ГОСТ 10616-90
ГОСТ 10616-90
ГОСТ 10616-90
ГОСТ 10616-90
ГОСТ 10616-90
ГОСТ 10616-90
ГОСТ 10616-90
ГОСТ 10616-90
ГОСТ 10616-90
ГОСТ 10616-90
ГОСТ 10616-90
ГОСТ 10616-90
ГОСТ 10616-90
Автор: 
Домашняя страница автора: 

ГОСТ 12492.2-90

E-mail автора: 

Профиль низкокорытный для сельскохозяйственных машин. Сортамент

Обозначение: ГОСТ 12492.2-90
Статус: действующий
Название рус.: Профиль низкокорытный для сельскохозяйственных машин. Сортамент
Название англ.: Agricultural machinery. Low-channel section. Dimensions
Дата актуализации текста: 19.06.2012
Дата актуализации описания: 19.06.2012
Дата введения в действие: 01.01.1991
Область и условия применения: Настоящий стандарт распространяется на горячекатаный низкокорытный профиль
Взамен: ГОСТ 12492.5-72


ГОСТ 12492.2-90
ГОСТ 12492.2-90
Автор: 
Домашняя страница автора: 

ГОСТ 13411-90

E-mail автора: 

Волокно и жгут химические. Методы определения извитости

Обозначение: ГОСТ 13411-90
Статус: действующий
Название рус.: Волокно и жгут химические. Методы определения извитости
Название англ.: Chemical fibres and tow. Methods for determination of crimp
Дата актуализации текста: 19.06.2012
Дата актуализации описания: 19.06.2012
Дата введения в действие: 01.01.1992
Область и условия применения: Настоящий стандарт распространяется на химические волокно и жгут и устанавливает методы определения числа извитков, степени извитости и устойчивости извитости
Взамен: ГОСТ 13411-71


ГОСТ 13411-90
ГОСТ 13411-90
ГОСТ 13411-90
ГОСТ 13411-90
ГОСТ 13411-90
ГОСТ 13411-90
ГОСТ 13411-90
ГОСТ 13411-90
Автор: 
Домашняя страница автора: 

ГОСТ 10928-90

E-mail автора: 

Висмут. Технические условия

Обозначение: ГОСТ 10928-90
Статус: действующий
Название рус.: Висмут. Технические условия
Название англ.: Bismuth. Specifications
Дата актуализации текста: 19.06.2012
Дата актуализации описания: 19.06.2012
Дата введения в действие: 01.01.1992
Область и условия применения: Настоящий стандарт распространяется на висмут в слитках и гранулах, применяемый в химической промышленности, металлургии, медицине и других отраслях промышленности
Взамен в части: ГОСТ 10928-75 в части марок Ви00, Ви1 и Ви2


ГОСТ 10928-90
ГОСТ 10928-90
ГОСТ 10928-90
ГОСТ 10928-90
Автор: 
Домашняя страница автора: 

ГОСТ 10540-90

E-mail автора: 

Изделия трикотажные купальные. Общие технические условия

Обозначение: ГОСТ 10540-90
Статус: заменён
Название рус.: Изделия трикотажные купальные. Общие технические условия
Название англ.: Knitted bathing goods. General specifications
Дата актуализации текста: 19.06.2012
Дата актуализации описания: 19.06.2012
Дата введения в действие: 01.01.1992
Область и условия применения: Настоящий стандарт распространяется на купальные трикотажные изделия из всех видов трикотажных полотен для мужчин, женщин и детей
Взамен: ГОСТ 10540-83
Заменяющий: ГОСТ 31406-2009
Список изменений: №0 от 01.01.2010 (рег. 18.12.2008) «Поправка к изменению»
№0 от 01.07.2010 (рег. 15.12.2009) «Поправка к изменению»


ГОСТ 10540-90
ГОСТ 10540-90
ГОСТ 10540-90
ГОСТ 10540-90
ГОСТ 10540-90
ГОСТ 10540-90
ГОСТ 10540-90
ГОСТ 10540-90
ГОСТ 10540-90
Автор: 
Домашняя страница автора: 

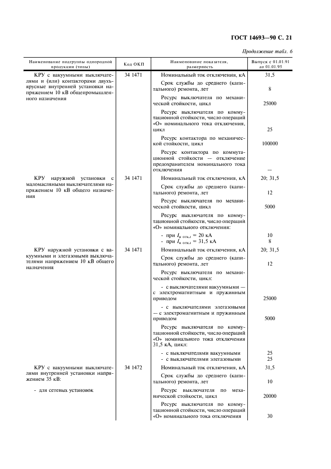
ГОСТ 14693-90

E-mail автора: 

Устройства комплектные распределительные негерметизированные в металлической оболочке на напряжение до 10 кВ. Общие технические условия

Обозначение: ГОСТ 14693-90
Статус: действующий
Название рус.: Устройства комплектные распределительные негерметизированные в металлической оболочке на напряжение до 10 кВ. Общие технические условия
Название англ.: Unsealed metal-enclosed switchgear and controlgear for voltages up to 10 kV. General specifications
Дата актуализации текста: 19.06.2012
Дата актуализации описания: 19.06.2012
Дата введения в действие: 01.07.1991
Область и условия применения: Настоящий стандарт распространяется на комплектные распределительные негерметизированные устройства (КРУ) в металлической оболочке, трехфазного переменного тока частотой 50 и 60 Гц на номинальное напряжение до 10 кВ для сетей с изолированной или заземленной через дугогасительный реактор нейтралью и устанавливает требования к КРУ, изготавливаемым для нужд народного хозяйства и экспорта.
Стандарт не распространяется на КРУ:
предназначенные для работы в пожаро- и взрывоопасных зонах;
подвергающиеся действию газов, паров и химических отложений, вредных для изоляции;
специальные (например, предназначенные для работы в сейсмоопасных зонах, на объектах атомной энергетики, а также в электротермических и передвижных установках, судовых распределительных устройствах, на экскаваторах);
на сборные камеры одностороннего обслуживания;
герметизированные с элегазовой изоляцией
Взамен: ГОСТ 14693-77


ГОСТ 14693-90
ГОСТ 14693-90
ГОСТ 14693-90
ГОСТ 14693-90
ГОСТ 14693-90
ГОСТ 14693-90
ГОСТ 14693-90
ГОСТ 14693-90
ГОСТ 14693-90
ГОСТ 14693-90
ГОСТ 14693-90
ГОСТ 14693-90
ГОСТ 14693-90
ГОСТ 14693-90
ГОСТ 14693-90
ГОСТ 14693-90
ГОСТ 14693-90
ГОСТ 14693-90
ГОСТ 14693-90
ГОСТ 14693-90
ГОСТ 14693-90
ГОСТ 14693-90
ГОСТ 14693-90
ГОСТ 14693-90
ГОСТ 14693-90
ГОСТ 14693-90
ГОСТ 14693-90
Автор: 
Домашняя страница автора: 

ГОСТ 12492.5-90

E-mail автора: 

Профиль для ободьев колес сельскохозяйственных машин. Сортамент

Обозначение: ГОСТ 12492.5-90
Статус: действующий
Название рус.: Профиль для ободьев колес сельскохозяйственных машин. Сортамент
Название англ.: Agricultural machinery. Section for wheel rims. Dimensions
Дата актуализации текста: 19.06.2012
Дата актуализации описания: 19.06.2012
Дата введения в действие: 01.01.1991
Область и условия применения: Настоящий стандарт распространяется на горячекатаный профиль для ободьев колес
Взамен: ГОСТ 12492.8-72


ГОСТ 12492.5-90
ГОСТ 12492.5-90
Автор: 
Домашняя страница автора: 

ГОСТ 13623-90

E-mail автора: 

Профили прессованные прямоугольные равнополочного швеллерного сечения из алюминиевых и магниевых сплавов. Сортамент

Обозначение: ГОСТ 13623-90
Статус: действующий
Название рус.: Профили прессованные прямоугольные равнополочного швеллерного сечения из алюминиевых и магниевых сплавов. Сортамент
Название англ.: Extruded rectangular equishelf channel-section shapes of aluminium and magnesium alloys. Dimensions
Дата актуализации текста: 19.06.2012
Дата актуализации описания: 19.06.2012
Дата введения в действие: 01.01.1992
Область и условия применения: Настоящий стандарт устанавливает сортамент прессованных прямоугольных профилей швеллерного сечения из алюминия, алюминиевых и магниевых сплавов, изготавливаемых методом горячего прессования
Взамен: ГОСТ 13623-80


ГОСТ 13623-90
ГОСТ 13623-90
ГОСТ 13623-90
ГОСТ 13623-90
ГОСТ 13623-90
ГОСТ 13623-90
ГОСТ 13623-90
ГОСТ 13623-90
ГОСТ 13623-90
ГОСТ 13623-90
ГОСТ 13623-90
ГОСТ 13623-90
ГОСТ 13623-90
ГОСТ 13623-90
ГОСТ 13623-90
ГОСТ 13623-90
ГОСТ 13623-90
ГОСТ 13623-90
ГОСТ 13623-90
ГОСТ 13623-90
ГОСТ 13623-90
ГОСТ 13623-90
ГОСТ 13623-90
ГОСТ 13623-90
ГОСТ 13623-90
ГОСТ 13623-90
ГОСТ 13623-90
ГОСТ 13623-90
ГОСТ 13623-90
ГОСТ 13623-90
Автор: 
Домашняя страница автора: 

Страницы