Наша группа Вконтакте vk.com/4ertimcom

ГОСТ 16000-20000

ГОСТ 19267-73

E-mail автора: 

Развертки машинные цилиндрические с цилиндрическим хвостовиком для обработки деталей из легких сплавов. Конструкция и размеры

Обозначение: ГОСТ 19267-73
Статус: действующий
Название рус.: Развертки машинные цилиндрические с цилиндрическим хвостовиком для обработки деталей из легких сплавов. Конструкция и размеры
Название англ.: Straight machine reamers with cylindrical shank for working parts of light alloys. Design and dimensions
Дата актуализации текста: 19.06.2012
Дата актуализации описания: 19.06.2012
Дата введения в действие: 01.01.1975
Область и условия применения: Настоящий стандарт распространяется на цилиндрические машинные развертки с цилиндрическим хвостовиком для обработки отверстий без кондукторных втулок в деталях из легких сплавов с полями допусков Н7, К7, Н8, Н9, Н10, Н11 и на развертки с припуском под доводку № 1, 2, 3, 4, 5, 6
Взамен: МН 82-59
Список изменений: №1 от 01.03.1977 (рег. 28.02.1977) «Срок действия продлен»
№2 от 01.01.1983 (рег. 16.02.1982) «Срок действия продлен»


ГОСТ 19267-73
ГОСТ 19267-73
ГОСТ 19267-73
ГОСТ 19267-73
ГОСТ 19267-73
ГОСТ 19267-73
Автор: 
Домашняя страница автора: 

ГОСТ 18956-73

E-mail автора: 

Материалы рулонные кровельные. Методы испытания на старение под воздействием искусственных климатических факторов

Обозначение: ГОСТ 18956-73
Статус: действующий
Название рус.: Материалы рулонные кровельные. Методы испытания на старение под воздействием искусственных климатических факторов
Название англ.: Rolling roof materials. Aging under artifical climatic factors. Gest methods
Дата актуализации текста: 19.06.2012
Дата актуализации описания: 19.06.2012
Дата введения в действие: 01.01.1975
Область и условия применения: Настоящий стандарт распространяется на рулонные кровельные материалы, изготовляемые на битумном (и его модификации) вяжущем, и устанавливает методы испытания на стойкость к старению под воздействием искусственных климатических факторов: света, тепла, влаги и холода.
Стандарт не устанавливает методы испытания рулонных кровельных материалов в напряженном состоянии


ГОСТ 18956-73
ГОСТ 18956-73
ГОСТ 18956-73
ГОСТ 18956-73
ГОСТ 18956-73
ГОСТ 18956-73
ГОСТ 18956-73
ГОСТ 18956-73
ГОСТ 18956-73
ГОСТ 18956-73
ГОСТ 18956-73
ГОСТ 18956-73
ГОСТ 18956-73
ГОСТ 18956-73
ГОСТ 18956-73
ГОСТ 18956-73
ГОСТ 18956-73
Автор: 
Домашняя страница автора: 

ГОСТ 18571-73

E-mail автора: 

Кинескопы для цветного телевидения. Метод измерения контраста

Обозначение: ГОСТ 18571-73
Статус: действующий
Название рус.: Кинескопы для цветного телевидения. Метод измерения контраста
Название англ.: Kinescopes for color television. Method of contrast measurement
Дата актуализации текста: 19.06.2012
Дата актуализации описания: 19.06.2012
Дата введения в действие: 01.07.1975
Область и условия применения: Настоящий стандарт распространяется на трехпрожекторные кинескопы для цветного телевидения и устанавливает метод измерения контраста крупных деталей совмещенного черно-белого испытательного изображения
Список изменений: №1 от 01.09.1986 (рег. 21.04.1986) «Срок действия продлен»


ГОСТ 18571-73
ГОСТ 18571-73
ГОСТ 18571-73
ГОСТ 18571-73
ГОСТ 18571-73
ГОСТ 18571-73
ГОСТ 18571-73
Автор: 
Домашняя страница автора: 

ГОСТ 18589-73

E-mail автора: 

Вакцина живая сухая против бруцеллеза сельскохозяйственных животных из штамма № 19. Технические условия

Обозначение: ГОСТ 18589-73
Статус: действующий
Название рус.: Вакцина живая сухая против бруцеллеза сельскохозяйственных животных из штамма № 19. Технические условия
Название англ.: Dry living antibrucellosis vaccine for domestic animals from stamm no. 19. Specifications
Дата актуализации текста: 19.06.2012
Дата актуализации описания: 19.06.2012
Дата введения в действие: 01.01.1974
Область и условия применения: Настоящий стандарт распространяется на живую сухую вакцину против бруцеллеза, изготовленную из слабовирулентного штамма бруцелла абортус (Brucella abortus) № 19, предназначенную для профилактической иммунизации сельскохозяйственных животных
Заменяющий в части: ГОСТ 24061-80 в части определения влажности
Список изменений: №0 от 12.05.1987 (рег. 12.05.1987) «Срок действия продлен»
№1 от 01.07.1990 (рег. 30.03.1990) «Поправка»


ГОСТ 18589-73
ГОСТ 18589-73
ГОСТ 18589-73
ГОСТ 18589-73
ГОСТ 18589-73
ГОСТ 18589-73
ГОСТ 18589-73
ГОСТ 18589-73
ГОСТ 18589-73
ГОСТ 18589-73
ГОСТ 18589-73
ГОСТ 18589-73
ГОСТ 18589-73
ГОСТ 18589-73
ГОСТ 18589-73
Автор: 
Домашняя страница автора: 

ГОСТ 18976-73

E-mail автора: 

Ткани текстильные. Метод определения стойкости к истиранию

Обозначение: ГОСТ 18976-73
Статус: действующий
Название рус.: Ткани текстильные. Метод определения стойкости к истиранию
Название англ.: Textiles. Method for tne determination of wear resistance
Дата актуализации текста: 19.06.2012
Дата актуализации описания: 19.06.2012
Дата введения в действие: 01.07.1974
Область и условия применения: Настоящий стандарт распространяется на готовые хлопчатобумажные, льняные, шелковые, из химических волокон и нитей, смешанные и неоднородные ткани и устанавливает метод определения стойкости их к истиранию по плоскости.
Стандарт не распространяется на чистошерстяные и полушерстяные, шелковые ворсовые ткани и ткани с применением металлических и металлизированных нитей, а также на технические, льняные, полульняныеи из химических волокон и нитей ткани для спецодежды
Взамен: ГОСТ 16734-71
Взамен в части: ГОСТ 8512-57 в части льняных и шелковых тканей
Список изменений: №0 от 24.03.2011 (рег. 24.03.2011) «Дата введения перенесена»
№1 от 01.01.1979 (рег. 21.09.1978) «Срок действия продлен»
№2 от 01.09.1984 (рег. 20.03.1984) «Срок действия продлен»
Приложение №1: Поправка к ГОСТ 18976-73


ГОСТ 18976-73
ГОСТ 18976-73
ГОСТ 18976-73
ГОСТ 18976-73
ГОСТ 18976-73
ГОСТ 18976-73


Поправка к ГОСТ 18976-73

Обозначение: Поправка к ГОСТ 18976-73
Дата введения в действие: 24.03.2011
Дата актуализации: 11.11.2011


Поправка к ГОСТ 18976-73
Автор: 
Домашняя страница автора: 

ГОСТ 19295-73

E-mail автора: 

Смазки пластичные. Метод определения механической стабильности

Обозначение: ГОСТ 19295-73
Статус: действующий
Название рус.: Смазки пластичные. Метод определения механической стабильности
Название англ.: Lubricating greases. Method of mechanical stability determination
Дата актуализации текста: 19.06.2012
Дата актуализации описания: 19.06.2012
Дата введения в действие: 01.01.1975
Область и условия применения: Настоящий стандарт распространяется на пластичные смазки и устанавливает метод определения механической стабильности, которая выражается индексом разрушения, характеризующим степень разрушения смазки при ее интенсивном деформировании и индексом тиксотропного восстановления, характеризующим степень тиксотропного восстановления смазки.
Сущность метода заключается в определении изменения предела прочности на разрыв в результате интенсивного деформирования смазки в зазоре между ротором и статором тиксометра и при последующем тиксотропном восстановлении
Список изменений: №1 от 01.10.1979 (рег. 28.04.1979) «Срок действия продлен»
№2 от 01.12.1984 (рег. 10.07.1984) «Срок действия продлен»
№3 от 01.08.1987 (рег. 09.04.1987) «Срок действия продлен»
№4 от 01.08.1990 (рег. 21.02.1990) «Срок действия продлен»
№5 от 01.07.1995 (рег. 19.01.1995) «Срок действия продлен»


ГОСТ 19295-73
ГОСТ 19295-73
ГОСТ 19295-73
ГОСТ 19295-73
ГОСТ 19295-73
ГОСТ 19295-73
ГОСТ 19295-73
ГОСТ 19295-73
ГОСТ 19295-73
ГОСТ 19295-73
ГОСТ 19295-73
Автор: 
Домашняя страница автора: 

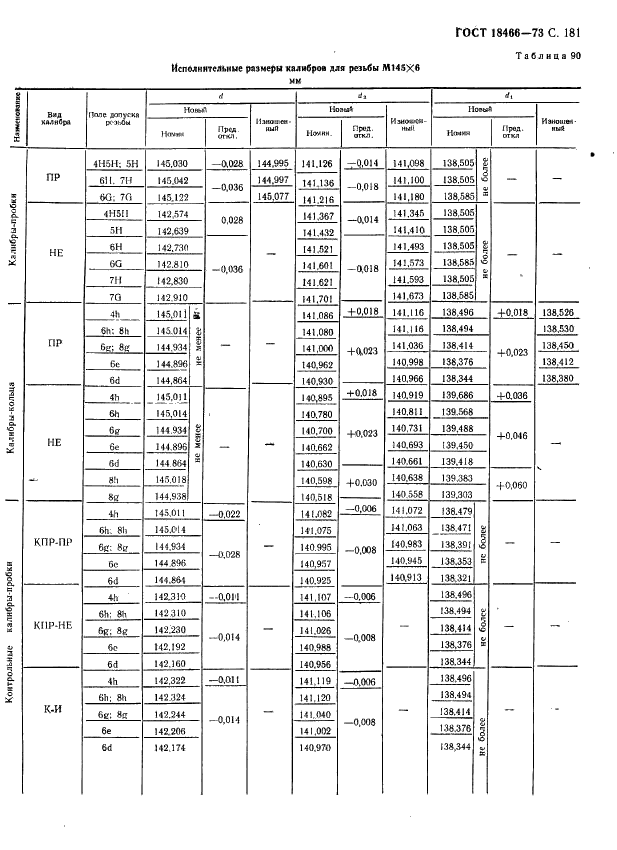
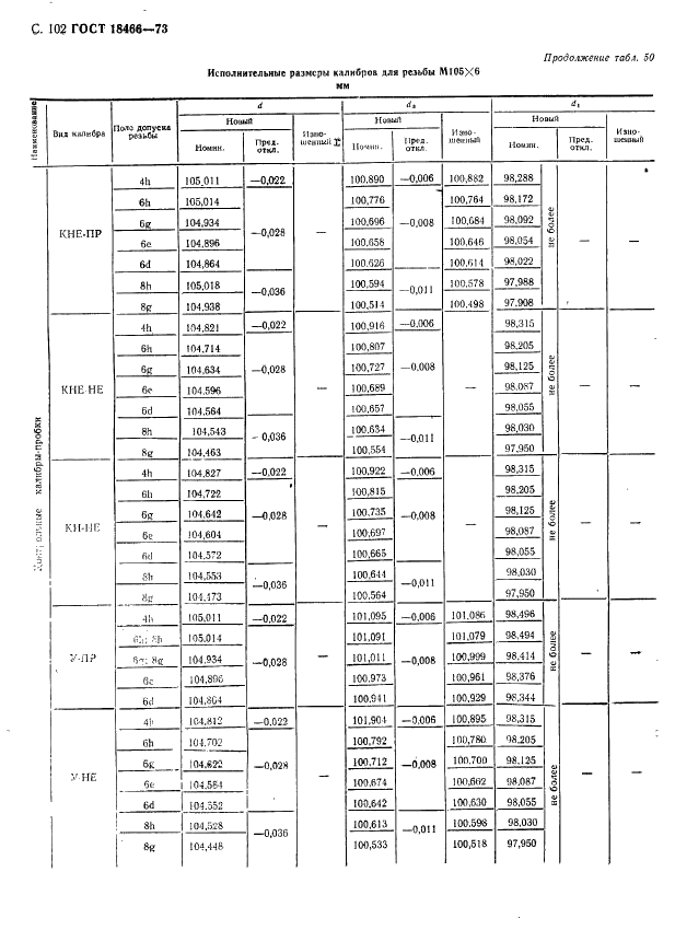
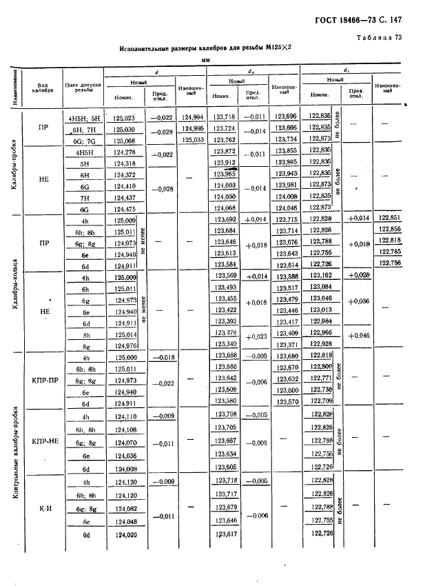
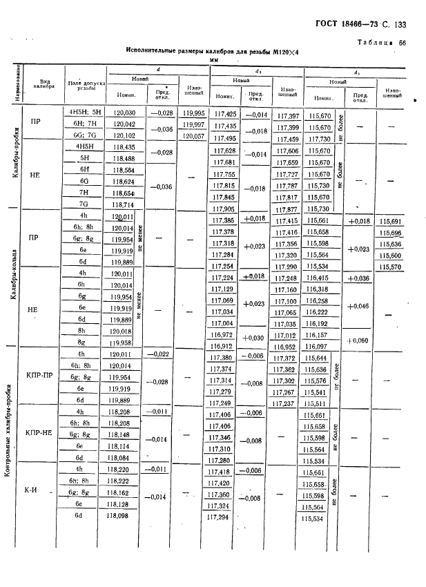
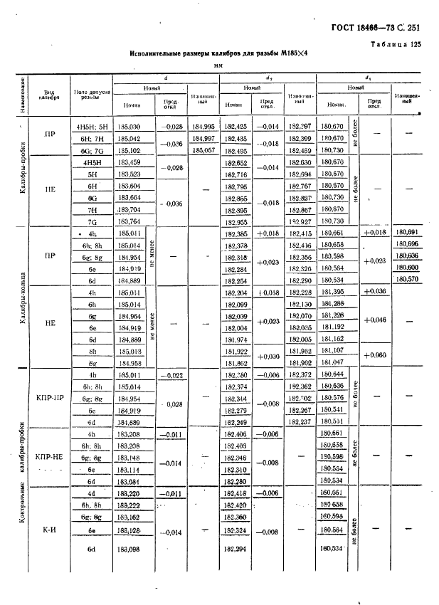
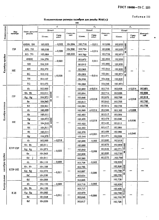
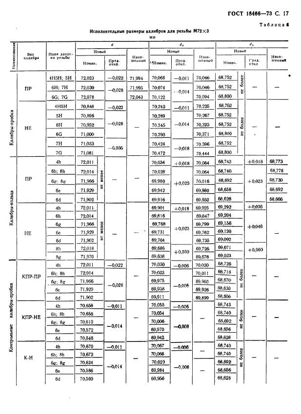
ГОСТ 18466-73

E-mail автора: 

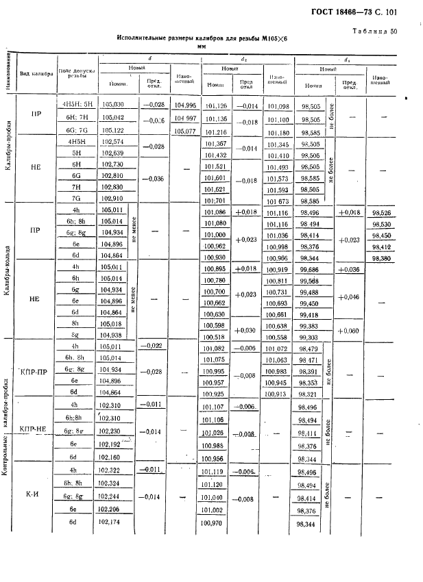
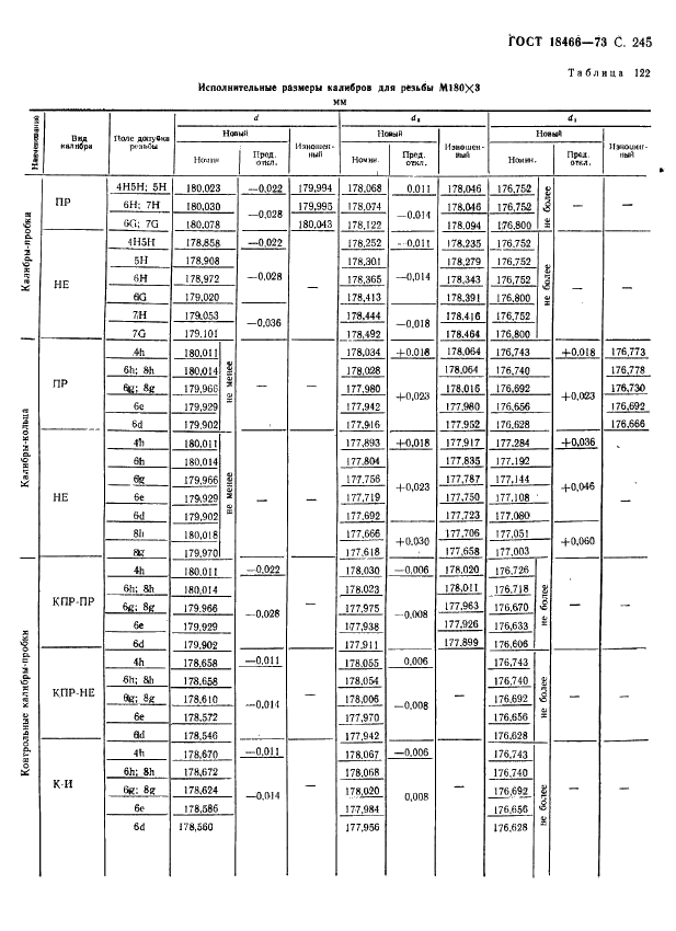
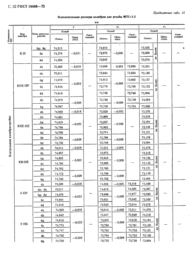
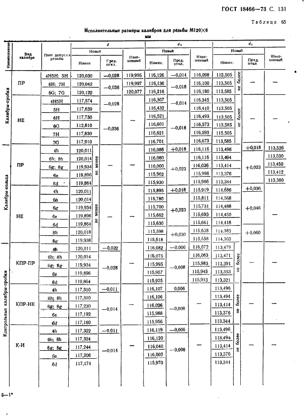
Калибры для метрической резьбы свыше 68 до 200 мм. Исполнительные размеры

Обозначение: ГОСТ 18466-73
Статус: действующий
Название рус.: Калибры для метрической резьбы свыше 68 до 200 мм. Исполнительные размеры
Название англ.: Gauges for metric thread over 68 to 200 mm. Required dimensions
Дата актуализации текста: 19.06.2012
Дата актуализации описания: 19.06.2012
Дата введения в действие: 01.07.1973
Область и условия применения: Настоящий стандарт распространяется на резьбовые калибры для метрической резьбы
Взамен: МН 3916-62 МН 5357-64
Список изменений: №0 от 01.02.2004 (рег. 01.02.2004) «Дата введения перенесена»
№1 от 01.07.1979 (рег. 12.03.1979) «Срок действия продлен»
№2 от 01.08.1983 (рег. 14.03.1983) «Срок действия продлен»
Приложение №1: Поправка к ГОСТ 18466-73


ГОСТ 18466-73
ГОСТ 18466-73
ГОСТ 18466-73
ГОСТ 18466-73
ГОСТ 18466-73
ГОСТ 18466-73
ГОСТ 18466-73
ГОСТ 18466-73
ГОСТ 18466-73
ГОСТ 18466-73
ГОСТ 18466-73
ГОСТ 18466-73
ГОСТ 18466-73
ГОСТ 18466-73
ГОСТ 18466-73
ГОСТ 18466-73
ГОСТ 18466-73
ГОСТ 18466-73
ГОСТ 18466-73
ГОСТ 18466-73
ГОСТ 18466-73
ГОСТ 18466-73
ГОСТ 18466-73
ГОСТ 18466-73
ГОСТ 18466-73
ГОСТ 18466-73
ГОСТ 18466-73
ГОСТ 18466-73
ГОСТ 18466-73
ГОСТ 18466-73
ГОСТ 18466-73
ГОСТ 18466-73
ГОСТ 18466-73
ГОСТ 18466-73
ГОСТ 18466-73
ГОСТ 18466-73
ГОСТ 18466-73
ГОСТ 18466-73
ГОСТ 18466-73
ГОСТ 18466-73
ГОСТ 18466-73
ГОСТ 18466-73
ГОСТ 18466-73
ГОСТ 18466-73
ГОСТ 18466-73
ГОСТ 18466-73
ГОСТ 18466-73
ГОСТ 18466-73
ГОСТ 18466-73
ГОСТ 18466-73
ГОСТ 18466-73
ГОСТ 18466-73
ГОСТ 18466-73
ГОСТ 18466-73
ГОСТ 18466-73
ГОСТ 18466-73
ГОСТ 18466-73
ГОСТ 18466-73
ГОСТ 18466-73
ГОСТ 18466-73
ГОСТ 18466-73
ГОСТ 18466-73
ГОСТ 18466-73
ГОСТ 18466-73
ГОСТ 18466-73
ГОСТ 18466-73
ГОСТ 18466-73
ГОСТ 18466-73
ГОСТ 18466-73
ГОСТ 18466-73
ГОСТ 18466-73
ГОСТ 18466-73
ГОСТ 18466-73
ГОСТ 18466-73
ГОСТ 18466-73
ГОСТ 18466-73
ГОСТ 18466-73
ГОСТ 18466-73
ГОСТ 18466-73
ГОСТ 18466-73
ГОСТ 18466-73
ГОСТ 18466-73
ГОСТ 18466-73
ГОСТ 18466-73
ГОСТ 18466-73
ГОСТ 18466-73
ГОСТ 18466-73
ГОСТ 18466-73
ГОСТ 18466-73
ГОСТ 18466-73
ГОСТ 18466-73
ГОСТ 18466-73
ГОСТ 18466-73
ГОСТ 18466-73
ГОСТ 18466-73
ГОСТ 18466-73
ГОСТ 18466-73
ГОСТ 18466-73
ГОСТ 18466-73
ГОСТ 18466-73
ГОСТ 18466-73
ГОСТ 18466-73
ГОСТ 18466-73
ГОСТ 18466-73
ГОСТ 18466-73
ГОСТ 18466-73
ГОСТ 18466-73
ГОСТ 18466-73
ГОСТ 18466-73
ГОСТ 18466-73
ГОСТ 18466-73
ГОСТ 18466-73
ГОСТ 18466-73
ГОСТ 18466-73
ГОСТ 18466-73
ГОСТ 18466-73
ГОСТ 18466-73
ГОСТ 18466-73
ГОСТ 18466-73
ГОСТ 18466-73
ГОСТ 18466-73
ГОСТ 18466-73
ГОСТ 18466-73
ГОСТ 18466-73
ГОСТ 18466-73
ГОСТ 18466-73
ГОСТ 18466-73
ГОСТ 18466-73
ГОСТ 18466-73
ГОСТ 18466-73
ГОСТ 18466-73
ГОСТ 18466-73
ГОСТ 18466-73
ГОСТ 18466-73
ГОСТ 18466-73
ГОСТ 18466-73
ГОСТ 18466-73
ГОСТ 18466-73
ГОСТ 18466-73
ГОСТ 18466-73
ГОСТ 18466-73
ГОСТ 18466-73
ГОСТ 18466-73
ГОСТ 18466-73
ГОСТ 18466-73
ГОСТ 18466-73
ГОСТ 18466-73
ГОСТ 18466-73
ГОСТ 18466-73
ГОСТ 18466-73
ГОСТ 18466-73
ГОСТ 18466-73
ГОСТ 18466-73
ГОСТ 18466-73
ГОСТ 18466-73
ГОСТ 18466-73
ГОСТ 18466-73
ГОСТ 18466-73
ГОСТ 18466-73
ГОСТ 18466-73
ГОСТ 18466-73
ГОСТ 18466-73
ГОСТ 18466-73
ГОСТ 18466-73
ГОСТ 18466-73
ГОСТ 18466-73
ГОСТ 18466-73
ГОСТ 18466-73
ГОСТ 18466-73
ГОСТ 18466-73
ГОСТ 18466-73
ГОСТ 18466-73
ГОСТ 18466-73
ГОСТ 18466-73
ГОСТ 18466-73
ГОСТ 18466-73
ГОСТ 18466-73
ГОСТ 18466-73
ГОСТ 18466-73
ГОСТ 18466-73
ГОСТ 18466-73
ГОСТ 18466-73
ГОСТ 18466-73
ГОСТ 18466-73
ГОСТ 18466-73
ГОСТ 18466-73
ГОСТ 18466-73
ГОСТ 18466-73
ГОСТ 18466-73
ГОСТ 18466-73
ГОСТ 18466-73
ГОСТ 18466-73
ГОСТ 18466-73
ГОСТ 18466-73
ГОСТ 18466-73
ГОСТ 18466-73
ГОСТ 18466-73
ГОСТ 18466-73
ГОСТ 18466-73
ГОСТ 18466-73
ГОСТ 18466-73
ГОСТ 18466-73
ГОСТ 18466-73
ГОСТ 18466-73
ГОСТ 18466-73
ГОСТ 18466-73
ГОСТ 18466-73
ГОСТ 18466-73
ГОСТ 18466-73
ГОСТ 18466-73
ГОСТ 18466-73
ГОСТ 18466-73
ГОСТ 18466-73
ГОСТ 18466-73
ГОСТ 18466-73
ГОСТ 18466-73
ГОСТ 18466-73
ГОСТ 18466-73
ГОСТ 18466-73
ГОСТ 18466-73
ГОСТ 18466-73
ГОСТ 18466-73
ГОСТ 18466-73
ГОСТ 18466-73
ГОСТ 18466-73
ГОСТ 18466-73
ГОСТ 18466-73
ГОСТ 18466-73
ГОСТ 18466-73
ГОСТ 18466-73
ГОСТ 18466-73
ГОСТ 18466-73
ГОСТ 18466-73
ГОСТ 18466-73
ГОСТ 18466-73
ГОСТ 18466-73
ГОСТ 18466-73
ГОСТ 18466-73
ГОСТ 18466-73
ГОСТ 18466-73
ГОСТ 18466-73
ГОСТ 18466-73
ГОСТ 18466-73
ГОСТ 18466-73
ГОСТ 18466-73
ГОСТ 18466-73
ГОСТ 18466-73
ГОСТ 18466-73
ГОСТ 18466-73
ГОСТ 18466-73
ГОСТ 18466-73
ГОСТ 18466-73
ГОСТ 18466-73
ГОСТ 18466-73
ГОСТ 18466-73
ГОСТ 18466-73
ГОСТ 18466-73
ГОСТ 18466-73
ГОСТ 18466-73
ГОСТ 18466-73
ГОСТ 18466-73
ГОСТ 18466-73
ГОСТ 18466-73
ГОСТ 18466-73
ГОСТ 18466-73
ГОСТ 18466-73
ГОСТ 18466-73
ГОСТ 18466-73
ГОСТ 18466-73
ГОСТ 18466-73
ГОСТ 18466-73
ГОСТ 18466-73
ГОСТ 18466-73
ГОСТ 18466-73
ГОСТ 18466-73
ГОСТ 18466-73
ГОСТ 18466-73
ГОСТ 18466-73
ГОСТ 18466-73
ГОСТ 18466-73
ГОСТ 18466-73
ГОСТ 18466-73
ГОСТ 18466-73
ГОСТ 18466-73
ГОСТ 18466-73
ГОСТ 18466-73
ГОСТ 18466-73
ГОСТ 18466-73
ГОСТ 18466-73
ГОСТ 18466-73
ГОСТ 18466-73
ГОСТ 18466-73
ГОСТ 18466-73
ГОСТ 18466-73
ГОСТ 18466-73
ГОСТ 18466-73
ГОСТ 18466-73
ГОСТ 18466-73
ГОСТ 18466-73
ГОСТ 18466-73
ГОСТ 18466-73
ГОСТ 18466-73
ГОСТ 18466-73
ГОСТ 18466-73
ГОСТ 18466-73
ГОСТ 18466-73
ГОСТ 18466-73
ГОСТ 18466-73
ГОСТ 18466-73
ГОСТ 18466-73
ГОСТ 18466-73
ГОСТ 18466-73
ГОСТ 18466-73
ГОСТ 18466-73
ГОСТ 18466-73
ГОСТ 18466-73
ГОСТ 18466-73
ГОСТ 18466-73
ГОСТ 18466-73
ГОСТ 18466-73
ГОСТ 18466-73
ГОСТ 18466-73
ГОСТ 18466-73
ГОСТ 18466-73
ГОСТ 18466-73
ГОСТ 18466-73
ГОСТ 18466-73
ГОСТ 18466-73
ГОСТ 18466-73
ГОСТ 18466-73
ГОСТ 18466-73
ГОСТ 18466-73
ГОСТ 18466-73
ГОСТ 18466-73
ГОСТ 18466-73


Поправка к ГОСТ 18466-73

Обозначение: Поправка к ГОСТ 18466-73
Дата введения в действие: 01.02.2004
Дата актуализации: 15.01.2008


Поправка к ГОСТ 18466-73
Поправка к ГОСТ 18466-73
Поправка к ГОСТ 18466-73
Поправка к ГОСТ 18466-73
Поправка к ГОСТ 18466-73
Автор: 
Домашняя страница автора: 

ГОСТ 18787-80

E-mail автора: 

Винты ступенчатые со шлицем. Конструкция и размеры

Обозначение: ГОСТ 18787-80
Статус: действующий
Название рус.: Винты ступенчатые со шлицем. Конструкция и размеры
Название англ.: Splined stepped screws. Design and dimensions
Дата актуализации текста: 19.06.2012
Дата актуализации описания: 19.06.2012
Дата введения в действие: 01.01.1982
Область и условия применения: Настоящий стандарт распространяется на штампы листовой штамповки и устанавливает конструкцию и размеры винтов ступенчатых со шлицем
Взамен: ГОСТ 18787-73
Список изменений: №1 от 01.07.1986 (рег. 19.12.1985) «Срок действия продлен»


ГОСТ 18787-80
ГОСТ 18787-80
ГОСТ 18787-80
Автор: 
Домашняя страница автора: 

ГОСТ 18343-80

E-mail автора: 

Поддоны для кирпича и керамических камней. Технические условия

Обозначение: ГОСТ 18343-80
Статус: действующий
Название рус.: Поддоны для кирпича и керамических камней. Технические условия
Название англ.: Pallets for brick and structural-clay tile. Specifications
Дата актуализации текста: 19.06.2012
Дата актуализации описания: 19.06.2012
Дата введения в действие: 01.01.1981
Область и условия применения: Настоящий стандарт распространяется на плоские деревянные, деревометаллические и металлические поддоны, предназначенные для формирования на них транспортных пакетов кирпича и керамических камней обычных и модульных размеров по ГОСТ 6316-74, механизированной вывозки пакетов из обжиговых печей, погрузки их в транспортные средства и выгрузки, транспортирования автомобильным, железнодорожным и водным транспортом, складирования и подачи пакетов к месту работы каменщиков
Взамен: ГОСТ 18343-73


ГОСТ 18343-80
ГОСТ 18343-80
ГОСТ 18343-80
ГОСТ 18343-80
ГОСТ 18343-80
ГОСТ 18343-80
ГОСТ 18343-80
ГОСТ 18343-80
ГОСТ 18343-80
ГОСТ 18343-80
ГОСТ 18343-80
ГОСТ 18343-80
Автор: 
Домашняя страница автора: 

ГОСТ 19583-80

E-mail автора: 

Пуансоны универсально-переналаживаемых штампов для точной объемной штамповки на кривошипных прессах. Основные параметры

Обозначение: ГОСТ 19583-80
Статус: действующий
Название рус.: Пуансоны универсально-переналаживаемых штампов для точной объемной штамповки на кривошипных прессах. Основные параметры
Название англ.: Punches of general purpose adjusting hammer dies for precision die forging by means of crank presses. Basic parameters
Дата актуализации текста: 19.06.2012
Дата актуализации описания: 19.06.2012
Дата введения в действие: 01.01.1982
Область и условия применения: Настоящий стандарт распространяется на основные параметры пуансонов, закрепляемых в блоках универсально-переналаживаемых штампов для точной объемной штамповки
Взамен: ГОСТ 19583-74


ГОСТ 19583-80
ГОСТ 19583-80
Автор: 
Домашняя страница автора: 

Страницы