Наша группа Вконтакте vk.com/4ertimcom

ГОСТ 5001-6000

ГОСТ 5348-69

E-mail автора: 

Фрезы дисковые трехсторонние со вставными ножами, оснащенными твердым сплавом. Конструкция и размеры

Обозначение: ГОСТ 5348-69
Статус: действующий
Название рус.: Фрезы дисковые трехсторонние со вставными ножами, оснащенными твердым сплавом. Конструкция и размеры
Название англ.: Side-and-face milling cutters with inserted carbide blades. Construction and dimensions
Дата актуализации текста: 19.06.2012
Дата актуализации описания: 19.06.2012
Дата введения в действие: 01.07.1970
Область и условия применения: Настоящий стандарт распространяется на фрезы дисковые трехсторонние со вставными ножами, оснащенными твердым сплавом
Взамен: ГОСТ 5348-60 МН 998-60
Список изменений: №0 от 07.12.1988 (рег. 07.12.1988) «Срок действия продлен»
№1 от 01.01.1981 (рег. 09.12.1980) «Срок действия продлен»


ГОСТ 5348-69
ГОСТ 5348-69
ГОСТ 5348-69
ГОСТ 5348-69
ГОСТ 5348-69
ГОСТ 5348-69
ГОСТ 5348-69
ГОСТ 5348-69
ГОСТ 5348-69
ГОСТ 5348-69
ГОСТ 5348-69
ГОСТ 5348-69
ГОСТ 5348-69
ГОСТ 5348-69
ГОСТ 5348-69
ГОСТ 5348-69
ГОСТ 5348-69
ГОСТ 5348-69
ГОСТ 5348-69
Автор: 
Домашняя страница автора: 

ГОСТ 5524-75

E-mail автора: 

Пилы для вертикальных лесопильных рам. Технические условия

Обозначение: ГОСТ 5524-75
Статус: действующий
Название рус.: Пилы для вертикальных лесопильных рам. Технические условия
Название англ.: Saws for vertical gang mills
Дата актуализации текста: 19.06.2012
Дата актуализации описания: 19.06.2012
Дата введения в действие: 01.07.1976
Область и условия применения: Настоящий стандарт распространяется на пилы для продольной распиловки бревен и брусьев на вертикальных лесопильных рамах (кроме тарных)
Взамен: ГОСТ 5524-62
Список изменений: №1 от 01.10.1982 (рег. 16.06.1982) «Срок действия продлен»
№2 от 01.08.1987 (рег. 12.03.1987) «Срок действия продлен»
№3 от 01.10.1991 (рег. 07.05.1991) «Срок действия продлен»


ГОСТ 5524-75
ГОСТ 5524-75
ГОСТ 5524-75
ГОСТ 5524-75
ГОСТ 5524-75
ГОСТ 5524-75
ГОСТ 5524-75
ГОСТ 5524-75
ГОСТ 5524-75
ГОСТ 5524-75
ГОСТ 5524-75
Автор: 
Домашняя страница автора: 

ГОСТ 5955-75

E-mail автора: 

Реактивы. Бензол. Технические условия

Обозначение: ГОСТ 5955-75
Статус: действующий
Название рус.: Реактивы. Бензол. Технические условия
Название англ.: Reagents. Benzene. Specifications
Дата актуализации текста: 19.06.2012
Дата актуализации описания: 19.06.2012
Дата введения в действие: 01.03.1975
Область и условия применения: Настоящий стандарт распространяется на бензол, представляющий собой бесцветную прозрачную горючую жидкость с характерным запахом; бензол плохо растворим в воде, смешивается со спиртом, эфиром и другими органическими растворителями
Взамен: ГОСТ 5955-68
Список изменений: №1 от 01.12.1987 (рег. 19.06.1987) «Поправка»
№2 от 01.03.1993 (рег. 15.09.1992) «Срок действия продлен»


ГОСТ 5955-75
ГОСТ 5955-75
ГОСТ 5955-75
ГОСТ 5955-75
ГОСТ 5955-75
ГОСТ 5955-75
ГОСТ 5955-75
ГОСТ 5955-75
ГОСТ 5955-75
ГОСТ 5955-75
ГОСТ 5955-75
ГОСТ 5955-75
ГОСТ 5955-75
ГОСТ 5955-75
Автор: 
Домашняя страница автора: 

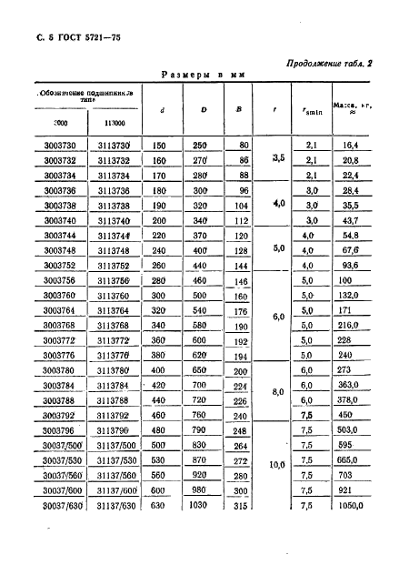
ГОСТ 5721-75

E-mail автора: 

Подшипники роликовые радиальные сферические двухрядные. Типы и основные размеры

Обозначение: ГОСТ 5721-75
Статус: действующий
Название рус.: Подшипники роликовые радиальные сферические двухрядные. Типы и основные размеры
Название англ.: Spherical radial double row roller bearings. Types and boundary dimensions
Дата актуализации текста: 19.06.2012
Дата актуализации описания: 19.06.2012
Дата введения в действие: 01.07.1977
Область и условия применения: Настоящий стандарт распространяется на двухрядные сферические радиальные роликовые подшипники
Взамен: ГОСТ 5721-57
Список изменений: №1 от 13.04.1987 (рег. 13.04.1987) «Срок действия продлен»
№2 от 01.01.1989 (рег. 18.12.1987) «Срок действия продлен»


ГОСТ 5721-75
ГОСТ 5721-75
ГОСТ 5721-75
ГОСТ 5721-75
ГОСТ 5721-75
ГОСТ 5721-75
ГОСТ 5721-75
ГОСТ 5721-75
ГОСТ 5721-75
ГОСТ 5721-75
ГОСТ 5721-75
ГОСТ 5721-75
ГОСТ 5721-75
ГОСТ 5721-75
ГОСТ 5721-75
ГОСТ 5721-75
Автор: 
Домашняя страница автора: 

ГОСТ 5396-77

E-mail автора: 

Торф. Методы отбора проб

Обозначение: ГОСТ 5396-77
Статус: действующий
Название рус.: Торф. Методы отбора проб
Название англ.: Turf. Methods of sampling
Дата актуализации текста: 19.06.2012
Дата актуализации описания: 19.06.2012
Дата введения в действие: 01.01.1979
Область и условия применения: Настоящий стандарт распространяется на фрезерный и кусковой торф, торфяные брикеты и полубрикеты, торфяные удобрения, грунты и другие виды продукции и устанавливает методы отбора проб и обработки их для лабораторных испытаний
Взамен: ГОСТ 5396-66 ГОСТ 18131-72
Список изменений: №0 от 01.01.2013 (рег. 16.06.2011) «Поправка к изменению»
№1 от 01.01.1984 (рег. 22.09.1983) «Срок действия продлен»
№2 от 01.01.1989 (рег. 04.06.1988) «Срок действия продлен»


ГОСТ 5396-77
ГОСТ 5396-77
ГОСТ 5396-77
ГОСТ 5396-77
ГОСТ 5396-77
ГОСТ 5396-77
ГОСТ 5396-77
ГОСТ 5396-77
ГОСТ 5396-77
ГОСТ 5396-77
ГОСТ 5396-77
ГОСТ 5396-77
Автор: 
Домашняя страница автора: 

ГОСТ 5875-77

E-mail автора: 

Механизмы якорные с электрическим и гидравлическим приводом. Типы, основные параметры, технические требования и правила приемки

Обозначение: ГОСТ 5875-77
Статус: действующий
Название рус.: Механизмы якорные с электрическим и гидравлическим приводом. Типы, основные параметры, технические требования и правила приемки
Название англ.: Electric and hydraulic anchor gears. Types, main parameters, technical requirements and acceptance rules
Дата актуализации текста: 19.06.2012
Дата актуализации описания: 19.06.2012
Дата введения в действие: 01.07.1978
Область и условия применения: Настоящий стандарт распространяется на якорные механизмы со звездочками для якорной цепи с электрическим и гидравлическим приводом (брашпили, якорные и якорно-швартовые шпили), а также на якорные узлы брашпильного типа, входящие в состав лебедок, и брашпильные приставки к лебедкам, имеющие местное, дистанционное и автоматизированное управление и предназначенные для надводных кораблей, судов и плавсредств.
Стандарт не распространяется на якорные механизмы для катеров и судов с динамическими принципами поддержания, а также на якорные механизмы плавучих буровых платформ и установок, предназначенные для удержания этих сооружений над устьем скважины при проведении буровых работ
Взамен: ГОСТ 5875-69
Список изменений: №1 от 01.10.1978 (рег. 26.06.1978) «Срок действия продлен»
№2 от 01.01.1982 (рег. 16.12.1981) «Срок действия продлен»
№3 от 01.01.1984 (рег. 15.04.1983) «Срок действия продлен»
№4 от 01.01.1989 (рег. 03.05.1988) «Срок действия продлен»
№5 от 01.01.1992 (рег. 24.10.1990) «Срок действия продлен»


ГОСТ 5875-77
ГОСТ 5875-77
ГОСТ 5875-77
ГОСТ 5875-77
ГОСТ 5875-77
ГОСТ 5875-77
ГОСТ 5875-77
ГОСТ 5875-77
ГОСТ 5875-77
ГОСТ 5875-77
ГОСТ 5875-77
ГОСТ 5875-77
ГОСТ 5875-77
ГОСТ 5875-77
ГОСТ 5875-77
Автор: 
Домашняя страница автора: 

ГОСТ 5665-77

E-mail автора: 

Ткани бортовые льняные и полульняные. Общие технические условия

Обозначение: ГОСТ 5665-77
Статус: действующий
Название рус.: Ткани бортовые льняные и полульняные. Общие технические условия
Название англ.: Stiffening fabrics, linen and half-linen. General specifications
Дата актуализации текста: 19.06.2012
Дата актуализации описания: 19.06.2012
Дата введения в действие: 01.01.1979
Область и условия применения: Настоящий стандарт распространяется на льняные и полульняные бортовые ткани, предназначенные для приклада в швейных изделиях
Взамен: ГОСТ 5665-66
Список изменений: №1 от 01.10.1983 (рег. 13.04.1983) «Срок действия продлен»
№2 от 01.01.1986 (рег. 05.07.1985) «Срок действия продлен»
№3 от 01.01.1991 (рег. 03.05.1990) «Срок действия продлен»


ГОСТ 5665-77
ГОСТ 5665-77
ГОСТ 5665-77
ГОСТ 5665-77
ГОСТ 5665-77
ГОСТ 5665-77
ГОСТ 5665-77
ГОСТ 5665-77
ГОСТ 5665-77
Автор: 
Домашняя страница автора: 

ГОСТ 5869-77

E-mail автора: 

Реактивы. Ангидрид фталевый. Технические условия

Обозначение: ГОСТ 5869-77
Статус: действующий
Название рус.: Реактивы. Ангидрид фталевый. Технические условия
Название англ.: Reagents. Phtalic anhydride. Specifications
Дата актуализации текста: 19.06.2012
Дата актуализации описания: 19.06.2012
Дата введения в действие: 01.07.1978
Область и условия применения: Настоящий стандарт распространяется на реактив - фталевый ангидрид, представляющий собой кристаллический порошок или чешуйки белого цвета; растворим в спирте, бензоле; труднорастворим в холодной воде, лучше - в горячей
Взамен: ГОСТ 5869-67
Список изменений: №1 от 01.01.1983 (рег. 02.09.1982) «Срок действия продлен»
№2 от 01.10.1987 (рег. 28.04.1987) «Срок действия продлен»


ГОСТ 5869-77
ГОСТ 5869-77
ГОСТ 5869-77
ГОСТ 5869-77
ГОСТ 5869-77
ГОСТ 5869-77
ГОСТ 5869-77
ГОСТ 5869-77
ГОСТ 5869-77
ГОСТ 5869-77
ГОСТ 5869-77
ГОСТ 5869-77
ГОСТ 5869-77
ГОСТ 5869-77
Автор: 
Домашняя страница автора: 

ГОСТ 5221-77

E-mail автора: 

Проволока из оловянно-цинковой бронзы. Технические условия

Обозначение: ГОСТ 5221-77
Статус: заменён
Название рус.: Проволока из оловянно-цинковой бронзы. Технические условия
Название англ.: Tin-zinc bronze wire. Specifications
Дата актуализации текста: 19.06.2012
Дата актуализации описания: 19.06.2012
Дата введения в действие: 01.01.1979
Область и условия применения: Настоящий стандарт распространяется на проволоку из оловянно-цинковой бронзы круглого и квадратного сечений, предназначенную для изготовления упругих элементов
Взамен: ГОСТ 5221-72
Заменяющий: ГОСТ 5221-2008
Список изменений: №1 от 01.10.1983 (рег. 17.03.1983) «Срок действия продлен»
№2 от 01.10.1988 (рег. 18.02.1988) «Срок действия продлен»


ГОСТ 5221-77
ГОСТ 5221-77
ГОСТ 5221-77
ГОСТ 5221-77
ГОСТ 5221-77
ГОСТ 5221-77
ГОСТ 5221-77
ГОСТ 5221-77
ГОСТ 5221-77
ГОСТ 5221-77
ГОСТ 5221-77
Автор: 
Домашняя страница автора: 

ГОСТ 5956-78

E-mail автора: 

Суперфосфат гранулированный из апатитового концентрата без добавок и с добавками микроэлементов. Технические условия

Обозначение: ГОСТ 5956-78
Статус: действующий
Название рус.: Суперфосфат гранулированный из апатитового концентрата без добавок и с добавками микроэлементов. Технические условия
Название англ.: Granulated superphosphate from apatite concentrate with and without additives of microelements. Specifications
Дата актуализации текста: 19.06.2012
Дата актуализации описания: 19.06.2012
Дата введения в действие: 01.01.1979
Область и условия применения: Настоящий стандарт распространяется на гранулированный суперфосфат без добавок и с добавками микроэлементов (бора, марганца и молибдена), получаемый разложением апатитового концентрата серной кислотой, в том числе с использованием различных видов отработанных кислот, с последующей грануляцией продукта.
Гранулированный суперфосфат из апатитового концентрата без добавок и с добавками микроэлементов предназначается для сельского хозяйства и розничной торговли как удобрение
Взамен: ГОСТ 5956-73
Список изменений: №1 от 01.03.1983 (рег. 13.12.1982) «Срок действия продлен»
№2 от 01.09.1986 (рег. 07.04.1986) «Срок действия продлен»
№3 от 01.10.1988 (рег. 15.06.1988) «Срок действия продлен»
№4 от 01.02.1990 (рег. 24.07.1989) «Срок действия продлен»
№5 от 01.01.1991 (рег. 28.12.1990) «Срок действия продлен»
№6 от 01.07.1992 (рег. 28.12.1991) «Срок действия продлен»


ГОСТ 5956-78
ГОСТ 5956-78
ГОСТ 5956-78
ГОСТ 5956-78
ГОСТ 5956-78
ГОСТ 5956-78
ГОСТ 5956-78
ГОСТ 5956-78
ГОСТ 5956-78
ГОСТ 5956-78
ГОСТ 5956-78
ГОСТ 5956-78
ГОСТ 5956-78
ГОСТ 5956-78
ГОСТ 5956-78
ГОСТ 5956-78
ГОСТ 5956-78
ГОСТ 5956-78
ГОСТ 5956-78
ГОСТ 5956-78
ГОСТ 5956-78
ГОСТ 5956-78
ГОСТ 5956-78
ГОСТ 5956-78
ГОСТ 5956-78
ГОСТ 5956-78
ГОСТ 5956-78
ГОСТ 5956-78
ГОСТ 5956-78
ГОСТ 5956-78
ГОСТ 5956-78
Автор: 
Домашняя страница автора: 

Страницы