Наша группа Вконтакте vk.com/4ertimcom

ГОСТ 6001-10000

ГОСТ 8320.2-83

E-mail автора: 

Профили периодические поперечно-винтовой прокатки четырехступенчатые для валов электродвигателей. Сортамент

Обозначение: ГОСТ 8320.2-83
Статус: действующий
Название рус.: Профили периодические поперечно-винтовой прокатки четырехступенчатые для валов электродвигателей. Сортамент
Название англ.: Periodic quadristep sections produced by cross-helical rolling for electric motor shafts. Dimensions
Дата актуализации текста: 19.06.2012
Дата актуализации описания: 19.06.2012
Дата введения в действие: 01.01.1985
Область и условия применения: Настоящий стандарт распространяется на горячекатаные круглые периодические четырехступенчатые профили для валов электродвигателей, изготовляемые поперечно-винтовой прокаткой
Взамен: ГОСТ 8320.2-73


ГОСТ 8320.2-83
Автор: 
Домашняя страница автора: 

ГОСТ 6428-83

E-mail автора: 

Плиты гипсовые для перегородок. Технические условия

Обозначение: ГОСТ 6428-83
Статус: действующий
Название рус.: Плиты гипсовые для перегородок. Технические условия
Название англ.: Plaster slabs for partitions. Specifications
Дата актуализации текста: 19.06.2012
Дата актуализации описания: 19.06.2012
Дата введения в действие: 01.01.1985
Область и условия применения: Настоящий стандарт распространяется на гипсовые плиты, предназначенные для устройства перегородок в зданиях различного назначения с сухим и нормальным режимом помещений по СНиП II-3-79. Плиты относятся к группе трудносгораемых материалов
Взамен: ГОСТ 6428-74


ГОСТ 6428-83
ГОСТ 6428-83
ГОСТ 6428-83
ГОСТ 6428-83
ГОСТ 6428-83
ГОСТ 6428-83
ГОСТ 6428-83
ГОСТ 6428-83
ГОСТ 6428-83
ГОСТ 6428-83
ГОСТ 6428-83
ГОСТ 6428-83
ГОСТ 6428-83
ГОСТ 6428-83
Автор: 
Домашняя страница автора: 

ГОСТ 6042-83

E-mail автора: 

Резьба Эдисона круглая. Профили, размеры и предельные размеры

Обозначение: ГОСТ 6042-83
Статус: действующий
Название рус.: Резьба Эдисона круглая. Профили, размеры и предельные размеры
Название англ.: Edison's round thread. Profiles, dimensions and dimension limits
Дата актуализации текста: 19.06.2012
Дата актуализации описания: 19.06.2012
Дата введения в действие: 01.07.1985
Область и условия применения: Настоящий стандарт распространяется на внутреннюю и наружную круглую резьбу Эдисона для металлических и неметаллических элементов (керамических, пластмассовых), применяемых в электротехнических изделиях
Взамен в части: ГОСТ 6042-71 в части разд. 1


ГОСТ 6042-83
ГОСТ 6042-83
ГОСТ 6042-83
ГОСТ 6042-83
Автор: 
Домашняя страница автора: 

ГОСТ 9733.26-83

E-mail автора: 

Материалы текстильные. Метод испытания устойчивости окраски к отбелке сернистым ангидридом

Обозначение: ГОСТ 9733.26-83
Статус: действующий
Название рус.: Материалы текстильные. Метод испытания устойчивости окраски к отбелке сернистым ангидридом
Название англ.: Textiles. Test method of colour fastness to sulfuric anhydride bleaching
Дата актуализации текста: 19.06.2012
Дата актуализации описания: 19.06.2012
Дата введения в действие: 01.01.1986
Область и условия применения: Настоящий стандарт распространяется на текстильные материалы и устанавливает метод испытания устойчивости окраски к действию сернистого ангидрида, применяемого при отбеливании волокон животного происхождения.
Метод основан на выдерживании текстильного материала, пропитанного раствором мыла, в атмосфере сернистого ангидрида
Взамен в части: ГОСТ 9733-61 в части разд. II, п. 40
Список изменений: №1 от 01.06.1988 (рег. 08.02.1988) «Срок действия продлен»


ГОСТ 9733.26-83
ГОСТ 9733.26-83
ГОСТ 9733.26-83
Автор: 
Домашняя страница автора: 

ГОСТ 9733.8-83

E-mail автора: 

Материалы текстильные. Метод испытания устойчивости окраски к сублимации

Обозначение: ГОСТ 9733.8-83
Статус: действующий
Название рус.: Материалы текстильные. Метод испытания устойчивости окраски к сублимации
Название англ.: Textiles. Test method of colour fastness to sublimatation
Дата актуализации текста: 19.06.2012
Дата актуализации описания: 19.06.2012
Дата введения в действие: 01.01.1986
Область и условия применения: Настоящий стандарт распространяется на текстильные материалы из синтетических волокон и их смесей с натуральными волокнами и устанавливает метод определения устойчивости окраски к сухому теплу, имитирующему процесс термофиксации или плиссирования
Список изменений: №1 от 01.01.1991 (рег. 23.03.1990) «Срок действия продлен»


ГОСТ 9733.8-83
ГОСТ 9733.8-83
ГОСТ 9733.8-83
ГОСТ 9733.8-83
Автор: 
Домашняя страница автора: 

ГОСТ 9733.12-83

E-mail автора: 

Материалы текстильные. Метод испытания устойчивости окраски к каплям щелочи

Обозначение: ГОСТ 9733.12-83
Статус: действующий
Название рус.: Материалы текстильные. Метод испытания устойчивости окраски к каплям щелочи
Название англ.: Textiles. Test method of colour fastness to alkali drops
Дата актуализации текста: 19.06.2012
Дата актуализации описания: 19.06.2012
Дата введения в действие: 01.01.1986
Область и условия применения: Настоящий стандарт распространяется на текстильные материалы и устанавливает метод испытания устойчивости окраски к действию разбавленного раствора щелочи.
Метод основан на нанесении капли щелочи на текстильный материал
Взамен в части: ГОСТ 9733-61 в части разд. II, п. 25
Список изменений: №1 от 01.03.1988 (рег. 29.09.1987) «Срок действия продлен»


ГОСТ 9733.12-83
ГОСТ 9733.12-83
ГОСТ 9733.12-83
Автор: 
Домашняя страница автора: 

ГОСТ 8320.3-83

E-mail автора: 

Профили периодические поперечно-винтовой прокатки пятиступенчатые для валов электродвигателей. Сортамент

Обозначение: ГОСТ 8320.3-83
Статус: действующий
Название рус.: Профили периодические поперечно-винтовой прокатки пятиступенчатые для валов электродвигателей. Сортамент
Название англ.: Periodic pentastep sections produced by cross-helical rolling for electric motor shafts. Dimensions
Дата актуализации текста: 19.06.2012
Дата актуализации описания: 19.06.2012
Дата введения в действие: 01.01.1985
Область и условия применения: Настоящий стандарт распространяется на горячекатаные круглые периодические пятиступенчатые профили для валов электродвигателей, изготовляемые поперечно-винтовой прокаткой
Взамен: ГОСТ 8320.3-73


ГОСТ 8320.3-83
ГОСТ 8320.3-83
ГОСТ 8320.3-83
Автор: 
Домашняя страница автора: 

ГОСТ 8291-83

E-mail автора: 

Манометры избыточного давления грузопоршневые. Общие технические условия

Обозначение: ГОСТ 8291-83
Статус: действующий
Название рус.: Манометры избыточного давления грузопоршневые. Общие технические условия
Название англ.: Dead-weight preassure-gauge testers. General technical requirements
Дата актуализации текста: 19.06.2012
Дата актуализации описания: 19.06.2012
Дата введения в действие: 01.01.1984
Область и условия применения: Настоящий стандарт распространяется на грузопоршневые манометры избыточного давления с верхними пределами измерений от 0,25 до 250 МПа с непосредственно нагружаемым поршнем и на устройства для создания давления, комплектуемые с манометрами.
Стандарт не распространяется на грузопоршневые манометры с измерительными мультипликаторами, автоматические задатчики давления, грузопоршневые манометры с аэродинамической смазкой, а также показывающие грузопоршневые манометры
Взамен: ГОСТ 8291-69
Список изменений: №1 от 01.07.1989 (рег. 23.12.1988) «Срок действия продлен»


ГОСТ 8291-83
ГОСТ 8291-83
ГОСТ 8291-83
ГОСТ 8291-83
ГОСТ 8291-83
ГОСТ 8291-83
ГОСТ 8291-83
ГОСТ 8291-83
ГОСТ 8291-83
ГОСТ 8291-83
ГОСТ 8291-83
ГОСТ 8291-83
ГОСТ 8291-83
ГОСТ 8291-83
ГОСТ 8291-83
Автор: 
Домашняя страница автора: 

ГОСТ 9733.16-83

E-mail автора: 

Материалы текстильные. Метод испытания устойчивости окраски к заварке

Обозначение: ГОСТ 9733.16-83
Статус: действующий
Название рус.: Материалы текстильные. Метод испытания устойчивости окраски к заварке
Название англ.: Textiles. Test method of colour fastness to potting
Дата актуализации текста: 19.06.2012
Дата актуализации описания: 19.06.2012
Дата введения в действие: 01.01.1986
Область и условия применения: Настоящий стандарт распространяется на текстильные материалы и устанавливает метод испытания устойчивости окраски к заварке.
Метод основан на действии кипящей воды на текстильные материалы, содержащие шерсть
Взамен в части: ГОСТ 9733-61 в части разд. II, п. 32
Список изменений: №1 от 01.06.1988 (рег. 08.02.1988) «Срок действия продлен»


ГОСТ 9733.16-83
ГОСТ 9733.16-83
ГОСТ 9733.16-83
Автор: 
Домашняя страница автора: 

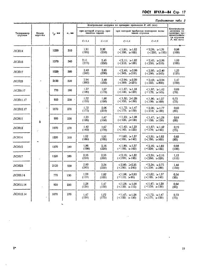
ГОСТ 8717.0-84

E-mail автора: 

Ступени железобетонные и бетонные. Технические условия

Обозначение: ГОСТ 8717.0-84
Статус: действующий
Название рус.: Ступени железобетонные и бетонные. Технические условия
Название англ.: Reinforced concrete and concrete steps. Specifications
Дата актуализации текста: 19.06.2012
Дата актуализации описания: 19.06.2012
Дата введения в действие: 01.01.1986
Область и условия применения: Настоящий стандарт распространяется на железобетонные и бетонные ступени, изготовленные из тяжелого бетона и плотного силикатного бетона и предназначенные для устройств внутренних и наружных лестниц зданий и сооружений. Бетонные ступени предназначены для устройства лестниц по сплошному основанию
Взамен: ГОСТ 8717-81
Список изменений: №1 от 01.08.1973 (рег. 27.04.1973) «Срок действия продлен»


ГОСТ 8717.0-84
ГОСТ 8717.0-84
ГОСТ 8717.0-84
ГОСТ 8717.0-84
ГОСТ 8717.0-84
ГОСТ 8717.0-84
ГОСТ 8717.0-84
ГОСТ 8717.0-84
ГОСТ 8717.0-84
ГОСТ 8717.0-84
ГОСТ 8717.0-84
ГОСТ 8717.0-84
ГОСТ 8717.0-84
ГОСТ 8717.0-84
ГОСТ 8717.0-84
ГОСТ 8717.0-84
ГОСТ 8717.0-84
ГОСТ 8717.0-84
ГОСТ 8717.0-84
ГОСТ 8717.0-84
ГОСТ 8717.0-84
Автор: 
Домашняя страница автора: 

Страницы