Наша группа Вконтакте vk.com/4ertimcom

ГОСТ 6001-10000

ГОСТ 7983-99

E-mail автора: 

Пасты зубные. Общие технические условия

Обозначение: ГОСТ 7983-99
Статус: действующий
Название рус.: Пасты зубные. Общие технические условия
Название англ.: Toothpastes. General specifications
Дата актуализации текста: 19.06.2012
Дата актуализации описания: 19.06.2012
Дата введения в действие: 01.01.2001
Область и условия применения: Настоящий стандарт распространяется на зубные пасты, предназначенные для ухода за зубами и полостью рта
Взамен в части: ГОСТ 7983-82, кроме правил приемки, методов органолептических испытаний и п. 3.8
Список изменений: №0 от 14.03.2002 (рег. 14.03.2002) «Дата введения перенесена»
Приложение №1: Поправка к ГОСТ 7983-99


ГОСТ 7983-99
ГОСТ 7983-99
ГОСТ 7983-99
ГОСТ 7983-99
ГОСТ 7983-99
ГОСТ 7983-99
ГОСТ 7983-99
ГОСТ 7983-99
ГОСТ 7983-99
ГОСТ 7983-99
ГОСТ 7983-99
ГОСТ 7983-99
ГОСТ 7983-99
ГОСТ 7983-99
ГОСТ 7983-99
ГОСТ 7983-99
ГОСТ 7983-99
ГОСТ 7983-99
ГОСТ 7983-99
ГОСТ 7983-99
ГОСТ 7983-99
ГОСТ 7983-99
ГОСТ 7983-99
ГОСТ 7983-99
ГОСТ 7983-99
ГОСТ 7983-99
ГОСТ 7983-99
ГОСТ 7983-99
ГОСТ 7983-99
ГОСТ 7983-99
ГОСТ 7983-99
ГОСТ 7983-99
ГОСТ 7983-99
ГОСТ 7983-99
ГОСТ 7983-99
ГОСТ 7983-99


Поправка к ГОСТ 7983-99

Обозначение: Поправка к ГОСТ 7983-99
Дата введения в действие: 14.03.2002
Дата актуализации: 15.01.2008


Поправка к ГОСТ 7983-99
Автор: 
Домашняя страница автора: 

ГОСТ 7231-90

E-mail автора: 

Томаты консервированные. Общие технические условия

Обозначение: ГОСТ 7231-90
Статус: действующий
Название рус.: Томаты консервированные. Общие технические условия
Название англ.: Canned tomatoes. General specifications
Дата актуализации текста: 19.06.2012
Дата актуализации описания: 19.06.2012
Дата введения в действие: 01.01.1992
Область и условия применения: Настоящий стандарт распространяется на консервы из цельноплодных томатов с кожицей или без кожицы, залитых томатным соком с добавлением или без добавления поваренной соли и органической кислоты или раствором поваренной соли и органической кислоты, с добавлением или без добавления зелени пряных растений, чеснока, пряностей
Взамен: ГОСТ 7231-72 ГОСТ 26326-84 РСТ МССР 198-77 РСТ УзССР 205-85 РСТ БССР 411-83 РСТ УССР 506-81 ТУ 10 РСФСР 111-2-86


ГОСТ 7231-90
ГОСТ 7231-90
ГОСТ 7231-90
ГОСТ 7231-90
ГОСТ 7231-90
ГОСТ 7231-90
ГОСТ 7231-90
ГОСТ 7231-90
Автор: 
Домашняя страница автора: 

ГОСТ 9733.1-91

E-mail автора: 

Материалы текстильные. Метод испытания устойчивости окраски к свету

Обозначение: ГОСТ 9733.1-91
Статус: действующий
Название рус.: Материалы текстильные. Метод испытания устойчивости окраски к свету
Название англ.: Textiles. Test method of colour fastness to light
Дата актуализации текста: 19.06.2012
Дата актуализации описания: 19.06.2012
Дата введения в действие: 01.01.1993
Область и условия применения: Настоящий стандарт устанавливает способ определения устойчивости окраски текстильных материалов всех видов и во всех формах к воздействию дневного света
Взамен: ГОСТ 9733.1-83
Список изменений: №0 от 01.09.2003 (рег. 01.09.2003) «Дата введения перенесена»
Приложение №1: Поправка к ГОСТ 9733.1-91


ГОСТ 9733.1-91
ГОСТ 9733.1-91
ГОСТ 9733.1-91
ГОСТ 9733.1-91
ГОСТ 9733.1-91
ГОСТ 9733.1-91
ГОСТ 9733.1-91
ГОСТ 9733.1-91
ГОСТ 9733.1-91
ГОСТ 9733.1-91
ГОСТ 9733.1-91
ГОСТ 9733.1-91
ГОСТ 9733.1-91


Поправка к ГОСТ 9733.1-91

Обозначение: Поправка к ГОСТ 9733.1-91
Дата введения в действие: 01.09.2003
Дата актуализации: 15.01.2008


Поправка к ГОСТ 9733.1-91
Автор: 
Домашняя страница автора: 

ГОСТ 9561-91

E-mail автора: 

Плиты перекрытий железобетонные многопустотные для зданий и сооружений. Технические условия

Обозначение: ГОСТ 9561-91
Статус: действующий
Название рус.: Плиты перекрытий железобетонные многопустотные для зданий и сооружений. Технические условия
Название англ.: Reinforced concrete multihollow panels for floors in buildings. Specifications
Дата актуализации текста: 19.06.2012
Дата актуализации описания: 19.06.2012
Дата введения в действие: 01.01.1992
Область и условия применения: Настоящий стандарт распространяется на железобетонные многопустотные плиты, изготовляемые из тяжелого, легкого и плотного силикатного бетонов и предназначаемые для несущей части перекрытий зданий и сооружений различного назначения
Взамен: ГОСТ 9561-76
Взамен в части: ГОСТ 26434-85 в части типов, основных размеров и параметров железобетонных многопустотных плит


ГОСТ 9561-91
ГОСТ 9561-91
ГОСТ 9561-91
ГОСТ 9561-91
ГОСТ 9561-91
ГОСТ 9561-91
ГОСТ 9561-91
ГОСТ 9561-91
ГОСТ 9561-91
ГОСТ 9561-91
ГОСТ 9561-91
ГОСТ 9561-91
ГОСТ 9561-91
ГОСТ 9561-91
ГОСТ 9561-91
ГОСТ 9561-91
ГОСТ 9561-91
ГОСТ 9561-91
ГОСТ 9561-91
ГОСТ 9561-91
ГОСТ 9561-91
ГОСТ 9561-91
Автор: 
Домашняя страница автора: 

ГОСТ 9733.28-91

E-mail автора: 

Материалы текстильные. Метод испытания устойчивости окраски к шампунированию

Обозначение: ГОСТ 9733.28-91
Статус: действующий
Название рус.: Материалы текстильные. Метод испытания устойчивости окраски к шампунированию
Название англ.: Textiles. Testing method for paint resistance to shampooing
Дата актуализации текста: 19.06.2012
Дата актуализации описания: 19.06.2012
Дата введения в действие: 01.07.1992
Область и условия применения: Настоящий стандарт распространяется на текстильные материалы и устанавливает метод испытания устойчивости окраски к шампунированию.
Метод не распространяется на ковровые изделия и покрытия специального назначения
Взамен в части: ГОСТ 15124-77 в части п. 2.2.2


ГОСТ 9733.28-91
ГОСТ 9733.28-91
ГОСТ 9733.28-91
ГОСТ 9733.28-91
Автор: 
Домашняя страница автора: 

ГОСТ 9733.2-91

E-mail автора: 

Материалы текстильные. Метод испытания устойчивости окраски к воздействию погоды

Обозначение: ГОСТ 9733.2-91
Статус: действующий
Название рус.: Материалы текстильные. Метод испытания устойчивости окраски к воздействию погоды
Название англ.: Textiles. Test method of colour fastness to weather
Дата актуализации текста: 19.06.2012
Дата актуализации описания: 19.06.2012
Дата введения в действие: 01.01.1993
Область и условия применения: Настоящий стандарт устанавливает метод определения устойчивости окраски текстильных материалов всех видов, за исключением волокна, к действию света и погоды при экспозиции на открытом воздухе
Взамен: ГОСТ 9733.2-83


ГОСТ 9733.2-91
ГОСТ 9733.2-91
ГОСТ 9733.2-91
ГОСТ 9733.2-91
ГОСТ 9733.2-91
ГОСТ 9733.2-91
ГОСТ 9733.2-91
Автор: 
Домашняя страница автора: 

ГОСТ 6572-91

E-mail автора: 

Покрытия лакокрасочные тракторов и сельскохозяйственных машин. Общие технические требования

Обозначение: ГОСТ 6572-91
Статус: действующий
Название рус.: Покрытия лакокрасочные тракторов и сельскохозяйственных машин. Общие технические требования
Название англ.: Paint coatings of tractors and agricultural machinery. General technical requirements
Дата актуализации текста: 19.06.2012
Дата актуализации описания: 19.06.2012
Дата введения в действие: 01.01.1993
Область и условия применения: Настоящий стандарт распространяется на лакокрасочные покрытия тракторов, включая самоходные шасси и различное навесное оборудование, сельскохозяйственных машин и прицепов, их деталей и сборочных единиц, включая двигатели, предназначенных для эксплуатации во всех макроклиматических районах по ГОСТ 15150, за исключением морского
Взамен: ГОСТ 5282-82 ГОСТ 6572-82 ГОСТ 25112-82
Список изменений: №1 от 01.07.1995 (рег. 02.03.1995) «Срок действия продлен»


ГОСТ 6572-91
ГОСТ 6572-91
ГОСТ 6572-91
ГОСТ 6572-91
ГОСТ 6572-91
ГОСТ 6572-91
ГОСТ 6572-91
ГОСТ 6572-91
ГОСТ 6572-91
ГОСТ 6572-91
ГОСТ 6572-91
ГОСТ 6572-91
ГОСТ 6572-91
ГОСТ 6572-91
ГОСТ 6572-91
ГОСТ 6572-91
ГОСТ 6572-91
ГОСТ 6572-91
ГОСТ 6572-91
Автор: 
Домашняя страница автора: 

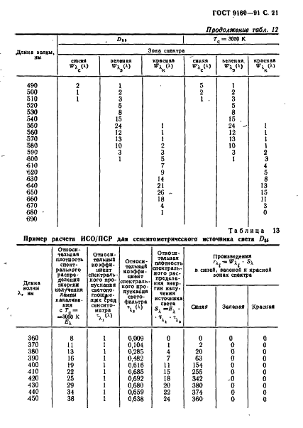
ГОСТ 9160-91

E-mail автора: 

Материалы фотографические на прозрачной подложке. Метод общесенситометрического испытания многослойных цветофотографических материалов

Обозначение: ГОСТ 9160-91
Статус: действующий
Название рус.: Материалы фотографические на прозрачной подложке. Метод общесенситометрического испытания многослойных цветофотографических материалов
Название англ.: Photographic materials with transparent sublayer. Method of general sensitometric test of multilayer colour photographic materials
Дата актуализации текста: 19.06.2012
Дата актуализации описания: 19.06.2012
Дата введения в действие: 01.01.1994
Область и условия применения: Настоящий стандарт распространяется на цветные многослойные фотографические материалы на прозрачной подложке, включая все виды кинопленок, фотопленок общего назначения и аэрофотопленки (цветные и спектрозональные)
Взамен: ГОСТ 9160-82
Список изменений: №0 от 12.04.1993 (рег. 12.04.1993) «Утратил силу в РФ»


ГОСТ 9160-91
ГОСТ 9160-91
ГОСТ 9160-91
ГОСТ 9160-91
ГОСТ 9160-91
ГОСТ 9160-91
ГОСТ 9160-91
ГОСТ 9160-91
ГОСТ 9160-91
ГОСТ 9160-91
ГОСТ 9160-91
ГОСТ 9160-91
ГОСТ 9160-91
ГОСТ 9160-91
ГОСТ 9160-91
ГОСТ 9160-91
ГОСТ 9160-91
ГОСТ 9160-91
ГОСТ 9160-91
ГОСТ 9160-91
ГОСТ 9160-91
ГОСТ 9160-91
ГОСТ 9160-91
ГОСТ 9160-91
ГОСТ 9160-91
ГОСТ 9160-91
Автор: 
Домашняя страница автора: 

ГОСТ 6689.16-92

E-mail автора: 

Никель, сплавы никелевые и медно-никелевые. Методы определения цинка, кадмия, свинца, висмута и олова

Обозначение: ГОСТ 6689.16-92
Статус: действующий
Название рус.: Никель, сплавы никелевые и медно-никелевые. Методы определения цинка, кадмия, свинца, висмута и олова
Название англ.: Nickel, nickel and copper-nickel alloys. Methods for the determination of zinc, cadmium, lead, bismuth and tin
Дата актуализации текста: 19.06.2012
Дата актуализации описания: 19.06.2012
Дата введения в действие: 01.01.1993
Область и условия применения: Настоящий стандарт устанавливает полярографические и вольтамперометрические методы определения цинка (при массовой доле цинка от 0,0005 до 0,6%), кадмия (при массовой доле кадмия от 0,0001 до 0,003%), свинца (при массовой доле свинца от 0,0002 до 0,02%), висмута (при массовой доле висмута от 0,0001 до 0,005%) и олова (при массовой доле олова от 0,0001 до 0,003%) в никеле, никелевых и медно-никелевых сплавах
Взамен: ГОСТ 6689.16-80


ГОСТ 6689.16-92
ГОСТ 6689.16-92
ГОСТ 6689.16-92
ГОСТ 6689.16-92
ГОСТ 6689.16-92
ГОСТ 6689.16-92
ГОСТ 6689.16-92
ГОСТ 6689.16-92
ГОСТ 6689.16-92
ГОСТ 6689.16-92
ГОСТ 6689.16-92
ГОСТ 6689.16-92
ГОСТ 6689.16-92
ГОСТ 6689.16-92
ГОСТ 6689.16-92
ГОСТ 6689.16-92
Автор: 
Домашняя страница автора: 

ГОСТ 9516-92

E-mail автора: 

Уголь. Метод прямого весового определения влаги в аналитической пробе

Обозначение: ГОСТ 9516-92
Статус: действующий
Название рус.: Уголь. Метод прямого весового определения влаги в аналитической пробе
Название англ.: Coal. Determination of moisture in the analysis sample. Direct gravimetric method
Дата актуализации текста: 19.06.2012
Дата актуализации описания: 19.06.2012
Дата введения в действие: 01.01.1993
Область и условия применения: Настоящий стандарт устанавливает весовой метод определения влаги в аналитической пробе каменного и бурого угля, антрацитов и лигнитов
Взамен: ГОСТ 9516-60


ГОСТ 9516-92
ГОСТ 9516-92
ГОСТ 9516-92
ГОСТ 9516-92
ГОСТ 9516-92
ГОСТ 9516-92
ГОСТ 9516-92
ГОСТ 9516-92
ГОСТ 9516-92
ГОСТ 9516-92
Автор: 
Домашняя страница автора: 

Страницы