Наша группа Вконтакте vk.com/4ertimcom

ГОСТ 6001-10000

ГОСТ 9965-76

E-mail автора: 

Нефть для нефтеперерабатывающих предприятий. Технические условия

Обозначение: ГОСТ 9965-76
Статус: действующий
Название рус.: Нефть для нефтеперерабатывающих предприятий. Технические условия
Название англ.: Petroleum for oil processing plants. Specifications
Дата актуализации текста: 19.06.2012
Дата актуализации описания: 19.06.2012
Дата введения в действие: 01.01.1977
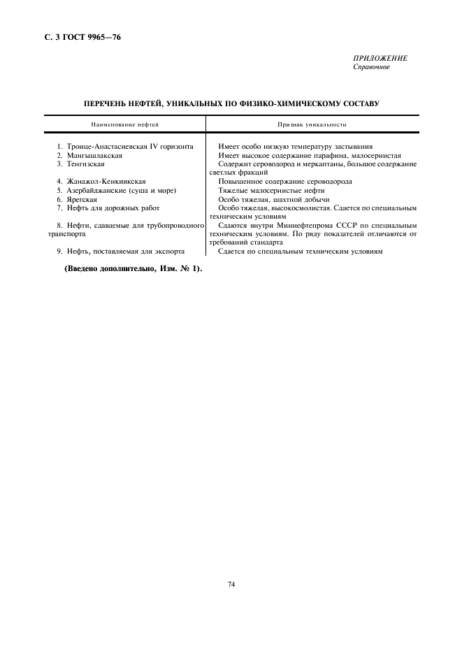
Область и условия применения: Настоящий стандарт распространяется на нефть, поставляемую нефтеперерабатывающим предприятием и предназначенную для переработки.
Стандарт не распространяется на нефти, уникальные по физико-химическому составу
Взамен: ГОСТ 9965-62
Список изменений: №0 от 02.02.1988 (рег. 02.02.1988) «Срок действия продлен»
№1 от 01.01.1989 (рег. 24.08.1988) «Поправка»
№2 от 01.01.1990 (рег. 21.12.1989) «Срок действия продлен»


ГОСТ 9965-76
ГОСТ 9965-76
ГОСТ 9965-76
ГОСТ 9965-76
Автор: 
Домашняя страница автора: 

ГОСТ 9158-76

E-mail автора: 

Семена конопли. Промышленное сырье. Технические условия

Обозначение: ГОСТ 9158-76
Статус: действующий
Название рус.: Семена конопли. Промышленное сырье. Технические условия
Название англ.: Hemp seed. Industrial raw material. Specifications
Дата актуализации текста: 19.06.2012
Дата актуализации описания: 19.06.2012
Дата введения в действие: 01.07.1977
Область и условия применения: Настоящий стандарт распространяется на семена конопли, заготовляемые и поставляемые для промышленной переработки
Взамен: ГОСТ 9158-59
Список изменений: №0 от 17.08.1988 (рег. 17.08.1988) «Срок действия продлен»
№1 от 01.08.1984 (рег. 01.08.1984) «Срок действия продлен»


ГОСТ 9158-76
ГОСТ 9158-76
ГОСТ 9158-76
ГОСТ 9158-76
Автор: 
Домашняя страница автора: 

ГОСТ 8737-77

E-mail автора: 

Ткани и штучные изделия хлопчатобумажные, из пряжи химических волокон и смешанные. Первичная упаковка и маркировка

Обозначение: ГОСТ 8737-77
Статус: действующий
Название рус.: Ткани и штучные изделия хлопчатобумажные, из пряжи химических волокон и смешанные. Первичная упаковка и маркировка
Название англ.: Cotton from rayon yarn and mixed fabrics and piece goods. Primary packing and marking
Дата актуализации текста: 19.06.2012
Дата актуализации описания: 19.06.2012
Дата введения в действие: 01.07.1978
Область и условия применения: Настоящий стандарт распространяется на готовые ткани, штучные изделия, товарное суровье, мерные остатки, мерный и весовой лоскут хлопчатобумажные, из пряжи химических волокон и смешанной, выработанной хлопчатобумажным способом прядения из хлопка в смеси с другими волокнами, а также из хлопчатобумажной основы и утка из искусственного шелка, и устанавливает порядок формирования кусков тканей, первичной упаковки и маркировки
Взамен: ГОСТ 8737-66
Заменяющий в части: ГОСТ 23432-89 в части декоративных тканей; ГОСТ 30084-93 в части разд. 4
Список изменений: №1 от 01.03.1981 (рег. 10.02.1981) «Срок действия продлен»
№2 от 01.06.1983 (рег. 27.12.1982) «Срок действия продлен»
№3 от 01.03.1988 (рег. 23.11.1987) «Срок действия продлен»


ГОСТ 8737-77
ГОСТ 8737-77
ГОСТ 8737-77
ГОСТ 8737-77
ГОСТ 8737-77
ГОСТ 8737-77
ГОСТ 8737-77
ГОСТ 8737-77
ГОСТ 8737-77
Автор: 
Домашняя страница автора: 

ГОСТ 6586-77

E-mail автора: 

Краска черная густотертая МА-015. Технические условия

Обозначение: ГОСТ 6586-77
Статус: действующий
Название рус.: Краска черная густотертая МА-015. Технические условия
Название англ.: Black paste (oil base) MA-015. Specifications
Дата актуализации текста: 19.06.2012
Дата актуализации описания: 19.06.2012
Дата введения в действие: 01.07.1978
Область и условия применения: Настоящий стандарт распространяется на черную густотертую краску МА-015, представляющую собой пасту, состоящую из смеси сажи с наполнителем, затертых на комбинированной олифе с введением добавок или без них
Взамен: ГОСТ 6586-66
Список изменений: №1 от 01.02.1982 (рег. 16.09.1981) «Срок действия продлен»
№2 от 01.01.1986 (рег. 05.09.1985) «Срок действия продлен»
№3 от 01.05.1991 (рег. 27.09.1990) «Поправка»


ГОСТ 6586-77
ГОСТ 6586-77
ГОСТ 6586-77
ГОСТ 6586-77
ГОСТ 6586-77
ГОСТ 6586-77
ГОСТ 6586-77
ГОСТ 6586-77
ГОСТ 6586-77
Автор: 
Домашняя страница автора: 

ГОСТ 9179-77

E-mail автора: 

Известь строительная. Технические условия

Обозначение: ГОСТ 9179-77
Статус: действующий
Название рус.: Известь строительная. Технические условия
Название англ.: Lime for building purposes. Specifications
Дата актуализации текста: 19.06.2012
Дата актуализации описания: 19.06.2012
Дата введения в действие: 01.01.1979
Область и условия применения: Настоящий стандарт распространяется на строительную известь, представляющую собой продукт обжига карбонатных пород или смесь этого продукта с минеральными добавками
Взамен в части: ГОСТ 9179-70 в части технических условий
Список изменений: №1 от 01.06.1989 (рег. 10.04.1989) «Срок действия продлен»


ГОСТ 9179-77
ГОСТ 9179-77
ГОСТ 9179-77
ГОСТ 9179-77
ГОСТ 9179-77
ГОСТ 9179-77
ГОСТ 9179-77
Автор: 
Домашняя страница автора: 

ГОСТ 9212-77

E-mail автора: 

Шкурки меховые и овчина шубная выделанные. Методы определения содержания окиси хрома

Обозначение: ГОСТ 9212-77
Статус: утратил силу в РФ
Название рус.: Шкурки меховые и овчина шубная выделанные. Методы определения содержания окиси хрома
Название англ.: Fur skins and fur coat. Methods of determination of oxide chrome content
Дата актуализации текста: 19.06.2012
Дата актуализации описания: 19.06.2012
Дата введения в действие: 01.07.1978
Область и условия применения: Настоящий стандарт распространяется на выделанные меховые шкурки и шубную овчину и устанавливает методы определения окиси хрома в кожевой ткани сплавлением в золе с окислительной смесью, окислением хлорной кислотой и фотоколориметрическим методом
Взамен: ГОСТ 9212-59
Список изменений: №0 от 01.12.2009 (рег. 27.11.2008) «Поправка к изменению»
№1 от 01.01.1983 (рег. 20.08.1982) «Срок действия продлен»
№2 от 01.05.1988 (рег. 07.12.1987) «Срок действия продлен»
№3 от 01.01.1997 (рег. 26.06.1996) «Срок действия продлен»


ГОСТ 9212-77
ГОСТ 9212-77
ГОСТ 9212-77
ГОСТ 9212-77
ГОСТ 9212-77
ГОСТ 9212-77
ГОСТ 9212-77
Автор: 
Домашняя страница автора: 

ГОСТ 9213-77

E-mail автора: 

Шкурки меховые и овчина шубная. Метод определения содержания алюминия

Обозначение: ГОСТ 9213-77
Статус: утратил силу в РФ
Название рус.: Шкурки меховые и овчина шубная. Метод определения содержания алюминия
Название англ.: Fur skins and fur coat sheepskin. Method of determination of aluminium content
Дата актуализации текста: 19.06.2012
Дата актуализации описания: 19.06.2012
Дата введения в действие: 01.07.1978
Область и условия применения: Настоящий стандарт распространяется на выделанные меховые шкурки, невыделанные меховые шкурки и шубную овчину кислотно-солевого консервирования и устанавливает метод определения алюминия в кожевой ткани
Взамен в части: ГОСТ 9213-59 в части пп. 1, 2, 3, 4
Список изменений: №0 от 01.12.2009 (рег. 27.11.2008) «Поправка к изменению»
№1 от 01.01.1983 (рег. 20.08.1982) «Срок действия продлен»
№2 от 01.05.1988 (рег. 07.12.1987) «Срок действия продлен»


ГОСТ 9213-77
ГОСТ 9213-77
ГОСТ 9213-77
ГОСТ 9213-77
ГОСТ 9213-77
ГОСТ 9213-77
ГОСТ 9213-77
Автор: 
Домашняя страница автора: 

ГОСТ 9210-77

E-mail автора: 

Шкурки меховые и овчина шубная выделанные крашеные. Метод определения устойчивости окраски к трению

Обозначение: ГОСТ 9210-77
Статус: утратил силу в РФ
Название рус.: Шкурки меховые и овчина шубная выделанные крашеные. Метод определения устойчивости окраски к трению
Название англ.: Fur skins and packer pelts, dressing and coloured. Determination of colour resistance to fraction
Дата актуализации текста: 19.06.2012
Дата актуализации описания: 19.06.2012
Дата введения в действие: 01.01.1979
Область и условия применения: Настоящий стандарт распространяется на выделанные крашенные меховые шкурки и шубную овчину и устанавливает метод определения устойчивости окраски волосяного покрова и кожевой ткани к сухому и влажному трению
Взамен: ГОСТ 9210-59
Список изменений: №0 от 01.12.2009 (рег. 27.11.2008) «Поправка к изменению»
№1 от 01.11.1983 (рег. 30.05.1983) «Срок действия продлен»


ГОСТ 9210-77
ГОСТ 9210-77
ГОСТ 9210-77
ГОСТ 9210-77
Автор: 
Домашняя страница автора: 

ГОСТ 7277-77

E-mail автора: 

Бумага рисовальная. Технические условия

Обозначение: ГОСТ 7277-77
Статус: действующий
Название рус.: Бумага рисовальная. Технические условия
Название англ.: Drawing paper. Specifications
Дата актуализации текста: 19.06.2012
Дата актуализации описания: 19.06.2012
Дата введения в действие: 01.01.1979
Область и условия применения: Настоящий стандарт распространяется на рисовальную бумагу, предназначенную для массового применения и художественно-оформительских работ
Взамен: ГОСТ 7277-67
Список изменений: №1 от 01.11.1979 (рег. 05.06.1979) «Срок действия продлен»
№2 от 01.04.1983 (рег. 26.11.1982) «Срок действия продлен»
№3 от 01.07.1988 (рег. 22.12.1987) «Срок действия продлен»
№4 от 01.01.1991 (рег. 28.06.1990) «Срок действия продлен»


ГОСТ 7277-77
ГОСТ 7277-77
ГОСТ 7277-77
ГОСТ 7277-77
ГОСТ 7277-77
ГОСТ 7277-77
ГОСТ 7277-77
Автор: 
Домашняя страница автора: 

ГОСТ 6053-77

E-mail автора: 

Реактивы. Натрий сернокислый кислый. Технические условия

Обозначение: ГОСТ 6053-77
Статус: действующий
Название рус.: Реактивы. Натрий сернокислый кислый. Технические условия
Название англ.: Reagents. Sodium bisulphate. Specifications
Дата актуализации текста: 19.06.2012
Дата актуализации описания: 19.06.2012
Дата введения в действие: 01.01.1978
Область и условия применения: Настоящий стандарт распространяется на кислый сернокислый натрий, который представляет собой бесцветные, слегка гигроскопичные кристаллы, легко растворимые в воде. Водный раствор имеет сильно кислую реакцию
Взамен: ГОСТ 6053-66
Список изменений: №0 от 11.05.1987 (рег. 11.05.1987) «Срок действия продлен»
№1 от 01.01.1993 (рег. 17.06.1992) «Срок действия продлен»


ГОСТ 6053-77
ГОСТ 6053-77
ГОСТ 6053-77
ГОСТ 6053-77
ГОСТ 6053-77
ГОСТ 6053-77
ГОСТ 6053-77
ГОСТ 6053-77
ГОСТ 6053-77
ГОСТ 6053-77
ГОСТ 6053-77
ГОСТ 6053-77
ГОСТ 6053-77
ГОСТ 6053-77
Автор: 
Домашняя страница автора: 

Страницы