Наша группа Вконтакте vk.com/4ertimcom

ГОСТ 6001-10000

ГОСТ 7512-82

E-mail автора: 

Контроль неразрушающий. Соединения сварные. Радиографический метод

Обозначение: ГОСТ 7512-82
Статус: действующий
Название рус.: Контроль неразрушающий. Соединения сварные. Радиографический метод
Название англ.: Nondestructive testing. Welded joints. Radiography method
Дата актуализации текста: 19.06.2012
Дата актуализации описания: 19.06.2012
Дата введения в действие: 01.01.1984
Область и условия применения: Настоящий стандарт устанавливает метод радиографического контроля сварных соединений из металлов и их сплавов, выполненных сваркой плавлением, с толщиной свариваемых элементов от 1 до 400 мм, с применением рентгеновского, гамма- и тормозного излучений и радиографической пленки
Взамен: ГОСТ 7512-75
Список изменений: №1 от 01.01.1989 (рег. 25.03.1988) «Срок действия продлен»


ГОСТ 7512-82
ГОСТ 7512-82
ГОСТ 7512-82
ГОСТ 7512-82
ГОСТ 7512-82
ГОСТ 7512-82
ГОСТ 7512-82
ГОСТ 7512-82
ГОСТ 7512-82
ГОСТ 7512-82
ГОСТ 7512-82
ГОСТ 7512-82
ГОСТ 7512-82
ГОСТ 7512-82
ГОСТ 7512-82
ГОСТ 7512-82
ГОСТ 7512-82
ГОСТ 7512-82
ГОСТ 7512-82
Автор: 
Домашняя страница автора: 

ГОСТ 6258-85

E-mail автора: 

Нефтепродукты. Метод определения условной вязкости

Обозначение: ГОСТ 6258-85
Статус: действующий
Название рус.: Нефтепродукты. Метод определения условной вязкости
Название англ.: Petroleum products. Method for determination of assumed viscosity
Дата актуализации текста: 19.06.2012
Дата актуализации описания: 19.06.2012
Дата введения в действие: 01.01.1986
Область и условия применения: Настоящий стандарт устанавливает метод определения условной вязкости нефтепродуктов в вискозиметре типа ВУ.
Метод применяется для нефтепродуктов, дающих непрерывную струю в течение всего испытания и вязкость которых нельзя определить по ГОСТ 33
Взамен: ГОСТ 6258-52
Список изменений: №1 от 01.12.1990 (рег. 28.06.1990) «Срок действия продлен»


ГОСТ 6258-85
ГОСТ 6258-85
ГОСТ 6258-85
ГОСТ 6258-85
ГОСТ 6258-85
ГОСТ 6258-85
ГОСТ 6258-85
Автор: 
Домашняя страница автора: 

ГОСТ Р ИСО 8528-5-2005

E-mail автора: 

Электроагрегаты генераторные переменного тока с приводом от двигателя внутреннего сгорания. Часть 5. Электроагрегаты

Обозначение: ГОСТ Р ИСО 8528-5-2005
Статус: действующий
Название рус.: Электроагрегаты генераторные переменного тока с приводом от двигателя внутреннего сгорания. Часть 5. Электроагрегаты
Название англ.: Reciprocating internal combustion engine driven alternating current generating sets. Part 5. Generating sets
Дата актуализации текста: 19.06.2012
Дата актуализации описания: 19.06.2012
Дата введения в действие: 01.01.2007
Область и условия применения: Настоящий стандарт распространяется на электроагрегаты переменного тока с приводом от двигателя внутреннего сгорания, предназначенные для применения на суше и на море.
Настоящий стандарт устанавливает общие требования и методы испытаний электроагрегатов.
Настоящий стандарт не распространяется на электроагрегаты, применяемые на самолетах, наземных автотранспортных средствах и локомотивах.
При предъявлении дополнительных требований к электроагрегатам, например используемым для энергообеспечения больниц, высотных зданий и других объектов, положения настоящего стандарта являются приоритетными.
Отдельные положения настоящего стандарта могут быть использованы для электроагрегатов с другими типами первичных двигателей, например паровыми двигателями и газовыми двигателями, работающими на биогазе


ГОСТ Р ИСО 8528-5-2005
ГОСТ Р ИСО 8528-5-2005
ГОСТ Р ИСО 8528-5-2005
ГОСТ Р ИСО 8528-5-2005
ГОСТ Р ИСО 8528-5-2005
ГОСТ Р ИСО 8528-5-2005
ГОСТ Р ИСО 8528-5-2005
ГОСТ Р ИСО 8528-5-2005
ГОСТ Р ИСО 8528-5-2005
ГОСТ Р ИСО 8528-5-2005
ГОСТ Р ИСО 8528-5-2005
ГОСТ Р ИСО 8528-5-2005
ГОСТ Р ИСО 8528-5-2005
ГОСТ Р ИСО 8528-5-2005
ГОСТ Р ИСО 8528-5-2005
ГОСТ Р ИСО 8528-5-2005
ГОСТ Р ИСО 8528-5-2005
ГОСТ Р ИСО 8528-5-2005
ГОСТ Р ИСО 8528-5-2005
ГОСТ Р ИСО 8528-5-2005
ГОСТ Р ИСО 8528-5-2005
ГОСТ Р ИСО 8528-5-2005
ГОСТ Р ИСО 8528-5-2005
ГОСТ Р ИСО 8528-5-2005
ГОСТ Р ИСО 8528-5-2005
ГОСТ Р ИСО 8528-5-2005
ГОСТ Р ИСО 8528-5-2005
ГОСТ Р ИСО 8528-5-2005
Автор: 
Домашняя страница автора: 

ГОСТ 8486-86

E-mail автора: 

Пиломатериалы хвойных пород. Технические условия

Обозначение: ГОСТ 8486-86
Статус: действующий
Название рус.: Пиломатериалы хвойных пород. Технические условия
Название англ.: Coniferous sawn timber. Specifications
Дата актуализации текста: 19.06.2012
Дата актуализации описания: 19.06.2012
Дата введения в действие: 01.01.1988
Область и условия применения: Настоящий стандарт распространяется на пиломатериалы хвойных пород и устанавливает технические требования к пиломатериалам, предназначенным для использования в народном хозяйстве и экспорта.
Стандарт не распространяется на резонансные и авиационные пиломатериалы
Взамен в части: ГОСТ 8486-66, кроме разд. I в части размеров
Список изменений: №1 от 01.06.1988 (рег. 22.12.1987) «Срок действия продлен»
№2 от 01.01.1989 (рег. 29.09.1988) «Срок действия продлен»
№3 от 01.07.1990 (рег. 09.02.1990) «Срок действия продлен»


ГОСТ 8486-86
ГОСТ 8486-86
ГОСТ 8486-86
ГОСТ 8486-86
ГОСТ 8486-86
ГОСТ 8486-86
ГОСТ 8486-86
ГОСТ 8486-86
Автор: 
Домашняя страница автора: 

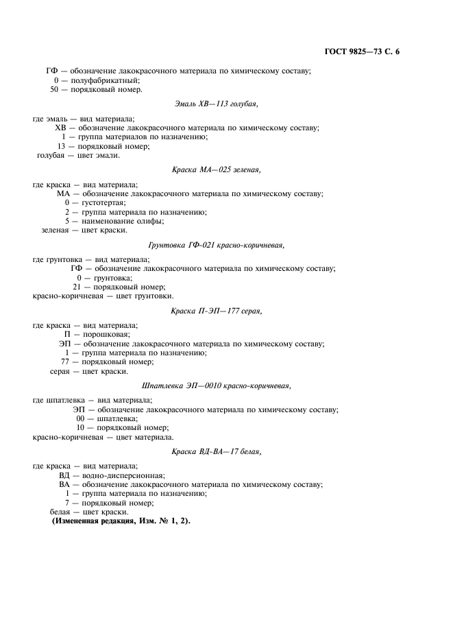
ГОСТ 9825-73

E-mail автора: 

Материалы лакокрасочные. Термины, определения и обозначения

Обозначение: ГОСТ 9825-73
Статус: действующий
Название рус.: Материалы лакокрасочные. Термины, определения и обозначения
Название англ.: Paint materials. Terms, definitions and designations
Дата актуализации текста: 19.06.2012
Дата актуализации описания: 19.06.2012
Дата введения в действие: 01.01.1974
Область и условия применения: Настоящий стандарт распространяется на основные лакокрасочные материалы и устанавливает порядок их обозначения по важнейшим признакам: вид материала; химический состав материала (род пленкообразующего вещества); преимущественное назначение (применительно к условиям эксплуатации лакокрасочных покрытий)
Взамен: ГОСТ 9825-61
Список изменений: №1 от 01.07.1979 (рег. 29.12.1978) «Срок действия продлен»
№2 от 01.01.1986 (рег. 15.05.1985) «Срок действия продлен»
№3 от 01.01.1991 (рег. 06.09.1989) «Срок действия продлен»


ГОСТ 9825-73
ГОСТ 9825-73
ГОСТ 9825-73
ГОСТ 9825-73
ГОСТ 9825-73
ГОСТ 9825-73
ГОСТ 9825-73
ГОСТ 9825-73
Автор: 
Домашняя страница автора: 

ГОСТ Р ИСО 8528-8-2005

E-mail автора: 

Электроагрегаты генераторные переменного тока с приводом от двигателя внутреннего сгорания. Часть 8. Электроагрегаты малой мощности. Технические требования и методы испытаний

Обозначение: ГОСТ Р ИСО 8528-8-2005
Статус: действующий
Название рус.: Электроагрегаты генераторные переменного тока с приводом от двигателя внутреннего сгорания. Часть 8. Электроагрегаты малой мощности. Технические требования и методы испытаний
Название англ.: Reciprocating internal combustion engine driven alternating current generating sets. Part 8. Requirements and tests for low-power generating sets
Дата актуализации текста: 19.06.2012
Дата актуализации описания: 19.06.2012
Дата введения в действие: 01.01.2007
Область и условия применения: Настоящий стандарт распространяется на генераторные электроагрегаты малой мощности с приводом от двигателя внутреннего сгорания, предназначенные для применения на суше и на море в бытовых целях, для отдыха и промышленного использования, кроме электроагрегатов для летательных аппаратов.
Настоящий стандарт устанавливает общие требования, минимальные параметры и методы испытаний для электроагрегатов одно- или многофазного переменного или постоянного тока напряжением до 500 В.
Настоящий стандарт распространяется на электроагрегаты мощностью до 10 кВт, которые характеризуются следующими условиями их использования:
- потребителями таких электроагрегатов, как правило, являются непрофессионалы;
- электроагрегаты, как правило, являются переносными или передвижными;
- подключение к выходу осуществляется при помощи вилок и розеток (кроме электроагрегатов сверхнизкого напряжения);
- электроагрегаты готовы к работе без предварительных работ по монтажу.
По соглашению между изготовителем и потребителем положения настоящего стандарта допускается использовать при проведении испытаний электроагрегатов специального применения или электроагрегатов большей мощности, если условия их использования соответствуют указанным выше


ГОСТ Р ИСО 8528-8-2005
ГОСТ Р ИСО 8528-8-2005
ГОСТ Р ИСО 8528-8-2005
ГОСТ Р ИСО 8528-8-2005
ГОСТ Р ИСО 8528-8-2005
ГОСТ Р ИСО 8528-8-2005
ГОСТ Р ИСО 8528-8-2005
ГОСТ Р ИСО 8528-8-2005
ГОСТ Р ИСО 8528-8-2005
ГОСТ Р ИСО 8528-8-2005
ГОСТ Р ИСО 8528-8-2005
ГОСТ Р ИСО 8528-8-2005
ГОСТ Р ИСО 8528-8-2005
ГОСТ Р ИСО 8528-8-2005
ГОСТ Р ИСО 8528-8-2005
ГОСТ Р ИСО 8528-8-2005
ГОСТ Р ИСО 8528-8-2005
ГОСТ Р ИСО 8528-8-2005
ГОСТ Р ИСО 8528-8-2005
ГОСТ Р ИСО 8528-8-2005
Автор: 
Домашняя страница автора: 

ГОСТ 9980.5-86

E-mail автора: 

Материалы лакокрасочные. Транспортирование и хранение

Обозначение: ГОСТ 9980.5-86
Статус: заменён
Название рус.: Материалы лакокрасочные. Транспортирование и хранение
Название англ.: Paint materials. Transportation and storage
Дата актуализации текста: 19.06.2012
Дата актуализации описания: 19.06.2012
Дата введения в действие: 01.07.1987
Область и условия применения: Настоящий стандарт распространяется на лакокрасочные материалы и устанавливает требования к их транспортированию и хранению
Заменяющий: ГОСТ 9980.5-2009
Взамен в части: ГОСТ 9980-80 в части разд. 5 и 6


ГОСТ 9980.5-86
ГОСТ 9980.5-86
ГОСТ 9980.5-86
Автор: 
Домашняя страница автора: 

ГОСТ Р ИСО 7050-93

E-mail автора: 

Винты самонарезающие с потайной головкой и крестообразным шлицем. Технические условия

Обозначение: ГОСТ Р ИСО 7050-93
Статус: действующий
Название рус.: Винты самонарезающие с потайной головкой и крестообразным шлицем. Технические условия
Название англ.: Cross recessed countersunk head tapping screws. Specifications
Дата актуализации текста: 19.06.2012
Дата актуализации описания: 19.06.2012
Дата введения в действие: 01.01.1995
Область и условия применения: Настоящий стандарт распространяется на самонарезающие винты с потайной головкой и крестообразным шлицем с резьбой от ST2,2 до ST9,5 включительно


ГОСТ Р ИСО 7050-93
ГОСТ Р ИСО 7050-93
ГОСТ Р ИСО 7050-93
ГОСТ Р ИСО 7050-93
ГОСТ Р ИСО 7050-93
ГОСТ Р ИСО 7050-93
Автор: 
Домашняя страница автора: 

ГОСТ 7470-92

E-mail автора: 

Глубиномеры микрометрические. Технические условия

Обозначение: ГОСТ 7470-92
Статус: действующий
Название рус.: Глубиномеры микрометрические. Технические условия
Название англ.: Micrometric depthometers. Specifications
Дата актуализации текста: 19.06.2012
Дата актуализации описания: 19.06.2012
Дата введения в действие: 01.01.1993
Область и условия применения: Настоящий стандарт распространяется на микрометрические глубиномеры, предназначенные для измерения глубины пазов и высоты уступов до 300 мм
Взамен: ГОСТ 7470-78


ГОСТ 7470-92
ГОСТ 7470-92
ГОСТ 7470-92
ГОСТ 7470-92
ГОСТ 7470-92
ГОСТ 7470-92
ГОСТ 7470-92
ГОСТ 7470-92
Автор: 
Домашняя страница автора: 

ГОСТ ИСО 7749-1-2004

E-mail автора: 

Оборудование сельскохозяйственное оросительное. Аппараты дождевальные вращающиеся. Часть 1. Требования к конструкции и эксплуатационным характеристикам

Обозначение: ГОСТ ИСО 7749-1-2004
Статус: действующий
Название рус.: Оборудование сельскохозяйственное оросительное. Аппараты дождевальные вращающиеся. Часть 1. Требования к конструкции и эксплуатационным характеристикам
Название англ.: Agricultural irrigation equipment. Rotating sprinklers. Part 1. Design and operational requirements
Дата актуализации текста: 19.06.2012
Дата актуализации описания: 19.06.2012
Дата введения в действие: 01.01.2008
Область и условия применения: Настоящий стандарт устанавливает требования к конструкции и эксплуатационным характеристикам вращающихся дождевальных аппаратов и насадок для сельскохозяйственного оросительного оборудования, а также к методам их испытаний. Требования распространяются на дождевальные аппараты, предназначенные для работы в поливных трубопроводах, работающих под давлением, установленным изготовителем


ГОСТ ИСО 7749-1-2004
ГОСТ ИСО 7749-1-2004
ГОСТ ИСО 7749-1-2004
ГОСТ ИСО 7749-1-2004
ГОСТ ИСО 7749-1-2004
ГОСТ ИСО 7749-1-2004
ГОСТ ИСО 7749-1-2004
ГОСТ ИСО 7749-1-2004
ГОСТ ИСО 7749-1-2004
ГОСТ ИСО 7749-1-2004
ГОСТ ИСО 7749-1-2004
ГОСТ ИСО 7749-1-2004
ГОСТ ИСО 7749-1-2004
ГОСТ ИСО 7749-1-2004
ГОСТ ИСО 7749-1-2004
ГОСТ ИСО 7749-1-2004
Автор: 
Домашняя страница автора: 

Страницы