Наша группа Вконтакте vk.com/4ertimcom

ГОСТ 25001-30000

ГОСТ 28521-90

E-mail автора: 

Инструмент режущий. Ряды диаметров хвостовиков

Обозначение: ГОСТ 28521-90
Статус: действующий
Название рус.: Инструмент режущий. Ряды диаметров хвостовиков
Название англ.: Cutting tools. Series of shank diameters
Дата актуализации текста: 19.06.2012
Дата актуализации описания: 19.06.2012
Дата введения в действие: 01.01.1991
Область и условия применения: Настоящий стандарт распространяется на режущий инструмент для обработки металлов и устанавливает ряды диаметров цилиндрических хвостовиков этого инструмента.
Настоящий стандарт не распространяется на инструмент, у которого диаметр хвостовика равняется диаметру рабочей части


ГОСТ 28521-90
ГОСТ 28521-90
ГОСТ 28521-90
ГОСТ 28521-90
Автор: 
Домашняя страница автора: 

ГОСТ 25926-90

E-mail автора: 

Источники ионизирующего излучения радионуклидные закрытые. Классы прочности и методы испытаний. Нормы степеней жесткости при климатических и механических воздействиях

Обозначение: ГОСТ 25926-90
Статус: действующий
Название рус.: Источники ионизирующего излучения радионуклидные закрытые. Классы прочности и методы испытаний. Нормы степеней жесткости при климатических и механических воздействиях
Название англ.: Radionuclide ionising radiation sealed sources. Purability classes and test methods. Norms of degrees of rigidity under climatic and mechanical influences
Дата актуализации текста: 19.06.2012
Дата актуализации описания: 19.06.2012
Дата введения в действие: 01.01.1992
Область и условия применения: Настоящий стандарт распространяется на закрытые радионуклидные источники ионизирующего излучения и устанавливает классы прочности и методы испытаний, а также нормы степеней жесткости при климатических и механических воздействиях для источников по ГОСТ 27212 и контрольных источников
Взамен: ГОСТ 19745-74 ГОСТ 25926-83
Список изменений: №1 от 01.07.2001 (рег. 21.12.2000) «Поправка»
Приложение №1: Изменение №1 к ГОСТ 25926-90


ГОСТ 25926-90
ГОСТ 25926-90
ГОСТ 25926-90
ГОСТ 25926-90
ГОСТ 25926-90
ГОСТ 25926-90
ГОСТ 25926-90
ГОСТ 25926-90
ГОСТ 25926-90
ГОСТ 25926-90
ГОСТ 25926-90
ГОСТ 25926-90
ГОСТ 25926-90
ГОСТ 25926-90
ГОСТ 25926-90
ГОСТ 25926-90
ГОСТ 25926-90
ГОСТ 25926-90
ГОСТ 25926-90
ГОСТ 25926-90
ГОСТ 25926-90


Изменение №1 к ГОСТ 25926-90

Обозначение: Изменение №1 к ГОСТ 25926-90
Дата введения в действие: 01.07.2001
Дата актуализации: 15.03.2008


Изменение №1 к ГОСТ 25926-90
Изменение №1 к ГОСТ 25926-90
Изменение №1 к ГОСТ 25926-90
Автор: 
Домашняя страница автора: 

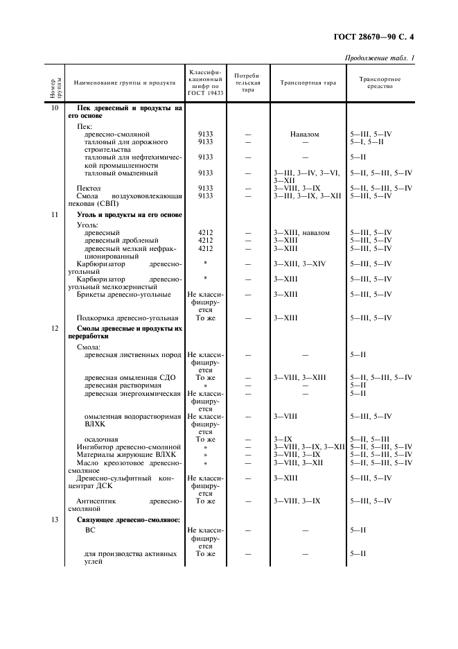
ГОСТ 28670-90

E-mail автора: 

Продукты лесохимические. Упаковка, маркировка, транспортирование и хранение

Обозначение: ГОСТ 28670-90
Статус: действующий
Название рус.: Продукты лесохимические. Упаковка, маркировка, транспортирование и хранение
Название англ.: Wood chemical products. Packing, marking, transportation and storage
Дата актуализации текста: 19.06.2012
Дата актуализации описания: 19.06.2012
Дата введения в действие: 01.01.1992
Область и условия применения: Настоящий стандарт распространяется на лесохимические продукты и устанавливает требования к упаковке, маркировке, транспортированию и хранению продуктов, изготовляемых для нужд народного хозяйства и экспорта


ГОСТ 28670-90
ГОСТ 28670-90
ГОСТ 28670-90
ГОСТ 28670-90
ГОСТ 28670-90
ГОСТ 28670-90
ГОСТ 28670-90
ГОСТ 28670-90
ГОСТ 28670-90
ГОСТ 28670-90
ГОСТ 28670-90
ГОСТ 28670-90
Автор: 
Домашняя страница автора: 

ГОСТ 28798-90

E-mail автора: 

Головки измерительные пружинные. Общие технические условия

Обозначение: ГОСТ 28798-90
Статус: действующий
Название рус.: Головки измерительные пружинные. Общие технические условия
Название англ.: Spring measuring heads. General specifications
Дата актуализации текста: 19.06.2012
Дата актуализации описания: 19.06.2012
Дата введения в действие: 01.01.1992
Область и условия применения: Настоящий стандарт распространяется на измерительные пружинные головки осевого действия.
Головки типов ИГПВ, ИГПВГ, П и ИПМ изготавливают для нужд народного хозяйства и экспорта
Взамен: ГОСТ 6933-81 ГОСТ 10593-74 ГОСТ 14712-79


ГОСТ 28798-90
ГОСТ 28798-90
ГОСТ 28798-90
ГОСТ 28798-90
ГОСТ 28798-90
ГОСТ 28798-90
ГОСТ 28798-90
Автор: 
Домашняя страница автора: 

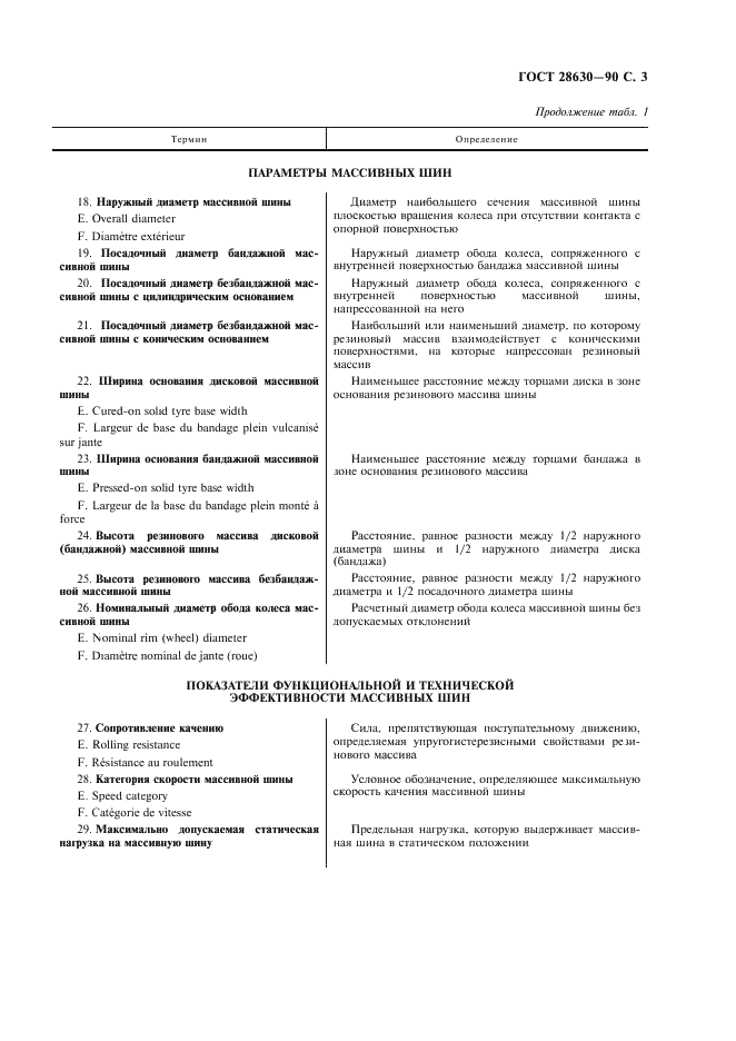
ГОСТ 28630-90

E-mail автора: 

Шины массивные. Термины и определения

Обозначение: ГОСТ 28630-90
Статус: действующий
Название рус.: Шины массивные. Термины и определения
Название англ.: Solid tyres. Terms and definitions
Дата актуализации текста: 19.06.2012
Дата актуализации описания: 19.06.2012
Дата введения в действие: 01.07.1991
Область и условия применения: Настоящий стандарт устанавливает термины и определения понятий в области конструкции массивных шин


ГОСТ 28630-90
ГОСТ 28630-90
ГОСТ 28630-90
ГОСТ 28630-90
ГОСТ 28630-90
ГОСТ 28630-90
ГОСТ 28630-90
ГОСТ 28630-90
Автор: 
Домашняя страница автора: 

ГОСТ 28620-90

E-mail автора: 

Изделия хлебобулочные сдобные. Общие технические условия

Обозначение: ГОСТ 28620-90
Статус: утратил силу в РФ
Название рус.: Изделия хлебобулочные сдобные. Общие технические условия
Название англ.: Bread buns. General specifications
Дата актуализации текста: 19.06.2012
Дата актуализации описания: 19.06.2012
Дата введения в действие: 01.07.1991
Область и условия применения: Настоящий стандарт распространяется на вновь разрабатываемые сдобные хлебобулочные изделия
Список изменений: №0 от 01.01.2008 (рег. 29.12.2005) «Поправка к изменению»
№1 от 01.03.1993 (рег. 24.09.1992) «Срок действия продлен»
№2 от 01.02.1997 (рег. 29.07.1996) «Срок действия продлен»


ГОСТ 28620-90
ГОСТ 28620-90
ГОСТ 28620-90
ГОСТ 28620-90
Автор: 
Домашняя страница автора: 

ГОСТ 28585-90

E-mail автора: 

Машины кузнечно-прессовые. Средства автоматизации и механизации. Ряды основных параметров

Обозначение: ГОСТ 28585-90
Статус: действующий
Название рус.: Машины кузнечно-прессовые. Средства автоматизации и механизации. Ряды основных параметров
Название англ.: Metal forming machines. Automation means. Rows of main parameters
Дата актуализации текста: 19.06.2012
Дата актуализации описания: 19.06.2012
Дата введения в действие: 01.01.1992
Область и условия применения: Настоящий стандарт распространяется на средства автоматизации и механизации технологических процессов обработки давлением, предназначенные для оснащения кузнечно-прессовых машин и устанавливает ряды основных параметров исходного материала или исходных заготовок (полуфабрикатов) из листового и сортового проката.
Настоящий стандарт не распространяется на промышленные роботы


ГОСТ 28585-90
ГОСТ 28585-90
ГОСТ 28585-90
ГОСТ 28585-90
Автор: 
Домашняя страница автора: 

ГОСТ 28634-90

E-mail автора: 

Машины землеройные. Приборы для эксплуатации

Обозначение: ГОСТ 28634-90
Статус: действующий
Название рус.: Машины землеройные. Приборы для эксплуатации
Название англ.: Earth-moving machinery. Operating instrumentation
Дата актуализации текста: 19.06.2012
Дата актуализации описания: 19.06.2012
Дата введения в действие: 01.01.1992
Область и условия применения: Настоящий стандарт распространяется на землеройные машины


ГОСТ 28634-90
ГОСТ 28634-90
ГОСТ 28634-90
ГОСТ 28634-90
ГОСТ 28634-90
ГОСТ 28634-90
ГОСТ 28634-90
Автор: 
Домашняя страница автора: 

ГОСТ 28851-90

E-mail автора: 

Черенки цветочных культур. Технические условия

Обозначение: ГОСТ 28851-90
Статус: действующий
Название рус.: Черенки цветочных культур. Технические условия
Название англ.: Vine of flower cultures. Specifications
Дата актуализации текста: 19.06.2012
Дата актуализации описания: 19.06.2012
Дата введения в действие: 01.01.1992
Область и условия применения: Настоящий стандарт распространяется на укорененные черенки цветочных культур, кроме гвоздики ремонтантной и хризантемы индийской, предназначенные для выращивания цветов на срез и озеленения
Взамен: ОСТ 46 146-83


ГОСТ 28851-90
ГОСТ 28851-90
ГОСТ 28851-90
ГОСТ 28851-90
ГОСТ 28851-90
ГОСТ 28851-90
Автор: 
Домашняя страница автора: 

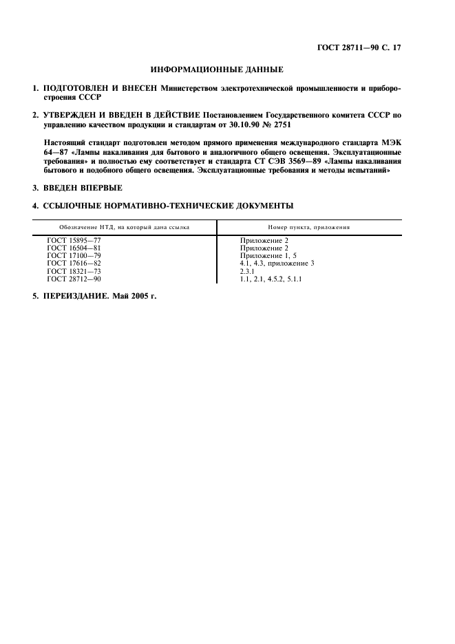
ГОСТ 28711-90

E-mail автора: 

Лампы накаливания для бытового и аналогичного общего освещения. Эксплуатационные требования

Обозначение: ГОСТ 28711-90
Статус: утратил силу в РФ
Название рус.: Лампы накаливания для бытового и аналогичного общего освещения. Эксплуатационные требования
Название англ.: Tungsten filament lamps for domestic and similar general lighting purposes. Performance requirements
Дата актуализации текста: 19.06.2012
Дата актуализации описания: 19.06.2012
Дата введения в действие: 01.01.1995
Область и условия применения: Настоящий стандарт распространяется на лампы накаливания для бытового и аналогичного общего освещения
Список изменений: №0 от 01.01.2008 (рег. 26.01.2007) «Поправка к изменению»


ГОСТ 28711-90
ГОСТ 28711-90
ГОСТ 28711-90
ГОСТ 28711-90
ГОСТ 28711-90
ГОСТ 28711-90
ГОСТ 28711-90
ГОСТ 28711-90
ГОСТ 28711-90
ГОСТ 28711-90
ГОСТ 28711-90
ГОСТ 28711-90
ГОСТ 28711-90
ГОСТ 28711-90
ГОСТ 28711-90
ГОСТ 28711-90
ГОСТ 28711-90
ГОСТ 28711-90
ГОСТ 28711-90
Автор: 
Домашняя страница автора: 

Страницы