Наша группа Вконтакте vk.com/4ertimcom

ГОСТ 2001-3000

ГОСТ 2821-75

E-mail автора: 

Стронций углекислый. Технические условия

Обозначение: ГОСТ 2821-75
Статус: действующий
Название рус.: Стронций углекислый. Технические условия
Название англ.: Strontium carbonate. Specifications
Дата актуализации текста: 19.06.2012
Дата актуализации описания: 19.06.2012
Дата введения в действие: 01.01.1976
Область и условия применения: Настоящий стандарт распространяется на углекислый стронций, предназначенный для производства стекла, используемого в электронной промышленности, хрусталя, керамики и других целей
Взамен: ГОСТ 2821-50
Список изменений: №1 от 01.10.1982 (рег. 28.05.1981) «Срок действия продлен»
№2 от 01.03.1988 (рег. 02.09.1987) «Срок действия продлен»
№3 от 01.01.1993 (рег. 20.07.1992) «Срок действия продлен»


ГОСТ 2821-75
ГОСТ 2821-75
ГОСТ 2821-75
ГОСТ 2821-75
ГОСТ 2821-75
ГОСТ 2821-75
ГОСТ 2821-75
ГОСТ 2821-75
ГОСТ 2821-75
ГОСТ 2821-75
ГОСТ 2821-75
ГОСТ 2821-75
ГОСТ 2821-75
ГОСТ 2821-75
ГОСТ 2821-75
ГОСТ 2821-75
ГОСТ 2821-75
ГОСТ 2821-75
ГОСТ 2821-75
ГОСТ 2821-75
ГОСТ 2821-75
ГОСТ 2821-75
ГОСТ 2821-75
ГОСТ 2821-75
ГОСТ 2821-75
ГОСТ 2821-75
ГОСТ 2821-75
ГОСТ 2821-75
ГОСТ 2821-75
ГОСТ 2821-75
ГОСТ 2821-75
ГОСТ 2821-75
ГОСТ 2821-75
ГОСТ 2821-75
Автор: 
Домашняя страница автора: 

ГОСТ 2936-75

E-mail автора: 

Трубки радиаторные плоскоовальные бесшовные. Технические условия

Обозначение: ГОСТ 2936-75
Статус: действующий
Название рус.: Трубки радиаторные плоскоовальные бесшовные. Технические условия
Название англ.: Plane-oval seamless radiator tubes. Specifications
Дата актуализации текста: 19.06.2012
Дата актуализации описания: 19.06.2012
Дата введения в действие: 01.01.1977
Область и условия применения: Настоящий стандарт распространяется на тянутые бесшовные плоскоовальные трубки из латуни, применяемые в автомобильной и других отраслях промышленности
Взамен: ГОСТ 2936-56
Список изменений: №1 от 01.09.1984 (рег. 30.03.1984) «Срок действия продлен»
№2 от 01.07.1991 (рег. 17.01.1991) «Срок действия продлен»


ГОСТ 2936-75
ГОСТ 2936-75
ГОСТ 2936-75
ГОСТ 2936-75
ГОСТ 2936-75
ГОСТ 2936-75
ГОСТ 2936-75
Автор: 
Домашняя страница автора: 

ГОСТ 2397-75

E-mail автора: 

Корень одуванчика

Обозначение: ГОСТ 2397-75
Статус: действующий
Название рус.: Корень одуванчика
Название англ.: Taraxacum root
Дата актуализации текста: 19.06.2012
Дата актуализации описания: 19.06.2012
Дата введения в действие: 01.07.1977
Область и условия применения: Настоящий стандарт распространяется на высушенные корни дикорастущего многолетнего травянистого растения одуванчика лекарственного - Taraxacum officinale s. L., семейства астровых (сложноцветных) Asteraceae (syn. Compositae), предназначенные для использования в качестве лекарственного сырья
Взамен: ГОСТ 2397-44
Список изменений: №0 от 27.03.1987 (рег. 27.03.1987) «Срок действия продлен»
№0 от 27.06.1988 (рег. 27.06.1988) «Срок действия продлен»


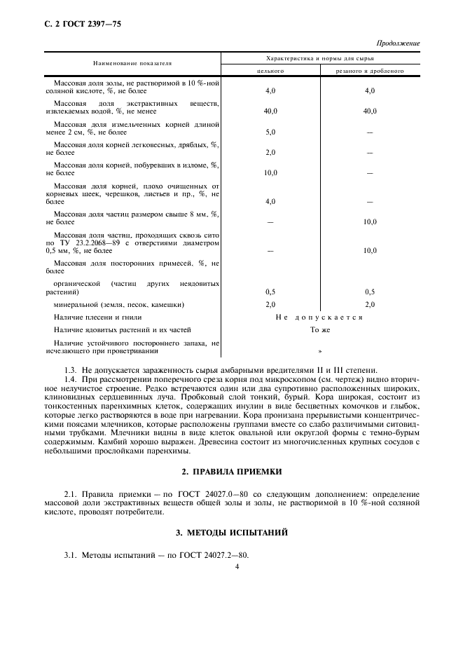
ГОСТ 2397-75
ГОСТ 2397-75
ГОСТ 2397-75
ГОСТ 2397-75
ГОСТ 2397-75
ГОСТ 2397-75
Автор: 
Домашняя страница автора: 

ГОСТ 2493-75

E-mail автора: 

Реактивы. Калий фосфорнокислый двузамещенный 3-водный. Технические условия

Обозначение: ГОСТ 2493-75
Статус: действующий
Название рус.: Реактивы. Калий фосфорнокислый двузамещенный 3-водный. Технические условия
Название англ.: Reagents. Potassium phosphate, dibasic 3-aqueous. Specifications
Дата актуализации текста: 19.06.2012
Дата актуализации описания: 19.06.2012
Дата введения в действие: 01.07.1976
Область и условия применения: Настоящий стандарт распространяется на 3-водный двузамещенный фосфорнокислый калий, представляющий собой кристаллический порошок или кристаллы белого цвета; хорошо растворим в воде; сильно гигроскопичен
Взамен: ГОСТ 2493-65
Список изменений: №1 от 01.06.1981 (рег. 13.02.1981) «Срок действия продлен»
№2 от 01.01.1986 (рег. 24.07.1985) «Срок действия продлен»


ГОСТ 2493-75
ГОСТ 2493-75
ГОСТ 2493-75
ГОСТ 2493-75
ГОСТ 2493-75
ГОСТ 2493-75
ГОСТ 2493-75
Автор: 
Домашняя страница автора: 

ГОСТ 2290-76

E-mail автора: 

Бальзам пихтовый. Технические условия

Обозначение: ГОСТ 2290-76
Статус: действующий
Название рус.: Бальзам пихтовый. Технические условия
Название англ.: Fim balsam. Specifications
Дата актуализации текста: 19.06.2012
Дата актуализации описания: 19.06.2012
Дата введения в действие: 01.07.1977
Область и условия применения: Настоящий стандарт распространяется на пихтовый бальзам, получаемый из пихтовой живицы
Взамен: ГОСТ 2290-43
Список изменений: №1 от 01.01.1983 (рег. 30.07.1982) «Срок действия продлен»
№2 от 01.09.1987 (рег. 31.03.1987) «Срок действия продлен»


ГОСТ 2290-76
ГОСТ 2290-76
ГОСТ 2290-76
ГОСТ 2290-76
ГОСТ 2290-76
ГОСТ 2290-76
ГОСТ 2290-76
ГОСТ 2290-76
Автор: 
Домашняя страница автора: 

ГОСТ 2154-77

E-mail автора: 

Централит II. Технические условия

Обозначение: ГОСТ 2154-77
Статус: действующий
Название рус.: Централит II. Технические условия
Название англ.: Centralite II. Specifications
Дата актуализации текста: 19.06.2012
Дата актуализации описания: 19.06.2012
Дата введения в действие: 01.01.1978
Область и условия применения: Настоящий стандарт распространяется на централит II (диметилдифенилкарбамид)
Взамен: ГОСТ 2154-53
Список изменений: №1 от 01.07.1983 (рег. 28.02.1983) «Срок действия продлен»
№2 от 01.01.1988 (рег. 14.07.1987) «Срок действия продлен»
№3 от 01.01.1993 (рег. 18.06.1992) «Срок действия продлен»


ГОСТ 2154-77
ГОСТ 2154-77
ГОСТ 2154-77
ГОСТ 2154-77
ГОСТ 2154-77
ГОСТ 2154-77
ГОСТ 2154-77
ГОСТ 2154-77
ГОСТ 2154-77
ГОСТ 2154-77
ГОСТ 2154-77
ГОСТ 2154-77
Автор: 
Домашняя страница автора: 

ГОСТ 2604.6-77

E-mail автора: 

Чугун легированный. Методы определения содержания хрома

Обозначение: ГОСТ 2604.6-77
Статус: действующий
Название рус.: Чугун легированный. Методы определения содержания хрома
Название англ.: Alloy cast iron. Methods for determination of chromium content
Дата актуализации текста: 19.06.2012
Дата актуализации описания: 19.06.2012
Дата введения в действие: 01.01.1978
Область и условия применения: Настоящий стандарт распространяется на легированные чугуны и устанавливает фотометрический метод определения хрома (от 0,01 до 0,5%) и титриметрический метод определения хрома (от 0,5 до 35,0%)
Взамен в части: ГОСТ 2604-44 в части разд. V
Список изменений: №0 от 05.06.1987 (рег. 05.06.1987) «Срок действия продлен»
№1 от 01.06.1983 (рег. 16.12.1982) «Срок действия продлен»


ГОСТ 2604.6-77
Автор: 
Домашняя страница автора: 

ГОСТ 2056-77

E-mail автора: 

Кровать армейская разборная. Технические условия

Обозначение: ГОСТ 2056-77
Статус: действующий
Название рус.: Кровать армейская разборная. Технические условия
Название англ.: Sectional bed for military men. Specifications
Дата актуализации текста: 19.06.2012
Дата актуализации описания: 19.06.2012
Дата введения в действие: 01.01.1979
Область и условия применения: Настоящий стандарт распространяется на армейскую разборную кровать, предназначенную для размещения военнослужащих в стационарных и временных помещениях, а также в грузовых крытых железнодорожных вагонах
Взамен: ГОСТ 2056-54
Список изменений: №1 от 01.01.1984 (рег. 17.06.1983) «Срок действия продлен»
№2 от 01.07.1985 (рег. 14.01.1985) «Срок действия продлен»
№3 от 01.04.1990 (рег. 18.09.1989) «Срок действия продлен»


ГОСТ 2056-77
ГОСТ 2056-77
ГОСТ 2056-77
ГОСТ 2056-77
ГОСТ 2056-77
ГОСТ 2056-77
ГОСТ 2056-77
Автор: 
Домашняя страница автора: 

ГОСТ 2624-77

E-mail автора: 

Трубки медные и латунные капиллярные. Технические условия

Обозначение: ГОСТ 2624-77
Статус: действующий
Название рус.: Трубки медные и латунные капиллярные. Технические условия
Название англ.: Capillary copper and brass tubes. Specifications
Дата актуализации текста: 19.06.2012
Дата актуализации описания: 19.06.2012
Дата введения в действие: 01.01.1978
Область и условия применения: Настоящий стандарт распространяется на капиллярные трубки круглого сечения из меди и латуни, применяемые в аппарато- и приборостроении и холодильной технике
Взамен: ГОСТ 2624-67 ГОСТ 5.1196-72
Список изменений: №1 от 01.02.1983 (рег. 12.08.1982) «Срок действия продлен»
№2 от 01.01.1985 (рег. 17.05.1984) «Срок действия продлен»
№3 от 01.08.1987 (рег. 09.02.1987) «Срок действия продлен»
№4 от 01.01.1992 (рег. 13.12.1990) «Срок действия продлен»
№5 от 01.10.1992 (рег. 15.04.1992) «Срок действия продлен»


ГОСТ 2624-77
ГОСТ 2624-77
ГОСТ 2624-77
ГОСТ 2624-77
ГОСТ 2624-77
ГОСТ 2624-77
ГОСТ 2624-77
ГОСТ 2624-77
ГОСТ 2624-77
ГОСТ 2624-77
ГОСТ 2624-77
ГОСТ 2624-77
ГОСТ 2624-77
ГОСТ 2624-77
ГОСТ 2624-77
ГОСТ 2624-77
Автор: 
Домашняя страница автора: 

ГОСТ 2604.10-77

E-mail автора: 

Чугун легированный. Метод определения титана

Обозначение: ГОСТ 2604.10-77
Статус: действующий
Название рус.: Чугун легированный. Метод определения титана
Название англ.: Alloy cast iron. Method for determination of titanium
Дата актуализации текста: 19.06.2012
Дата актуализации описания: 19.06.2012
Дата введения в действие: 01.01.1978
Область и условия применения: Настоящий стандарт устанавливает фотометрический метод определения титана (при массовой доле от 0,01 до 1,5%) в легированном чугуне.
Метод основан на образовании окрашенного в желто-оранжевый цвет комплексного соединения титана с диантипирилметаном в соляной кислоте. Реакция протекает при молярной концентрации эквивалента 1 - 4 моль/куб.дм.
Мешающее влияние железа (III) и ванадия (V) устраняют прибавлением аскорбиновой кислоты
Взамен в части: ГОСТ 2604-44 в части разд. XI
Список изменений: №0 от 05.06.1987 (рег. 05.06.1987) «Срок действия продлен»
№1 от 01.06.1983 (рег. 16.12.1982) «Срок действия продлен»
№2 от 01.10.1985 (рег. 11.04.1985) «Срок действия продлен»


ГОСТ 2604.10-77
ГОСТ 2604.10-77
ГОСТ 2604.10-77
Автор: 
Домашняя страница автора: 

Страницы