Наша группа Вконтакте vk.com/4ertimcom

ГОСТ 2001-3000

ГОСТ 2287-88

E-mail автора: 

Гребенки резьбонарезные плоские. Технические условия

Обозначение: ГОСТ 2287-88
Статус: действующий
Название рус.: Гребенки резьбонарезные плоские. Технические условия
Название англ.: Flat thread chasers. Specifications
Дата актуализации текста: 19.06.2012
Дата актуализации описания: 19.06.2012
Дата введения в действие: 01.01.1990
Область и условия применения: Настоящий стандарт распространяется на плоские гребенки в комплекте из 4 штук с вышлифованным профилем, предназначенные для нарезания метрической резьбы, трубной цилиндрической резьбы и дюймовой резьбы
Взамен: ГОСТ 2287-61


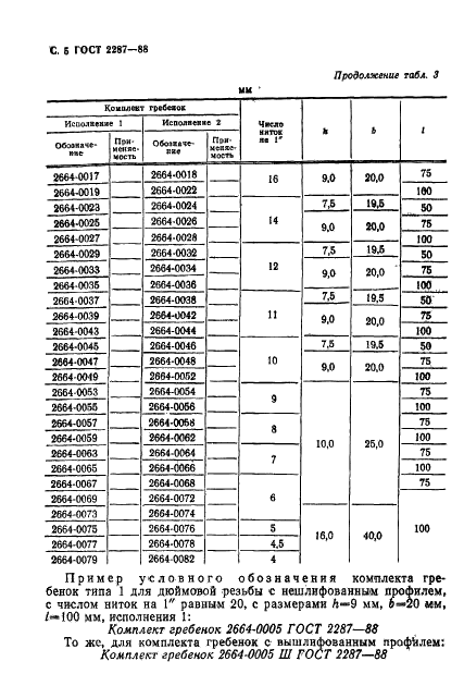
ГОСТ 2287-88
ГОСТ 2287-88
ГОСТ 2287-88
ГОСТ 2287-88
ГОСТ 2287-88
ГОСТ 2287-88
ГОСТ 2287-88
ГОСТ 2287-88
ГОСТ 2287-88
ГОСТ 2287-88
ГОСТ 2287-88
ГОСТ 2287-88
ГОСТ 2287-88
ГОСТ 2287-88
ГОСТ 2287-88
ГОСТ 2287-88
ГОСТ 2287-88
ГОСТ 2287-88
ГОСТ 2287-88
ГОСТ 2287-88
Автор: 
Домашняя страница автора: 

ГОСТ 2879-88

E-mail автора: 

Прокат стальной горячекатаный шестигранный. Сортамент

Обозначение: ГОСТ 2879-88
Статус: заменён
Название рус.: Прокат стальной горячекатаный шестигранный. Сортамент
Название англ.: Hot-rolled hexagonal steel. Dimensions
Дата актуализации текста: 19.06.2012
Дата актуализации описания: 19.06.2012
Дата введения в действие: 01.01.1990
Область и условия применения: Настоящий стандарт распространяется на прокат стальной горячекатаный шестигранного сечения диаметром вписанного круга а от 8 до 100 мм
Взамен: ГОСТ 2879-69
Заменяющий: ГОСТ 2879-2006


ГОСТ 2879-88
ГОСТ 2879-88
ГОСТ 2879-88
Автор: 
Домашняя страница автора: 

ГОСТ 2567-89

E-mail автора: 

Кислота фтористоводородная техническая. Технические условия

Обозначение: ГОСТ 2567-89
Статус: действующий
Название рус.: Кислота фтористоводородная техническая. Технические условия
Название англ.: Technical hydrofluoric acid. Specifications
Дата актуализации текста: 19.06.2012
Дата актуализации описания: 19.06.2012
Дата введения в действие: 01.07.1990
Область и условия применения: Настоящий стандарт распространяется на техническую фтористоводородную кислоту, получаемую растворением в воде газообразного фтористого водорода, который образуется при взаимодействии плавикового шпата и серной кислоты, а также при термическом разложении бифторида аммония серной кислотой
Взамен: ГОСТ 2567-73


ГОСТ 2567-89
ГОСТ 2567-89
ГОСТ 2567-89
ГОСТ 2567-89
ГОСТ 2567-89
ГОСТ 2567-89
ГОСТ 2567-89
ГОСТ 2567-89
ГОСТ 2567-89
ГОСТ 2567-89
ГОСТ 2567-89
ГОСТ 2567-89
ГОСТ 2567-89
ГОСТ 2567-89
ГОСТ 2567-89
ГОСТ 2567-89
Автор: 
Домашняя страница автора: 

ГОСТ 2802-89

E-mail автора: 

Плоды можжевельника обыкновенного. Технические условия

Обозначение: ГОСТ 2802-89
Статус: действующий
Название рус.: Плоды можжевельника обыкновенного. Технические условия
Название англ.: Fructus common juniper. Specifications
Дата актуализации текста: 19.06.2012
Дата актуализации описания: 19.06.2012
Дата введения в действие: 01.01.1990
Область и условия применения: Настоящий стандарт распространяется на высушенные зрелые плоды (шишко-ягоды) дикорастущего кустарника можжевельника обыкновенного - Juniperus Communis L, семейства кипарисовых Cupressaceae, предназначенные для использования в качестве лекарственного сырья и в пищевой промышленности
Взамен: ГОСТ 2802-69


ГОСТ 2802-89
ГОСТ 2802-89
ГОСТ 2802-89
Автор: 
Домашняя страница автора: 

ГОСТ 2327-89

E-mail автора: 

Выключатели, выключатели-разъединители, переключатели и переключатели-разъединители врубные низковольтные. Общие технические условия

Обозначение: ГОСТ 2327-89
Статус: действующий
Название рус.: Выключатели, выключатели-разъединители, переключатели и переключатели-разъединители врубные низковольтные. Общие технические условия
Название англ.: Low-voltage switches, switch-disconnectors. General technical specifications
Дата актуализации текста: 19.06.2012
Дата актуализации описания: 19.06.2012
Дата введения в действие: 01.01.1991
Область и условия применения: Настоящий стандарт распространяется на выключатели, выключатели-разъединители, переключатели-разъединители врубные низковольтные на номинальные токи от 15 до 150000 А, предназначенные для нечастых (до трех в час) неавтоматических коммутаций электрических цепей напряжением до 1000 В переменного и до 12000 В постоянного тока. Стандарт устанавливает требования к аппаратам, изготовляемым для нужд народного хозяйства и экспорта. Виды климатических исполнений аппаратов У3, Т3, УХЛ3, УХЛ4 по ГОСТ 15150. Стандарт не распространяется на аппараты специального назначения и аппараты, предназначенные для применения на передвижных средствах наземного, водного и воздушного транспорта
Взамен: ГОСТ 2327-76
Заменяющий в части: ГОСТ 30011.3-93 в части требований к аппаратам народнохозяйственного назначения и для экспорта


ГОСТ 2327-89
ГОСТ 2327-89
ГОСТ 2327-89
ГОСТ 2327-89
ГОСТ 2327-89
ГОСТ 2327-89
ГОСТ 2327-89
ГОСТ 2327-89
ГОСТ 2327-89
ГОСТ 2327-89
ГОСТ 2327-89
ГОСТ 2327-89
ГОСТ 2327-89
ГОСТ 2327-89
ГОСТ 2327-89
ГОСТ 2327-89
ГОСТ 2327-89
ГОСТ 2327-89
ГОСТ 2327-89
ГОСТ 2327-89
ГОСТ 2327-89
ГОСТ 2327-89
ГОСТ 2327-89
ГОСТ 2327-89
ГОСТ 2327-89
ГОСТ 2327-89
ГОСТ 2327-89
Автор: 
Домашняя страница автора: 

ГОСТ 2132-90

E-mail автора: 

Аноды никелевые. Технические условия

Обозначение: ГОСТ 2132-90
Статус: действующий
Название рус.: Аноды никелевые. Технические условия
Название англ.: Nicel anodes. Specifications
Дата актуализации текста: 19.06.2012
Дата актуализации описания: 19.06.2012
Дата введения в действие: 01.01.1992
Область и условия применения: Настоящий стандарт распространяется на никелевые горячекатаные аноды, применяемые для никелирования
Взамен: ГОСТ 2132-75


ГОСТ 2132-90
ГОСТ 2132-90
ГОСТ 2132-90
ГОСТ 2132-90
ГОСТ 2132-90
ГОСТ 2132-90
ГОСТ 2132-90
ГОСТ 2132-90
ГОСТ 2132-90
ГОСТ 2132-90
ГОСТ 2132-90
ГОСТ 2132-90
Автор: 
Домашняя страница автора: 

ГОСТ 2746-90

E-mail автора: 

Патроны резьбовые для электрических ламп. Общие технические условия

Обозначение: ГОСТ 2746-90
Статус: действующий
Название рус.: Патроны резьбовые для электрических ламп. Общие технические условия
Название англ.: Screw holders for electric lamps. General specifications
Дата актуализации текста: 19.06.2012
Дата актуализации описания: 19.06.2012
Дата введения в действие: 01.01.1993
Область и условия применения: Настоящий стандарт распространяется на патроны с резьбой Эдисона Е14, Е27 и Е40, предназначенные для фиксации и присоединения электрических ламп и ламп-светильников к электрической сети.
Стандарт распространяется на патроны с выключателем, предназначенные для присоединения только к сети переменного тока напряжением не более 250 В.
Стандарт распространяется также на патроны с резьбой Эдисона Е10 для внутренней и наружной установки, предназначенные для присоединения к электрической сети последовательно соединенных ламп, нормированное напряжение на каждой из которых не более 60 В.
Стандарт распространяется также на патроны для свечеобразных ламп.
Стандарт не распространяется на патроны типа Е26 d для ламп с двумя телами накала
Взамен в части: ГОСТ 361-85 в части требований к резьбовым патронам


ГОСТ 2746-90
ГОСТ 2746-90
ГОСТ 2746-90
ГОСТ 2746-90
ГОСТ 2746-90
ГОСТ 2746-90
ГОСТ 2746-90
ГОСТ 2746-90
ГОСТ 2746-90
ГОСТ 2746-90
ГОСТ 2746-90
ГОСТ 2746-90
ГОСТ 2746-90
ГОСТ 2746-90
ГОСТ 2746-90
ГОСТ 2746-90
ГОСТ 2746-90
ГОСТ 2746-90
ГОСТ 2746-90
ГОСТ 2746-90
ГОСТ 2746-90
ГОСТ 2746-90
ГОСТ 2746-90
ГОСТ 2746-90
ГОСТ 2746-90
ГОСТ 2746-90
ГОСТ 2746-90
ГОСТ 2746-90
ГОСТ 2746-90
ГОСТ 2746-90
ГОСТ 2746-90
ГОСТ 2746-90
ГОСТ 2746-90
ГОСТ 2746-90
ГОСТ 2746-90
ГОСТ 2746-90
ГОСТ 2746-90
ГОСТ 2746-90
ГОСТ 2746-90
ГОСТ 2746-90
ГОСТ 2746-90
ГОСТ 2746-90
ГОСТ 2746-90
ГОСТ 2746-90
ГОСТ 2746-90
ГОСТ 2746-90
ГОСТ 2746-90
ГОСТ 2746-90
ГОСТ 2746-90
ГОСТ 2746-90
ГОСТ 2746-90
ГОСТ 2746-90
ГОСТ 2746-90
ГОСТ 2746-90
ГОСТ 2746-90
ГОСТ 2746-90
ГОСТ 2746-90
ГОСТ 2746-90
ГОСТ 2746-90
ГОСТ 2746-90
ГОСТ 2746-90
ГОСТ 2746-90
ГОСТ 2746-90
ГОСТ 2746-90
ГОСТ 2746-90
ГОСТ 2746-90
ГОСТ 2746-90
ГОСТ 2746-90
ГОСТ 2746-90
ГОСТ 2746-90
ГОСТ 2746-90
ГОСТ 2746-90
ГОСТ 2746-90
ГОСТ 2746-90
ГОСТ 2746-90
ГОСТ 2746-90
ГОСТ 2746-90
ГОСТ 2746-90
ГОСТ 2746-90
ГОСТ 2746-90
ГОСТ 2746-90
ГОСТ 2746-90
ГОСТ 2746-90
ГОСТ 2746-90
ГОСТ 2746-90
ГОСТ 2746-90
ГОСТ 2746-90
ГОСТ 2746-90
ГОСТ 2746-90
ГОСТ 2746-90
ГОСТ 2746-90
ГОСТ 2746-90
ГОСТ 2746-90
ГОСТ 2746-90
ГОСТ 2746-90
ГОСТ 2746-90
ГОСТ 2746-90
ГОСТ 2746-90
ГОСТ 2746-90
ГОСТ 2746-90
ГОСТ 2746-90
ГОСТ 2746-90
ГОСТ 2746-90
ГОСТ 2746-90
ГОСТ 2746-90
ГОСТ 2746-90
ГОСТ 2746-90
ГОСТ 2746-90
ГОСТ 2746-90
ГОСТ 2746-90
ГОСТ 2746-90
ГОСТ 2746-90
ГОСТ 2746-90
ГОСТ 2746-90
ГОСТ 2746-90
ГОСТ 2746-90
ГОСТ 2746-90
ГОСТ 2746-90
ГОСТ 2746-90
ГОСТ 2746-90
ГОСТ 2746-90
ГОСТ 2746-90
ГОСТ 2746-90
ГОСТ 2746-90
ГОСТ 2746-90
ГОСТ 2746-90
ГОСТ 2746-90
ГОСТ 2746-90
ГОСТ 2746-90
ГОСТ 2746-90
ГОСТ 2746-90
ГОСТ 2746-90
ГОСТ 2746-90
ГОСТ 2746-90
ГОСТ 2746-90
ГОСТ 2746-90
ГОСТ 2746-90
ГОСТ 2746-90
ГОСТ 2746-90
Автор: 
Домашняя страница автора: 

ГОСТ 2782-90

E-mail автора: 

Ленты технические специальные. Технические условия

Обозначение: ГОСТ 2782-90
Статус: действующий
Название рус.: Ленты технические специальные. Технические условия
Название англ.: Technical special ribbon. Specifications
Дата актуализации текста: 19.06.2012
Дата актуализации описания: 19.06.2012
Дата введения в действие: 01.01.1992
Область и условия применения: Настоящий стандарт распространяется на технические специальные ленты, вырабатываемые на челночных лентоткацких станках
Взамен: ГОСТ 2782-77


ГОСТ 2782-90
ГОСТ 2782-90
ГОСТ 2782-90
ГОСТ 2782-90
ГОСТ 2782-90
ГОСТ 2782-90
ГОСТ 2782-90
ГОСТ 2782-90
ГОСТ 2782-90
ГОСТ 2782-90
ГОСТ 2782-90
Автор: 
Домашняя страница автора: 

ГОСТ 2171-90

E-mail автора: 

Детали, изделия, полуфабрикаты и заготовки из цветных металлов и сплавов. Обозначение марки

Обозначение: ГОСТ 2171-90
Статус: действующий
Название рус.: Детали, изделия, полуфабрикаты и заготовки из цветных металлов и сплавов. Обозначение марки
Название англ.: Pieces, products, semi-finished products and billets of non-ferrous metals and alloys. Grade designation
Дата актуализации текста: 19.06.2012
Дата актуализации описания: 19.06.2012
Дата введения в действие: 01.07.1991
Область и условия применения: Настоящий стандарт распространяется на детали, изделия, полуфабрикаты и заготовки из цветных металлов и сплавов и устанавливает требования к нанесению обозначения марки материала, из которого они изготавливаются, с целью упрощения процесса сортировки отслуживших свой срок службы деталей и изделий или бракованных деталей, изделий, полуфабрикатов и заготовок из цветных металлов и сплавов по ГОСТ 1639 и дальнейшей их технологической переработки
Взамен: ГОСТ 2171-79


ГОСТ 2171-90
ГОСТ 2171-90
ГОСТ 2171-90
ГОСТ 2171-90
ГОСТ 2171-90
ГОСТ 2171-90
ГОСТ 2171-90
ГОСТ 2171-90
ГОСТ 2171-90
ГОСТ 2171-90
Автор: 
Домашняя страница автора: 

ГОСТ 2021-90

E-mail автора: 

Горловины судовые стальные. Технические условия

Обозначение: ГОСТ 2021-90
Статус: действующий
Название рус.: Горловины судовые стальные. Технические условия
Название англ.: Ship's steel manholes. Specifications
Дата актуализации текста: 19.06.2012
Дата актуализации описания: 19.06.2012
Дата введения в действие: 01.01.1991
Область и условия применения: Настоящий стандарт распространяется на овальные судовые стальные горловины, предназначенные для установки на кораблях, судах и плавсредствах.
Стандарт не распространяется на горловины, устанавливаемые на судах с динамическими принципами поддержания
Взамен: ГОСТ 2021-79


ГОСТ 2021-90
ГОСТ 2021-90
ГОСТ 2021-90
ГОСТ 2021-90
ГОСТ 2021-90
ГОСТ 2021-90
ГОСТ 2021-90
ГОСТ 2021-90
ГОСТ 2021-90
ГОСТ 2021-90
ГОСТ 2021-90
ГОСТ 2021-90
ГОСТ 2021-90
ГОСТ 2021-90
Автор: 
Домашняя страница автора: 

Страницы