Наша группа Вконтакте vk.com/4ertimcom

ГОСТ 6001-10000

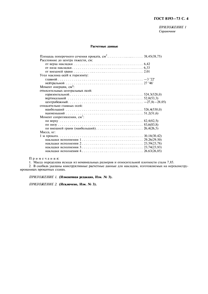
ГОСТ 8193-73

E-mail автора: 

Накладки двухголовые к рельсам типов Р65 и Р75. Конструкция и размеры

Обозначение: ГОСТ 8193-73
Статус: действующий
Название рус.: Накладки двухголовые к рельсам типов Р65 и Р75. Конструкция и размеры
Название англ.: Double headed fishplates for Р65, Р75 rails. Design and dimensions
Дата актуализации текста: 19.06.2012
Дата актуализации описания: 19.06.2012
Дата введения в действие: 01.01.1975
Область и условия применения: Настоящий стандарт распространяется на стыковые двухголовые накладки к железнодорожным рельсам типов Р65 и Р75
Взамен: ГОСТ 8193-56
Список изменений: №1 от 01.04.1980 (рег. 14.11.1979) «Срок действия продлен»
№2 от 01.07.1981 (рег. 15.04.1981) «Срок действия продлен»
№3 от 01.07.1990 (рег. 22.12.1989) «Срок действия продлен»


ГОСТ 8193-73
ГОСТ 8193-73
ГОСТ 8193-73
ГОСТ 8193-73
ГОСТ 8193-73
ГОСТ 8193-73
Автор: 
Домашняя страница автора: 

ГОСТ 6611.2-73

E-mail автора: 

Нити текстильные. Методы определения разрывной нагрузки и удлинения при разрыве

Обозначение: ГОСТ 6611.2-73
Статус: действующий
Название рус.: Нити текстильные. Методы определения разрывной нагрузки и удлинения при разрыве
Название англ.: Textile threads. Methods for determination of breaking load and elongation at rupture
Дата актуализации текста: 19.06.2012
Дата актуализации описания: 19.06.2012
Дата введения в действие: 01.01.1976
Область и условия применения: Настоящий стандарт распространяется на пряжу (одиночную и крученую) из натуральных, химических волокон и смешанную и нити (мононити, комплексные, крученые комплексные, крученые комбинированные) натуральные, химические и неоднородные и устанавливает методы определения разрывной нагрузки, удлинения при разрыве нитей и подсчет удельной разрывной нагрузки нитей.
Стандарт не распространяется на асбестовую пряжу, стеклянные, металлические, текстурированные нити, а также химические нити, удлиняющиеся более чем на 1% при повышении предварительного удельного натяжения с 20 до 30 мН/текс
Взамен: ГОСТ 6611.3-69
Список изменений: №1 от 01.03.1981 (рег. 17.11.1980) «Срок действия продлен»
№2 от 01.07.1985 (рег. 26.04.1984) «Срок действия продлен»
№3 от 01.02.1986 (рег. 27.09.1985) «Срок действия продлен»
№4 от 01.03.1991 (рег. 26.09.1990) «Срок действия продлен»
№5 от 01.10.1992 (рег. 04.06.1992) «Срок действия продлен»


ГОСТ 6611.2-73
ГОСТ 6611.2-73
ГОСТ 6611.2-73
ГОСТ 6611.2-73
ГОСТ 6611.2-73
ГОСТ 6611.2-73
ГОСТ 6611.2-73
ГОСТ 6611.2-73
ГОСТ 6611.2-73
ГОСТ 6611.2-73
ГОСТ 6611.2-73
ГОСТ 6611.2-73
ГОСТ 6611.2-73
ГОСТ 6611.2-73
ГОСТ 6611.2-73
ГОСТ 6611.2-73
ГОСТ 6611.2-73
ГОСТ 6611.2-73
ГОСТ 6611.2-73
ГОСТ 6611.2-73
ГОСТ 6611.2-73
ГОСТ 6611.2-73
ГОСТ 6611.2-73
ГОСТ 6611.2-73
ГОСТ 6611.2-73
ГОСТ 6611.2-73
ГОСТ 6611.2-73
ГОСТ 6611.2-73
ГОСТ 6611.2-73
ГОСТ 6611.2-73
ГОСТ 6611.2-73
ГОСТ 6611.2-73
ГОСТ 6611.2-73
ГОСТ 6611.2-73
ГОСТ 6611.2-73
ГОСТ 6611.2-73
Автор: 
Домашняя страница автора: 

ГОСТ 7675-73

E-mail автора: 

Канаты стальные. Канат закрытый несущий с одним слоем клиновидной и одним слоем зетобразной проволоки и сердечником типа ТК. Сортамент

Обозначение: ГОСТ 7675-73
Статус: действующий
Название рус.: Канаты стальные. Канат закрытый несущий с одним слоем клиновидной и одним слоем зетобразной проволоки и сердечником типа ТК. Сортамент
Название англ.: Steel wire ropes. Locked conveying wire rope with one layer of V-shaped wire, one layer of Z-wire and type ТК cope. Dimensions
Дата актуализации текста: 19.06.2012
Дата актуализации описания: 19.06.2012
Дата введения в действие: 01.01.1975
Область и условия применения: Настоящий стандарт распространяется на стальные закрытые несущие канаты с одним слоем клиновидной и одним слоем зетобразной проволоки и сердечниками из круглых проволок с точечным касанием типа ТК конструкции 1+6+12 и 1+6+12+18
Взамен: ГОСТ 7675-55
Список изменений: №1 от 01.09.1985 (рег. 25.03.1985) «Срок действия продлен»
№2 от 01.07.1990 (рег. 19.12.1989) «Срок действия продлен»


ГОСТ 7675-73
ГОСТ 7675-73
ГОСТ 7675-73
Автор: 
Домашняя страница автора: 

ГОСТ 6286-73

E-mail автора: 

Рукава резиновые высокого давления с металлическими оплетками неармированные. Технические условия

Обозначение: ГОСТ 6286-73
Статус: действующий
Название рус.: Рукава резиновые высокого давления с металлическими оплетками неармированные. Технические условия
Название англ.: High-pressure rubber hoses with metal braids without fittings. Specifications
Дата актуализации текста: 19.06.2012
Дата актуализации описания: 19.06.2012
Дата введения в действие: 01.07.1974
Область и условия применения: Настоящий стандарт распространяется на рукава высокого давления оплеточной конструкции с металлическими оплетками, применяемые в качестве гибких трубопроводов для подачи под высоким давлением жидкостей, работоспособные в районах умеренного и тропического климатов при температуре окружающего воздуха от минус 50 до плюс 70 град. С, а также в районах с холодным климатом при температуре от минус 60 до плюс 70 град. С
Взамен: ГОСТ 6286-60
Список изменений: №1 от 01.09.1976 (рег. 04.08.1976) «Срок действия продлен»
№2 от 01.06.1979 (рег. 27.03.1979) «Срок действия продлен»
№3 от 01.01.1982 (рег. 11.09.1981) «Срок действия продлен»
№4 от 01.04.1986 (рег. 25.09.1985) «Срок действия продлен»
№5 от 01.07.1988 (рег. 22.02.1988) «Срок действия продлен»
№6 от 01.01.1989 (рег. 28.06.1988) «Срок действия продлен»
№7 от 01.01.1995 (рег. 21.10.1994) «Срок действия продлен»


ГОСТ 6286-73
ГОСТ 6286-73
ГОСТ 6286-73
ГОСТ 6286-73
ГОСТ 6286-73
ГОСТ 6286-73
ГОСТ 6286-73
ГОСТ 6286-73
ГОСТ 6286-73
ГОСТ 6286-73
ГОСТ 6286-73
ГОСТ 6286-73
ГОСТ 6286-73
ГОСТ 6286-73
ГОСТ 6286-73
ГОСТ 6286-73
Автор: 
Домашняя страница автора: 

ГОСТ 6591-73

E-mail автора: 

Краски печатные. Метод определения времени высыхания или пленкообразования

Обозначение: ГОСТ 6591-73
Статус: действующий
Название рус.: Краски печатные. Метод определения времени высыхания или пленкообразования
Название англ.: Printing inks. Method for determination of drying time or film-formation
Дата актуализации текста: 19.06.2012
Дата актуализации описания: 19.06.2012
Дата введения в действие: 01.01.1975
Область и условия применения: Настоящий стандарт распространяется на краски высокой и офсетной печати и устанавливает метод определения времени высыхания или пленкообразования
Взамен: ГОСТ 6591-53
Список изменений: №1 от 01.10.1979 (рег. 24.05.1979) «Срок действия продлен»
№2 от 01.09.1989 (рег. 24.03.1989) «Срок действия продлен»


ГОСТ 6591-73
ГОСТ 6591-73
ГОСТ 6591-73
ГОСТ 6591-73
Автор: 
Домашняя страница автора: 

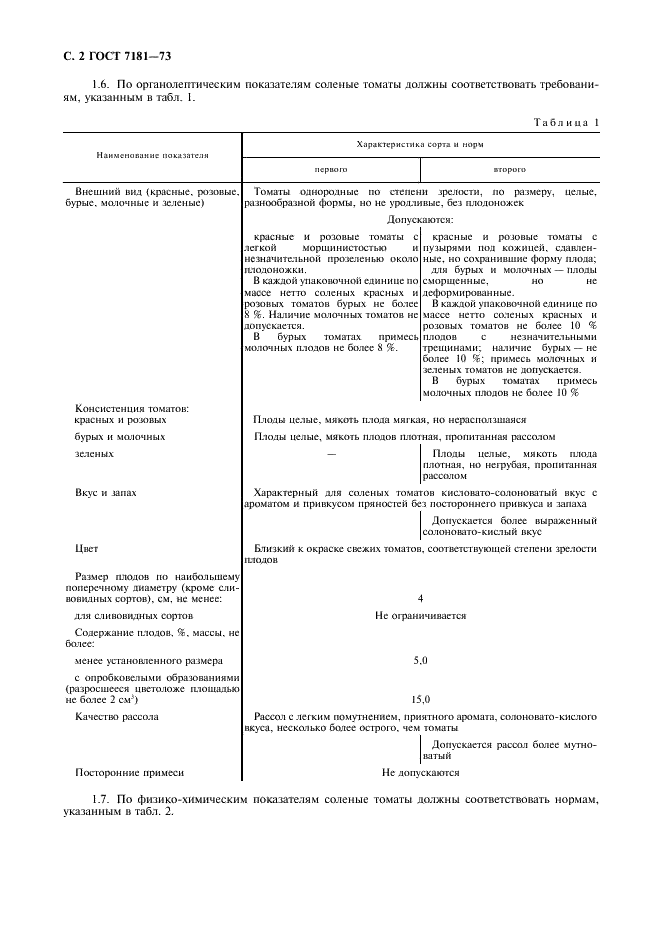
ГОСТ 7181-73

E-mail автора: 

Томаты соленые. Технические условия

Обозначение: ГОСТ 7181-73
Статус: утратил силу в РФ
Название рус.: Томаты соленые. Технические условия
Название англ.: Pickled tomatoes. Specifications
Дата актуализации текста: 19.06.2012
Дата актуализации описания: 19.06.2012
Дата введения в действие: 01.07.1975
Область и условия применения: Настоящий стандарт распространяется на соленые томаты, приготовленные из свежих томатов с прибавлением к ним приправ и пряностей, залитых раствором поваренной соли и подвергнутых молочнокислому брожению
Взамен: ГОСТ 7181-54
Список изменений: №0 от 01.01.2012 (рег. 26.11.2010) «Поправка к изменению»
№1 от 01.09.1985 (рег. 15.03.1985) «Срок действия продлен»
№2 от 01.07.1990 (рег. 02.02.1990) «Срок действия продлен»


ГОСТ 7181-73
ГОСТ 7181-73
ГОСТ 7181-73
ГОСТ 7181-73
ГОСТ 7181-73
ГОСТ 7181-73
ГОСТ 7181-73
Автор: 
Домашняя страница автора: 

ГОСТ 7846-73

E-mail автора: 

Пек каменноугольный. Метод определения зольности

Обозначение: ГОСТ 7846-73
Статус: действующий
Название рус.: Пек каменноугольный. Метод определения зольности
Название англ.: Coal tar pitch. Method for the determination of ash content
Дата актуализации текста: 19.06.2012
Дата актуализации описания: 19.06.2012
Дата введения в действие: 01.01.1975
Область и условия применения: Настоящий стандарт распространяется на каменноугольный пек и устанавливает метод определения зольности
Взамен: ГОСТ 7846-55
Список изменений: №1 от 01.10.1984 (рег. 25.04.1984) «Срок действия продлен»
№2 от 01.05.1989 (рег. 22.11.1988) «Срок действия продлен»
№3 от 01.07.1991 (рег. 21.11.1990) «Срок действия продлен»
№4 от 01.07.1993 (рег. 21.10.1992) «Срок действия продлен»


ГОСТ 7846-73
ГОСТ 7846-73
ГОСТ 7846-73
ГОСТ 7846-73
ГОСТ 7846-73
ГОСТ 7846-73
ГОСТ 7846-73
ГОСТ 7846-73
Автор: 
Домашняя страница автора: 

ГОСТ 6806-73

E-mail автора: 

Материалы лакокрасочные. Метод определения эластичности пленки при изгибе

Обозначение: ГОСТ 6806-73
Статус: действующий
Название рус.: Материалы лакокрасочные. Метод определения эластичности пленки при изгибе
Название англ.: Paint and lacquer materials. Method for determination of film elasticity in bending
Дата актуализации текста: 19.06.2012
Дата актуализации описания: 19.06.2012
Дата введения в действие: 01.07.1974
Область и условия применения: Настоящий стандарт распространяется на лакокрасочные материалы и устанавливает метод определения эластичности пленки при изгибе
Взамен: ГОСТ 6806-53
Список изменений: №1 от 01.01.1983 (рег. 09.03.1982) «Срок действия продлен»
№2 от 01.12.1986 (рег. 30.06.1986) «Срок действия продлен»


ГОСТ 6806-73
ГОСТ 6806-73
ГОСТ 6806-73
ГОСТ 6806-73
ГОСТ 6806-73
ГОСТ 6806-73
ГОСТ 6806-73
Автор: 
Домашняя страница автора: 

ГОСТ 9877-73

E-mail автора: 

Носители телевизионных программ - кинофильмы 35-мм обычного формата. Размеры и расположение полей изображений и фотографической фонограммы

Обозначение: ГОСТ 9877-73
Статус: действующий
Название рус.: Носители телевизионных программ - кинофильмы 35-мм обычного формата. Размеры и расположение полей изображений и фотографической фонограммы
Название англ.: Television program backing - 35 mm usual size cinematograph film. Dimensions and dispositions of fields of images and of photographic sound records
Дата актуализации текста: 19.06.2012
Дата актуализации описания: 19.06.2012
Дата введения в действие: 01.01.1976
Область и условия применения: Настоящий стандарт распространяется на кинофильмы обычного формата, создаваемые в качестве носителей телевизионных программ на 35-мм кинопленке.
Стандарт устанавливает размеры и расположение телевизионного, сюжетно-важного и титрового полей изображений и фотографической фонограммы
Взамен: ГОСТ 9877-61
Список изменений: №1 от 01.06.1986 (рег. 30.12.1985) «Срок действия продлен»
№2 от 01.03.1991 (рег. 29.12.1990) «Срок действия продлен»


ГОСТ 9877-73
ГОСТ 9877-73
ГОСТ 9877-73
ГОСТ 9877-73
Автор: 
Домашняя страница автора: 

ГОСТ 7438-73

E-mail автора: 

Бумага курительная. Технические условия

Обозначение: ГОСТ 7438-73
Статус: действующий
Название рус.: Бумага курительная. Технические условия
Название англ.: Paper for smoking. Specifications
Дата актуализации текста: 19.06.2012
Дата актуализации описания: 19.06.2012
Дата введения в действие: 01.01.1974
Область и условия применения: Настоящий стандарт распространяется на курительную бумагу, предназначенную для ручной завертки махорки
Взамен: ГОСТ 7438-55
Список изменений: №1 от 01.03.1979 (рег. 03.10.1978) «Срок действия продлен»
№2 от 01.01.1984 (рег. 22.06.1983) «Срок действия продлен»
№3 от 01.09.1988 (рег. 15.03.1988) «Срок действия продлен»


ГОСТ 7438-73
ГОСТ 7438-73
ГОСТ 7438-73
ГОСТ 7438-73
ГОСТ 7438-73
ГОСТ 7438-73
Автор: 
Домашняя страница автора: 

Страницы