Наша группа Вконтакте vk.com/4ertimcom

ГОСТ 6001-10000

ГОСТ 9547-80

E-mail автора: 

Станки отделочно-расточные горизонтальные с подвижным столом. Основные размеры

Обозначение: ГОСТ 9547-80
Статус: действующий
Название рус.: Станки отделочно-расточные горизонтальные с подвижным столом. Основные размеры
Название англ.: Horizontal fine-boring machines with movable table. Basic dimensions
Дата актуализации текста: 19.06.2012
Дата актуализации описания: 19.06.2012
Дата введения в действие: 01.07.1981
Область и условия применения: Настоящий стандарт распространяется на односторонние и двухсторонние горизонтальные отделочно-расточные станки с подвижным столом, головки которых устанавливаются на мосты.
Стандарт распространяется на отделочно-расточные станки, изготовляемые для нужд народного хозяйства и экспорта
Взамен: ГОСТ 9547-73
Список изменений: №1 от 01.07.1986 (рег. 13.03.1985) «Срок действия продлен»
№2 от 01.07.1989 (рег. 14.06.1988) «Срок действия продлен»


ГОСТ 9547-80
ГОСТ 9547-80
ГОСТ 9547-80
ГОСТ 9547-80
Автор: 
Домашняя страница автора: 

ГОСТ 8570-80

E-mail автора: 

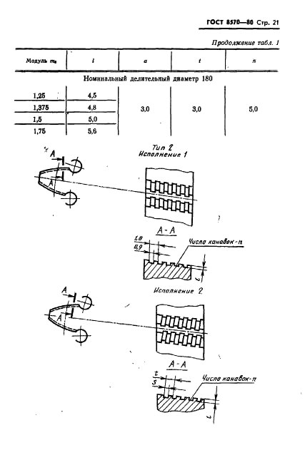
Шеверы дисковые. Технические условия

Обозначение: ГОСТ 8570-80
Статус: действующий
Название рус.: Шеверы дисковые. Технические условия
Название англ.: Disk shavers. Specifications
Дата актуализации текста: 19.06.2012
Дата актуализации описания: 19.06.2012
Дата введения в действие: 01.07.1981
Область и условия применения: Настоящий стандарт распространяется на дисковые шеверы, предназначенные для обработки цилиндрических зубчатых колес, изготовляемые для нужд народного хозяйства и для экспорта
Взамен: ГОСТ 8570-57
Список изменений: №1 от 01.01.1985 (рег. 24.04.1984) «Срок действия продлен»
№2 от 01.10.1987 (рег. 24.03.1987) «Срок действия продлен»
№3 от 01.09.1990 (рег. 05.02.1990) «Срок действия продлен»


ГОСТ 8570-80
ГОСТ 8570-80
ГОСТ 8570-80
ГОСТ 8570-80
ГОСТ 8570-80
ГОСТ 8570-80
ГОСТ 8570-80
ГОСТ 8570-80
ГОСТ 8570-80
ГОСТ 8570-80
ГОСТ 8570-80
ГОСТ 8570-80
ГОСТ 8570-80
ГОСТ 8570-80
ГОСТ 8570-80
ГОСТ 8570-80
ГОСТ 8570-80
ГОСТ 8570-80
ГОСТ 8570-80
ГОСТ 8570-80
ГОСТ 8570-80
ГОСТ 8570-80
ГОСТ 8570-80
ГОСТ 8570-80
ГОСТ 8570-80
ГОСТ 8570-80
ГОСТ 8570-80
ГОСТ 8570-80
ГОСТ 8570-80
Автор: 
Домашняя страница автора: 

ГОСТ 9923-80

E-mail автора: 

Ствол пожарный ручной. Технические условия

Обозначение: ГОСТ 9923-80
Статус: действует только в РФ
Название рус.: Ствол пожарный ручной. Технические условия
Название англ.: Hand nozzle. Technical requirements
Дата актуализации текста: 19.06.2012
Дата актуализации описания: 19.06.2012
Дата введения в действие: 01.01.1981
Область и условия применения: Настоящий стандарт распространяется на ручной пожарный ствол, устанавливаемый на конце рукавной линии и предназначенный для формирования компактной или распыленной струи воды, а также для перекрытия потока воды
Взамен: ГОСТ 9923-67
Список изменений: №1 от 01.04.1986 (рег. 18.10.1985) «Срок действия продлен»


ГОСТ 9923-80
ГОСТ 9923-80
ГОСТ 9923-80
ГОСТ 9923-80
ГОСТ 9923-80
ГОСТ 9923-80
ГОСТ 9923-80
ГОСТ 9923-80
ГОСТ 9923-80
ГОСТ 9923-80
ГОСТ 9923-80
Автор: 
Домашняя страница автора: 

ГОСТ 9206-80

E-mail автора: 

Порошки алмазные. Технические условия

Обозначение: ГОСТ 9206-80
Статус: действующий
Название рус.: Порошки алмазные. Технические условия
Название англ.: Diamond powders. Specifications
Дата актуализации текста: 19.06.2012
Дата актуализации описания: 19.06.2012
Дата введения в действие: 01.07.1981
Область и условия применения: Настоящий стандарт распространяется на порошки из природных и синтетических алмазов, предназначенных для изготовления алмазного инструмента и применения в незакрепленном состоянии в виде паст и суспензий, и устанавливает требования к порошкам, изготавливаемым для нужд народного хозяйства и экспорта.
Стандарт не распространяется на алмазные порошки, зерна которых имеют покрытия
Взамен: ГОСТ 9206-70
Список изменений: №0 от 01.01.2012 (рег. 12.11.2010) «Поправка к изменению»
№1 от 01.01.1988 (рег. 27.11.1986) «Срок действия продлен»
№2 от 01.01.1990 (рег. 19.05.1989) «Срок действия продлен»
№3 от 01.04.1996 (рег. 31.01.1996) «Срок действия продлен»


ГОСТ 9206-80
ГОСТ 9206-80
ГОСТ 9206-80
ГОСТ 9206-80
ГОСТ 9206-80
ГОСТ 9206-80
ГОСТ 9206-80
ГОСТ 9206-80
ГОСТ 9206-80
ГОСТ 9206-80
ГОСТ 9206-80
ГОСТ 9206-80
ГОСТ 9206-80
ГОСТ 9206-80
ГОСТ 9206-80
ГОСТ 9206-80
ГОСТ 9206-80
ГОСТ 9206-80
ГОСТ 9206-80
ГОСТ 9206-80
ГОСТ 9206-80
ГОСТ 9206-80
ГОСТ 9206-80
ГОСТ 9206-80
ГОСТ 9206-80
ГОСТ 9206-80
ГОСТ 9206-80
ГОСТ 9206-80
ГОСТ 9206-80
ГОСТ 9206-80
ГОСТ 9206-80
ГОСТ 9206-80
ГОСТ 9206-80
ГОСТ 9206-80
ГОСТ 9206-80
ГОСТ 9206-80
ГОСТ 9206-80
ГОСТ 9206-80
ГОСТ 9206-80
ГОСТ 9206-80
ГОСТ 9206-80
ГОСТ 9206-80
ГОСТ 9206-80
ГОСТ 9206-80
ГОСТ 9206-80
ГОСТ 9206-80
ГОСТ 9206-80
ГОСТ 9206-80
ГОСТ 9206-80
ГОСТ 9206-80
ГОСТ 9206-80
ГОСТ 9206-80
ГОСТ 9206-80
ГОСТ 9206-80
ГОСТ 9206-80
Автор: 
Домашняя страница автора: 

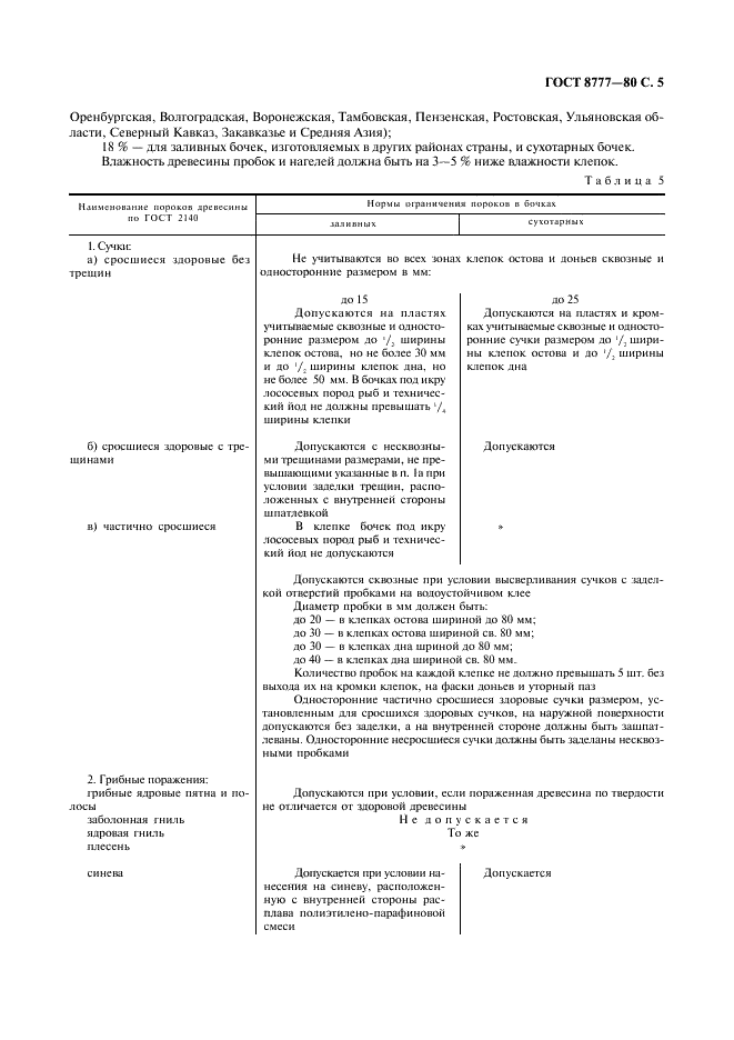
ГОСТ 8777-80

E-mail автора: 

Бочки деревянные заливные и сухотарные. Технические условия

Обозначение: ГОСТ 8777-80
Статус: действующий
Название рус.: Бочки деревянные заливные и сухотарные. Технические условия
Название англ.: Wooden barrels for liqiud and dry products. Technical requirements
Дата актуализации текста: 19.06.2012
Дата актуализации описания: 19.06.2012
Дата введения в действие: 01.01.1982
Область и условия применения: Настоящий стандарт распространяется на деревянные заливные и сухотарные бочки, предназначенные для упаковывания различной продукции, поставляемой для нужд народного хозяйства и поставки на экспорт
Взамен: ГОСТ 8777-74
Список изменений: №1 от 01.02.1984 (рег. 30.09.1983) «Срок действия продлен»
№2 от 01.07.1986 (рег. 12.12.1985) «Срок действия продлен»
№3 от 01.01.1992 (рег. 05.06.1991) «Срок действия продлен»


ГОСТ 8777-80
ГОСТ 8777-80
ГОСТ 8777-80
ГОСТ 8777-80
ГОСТ 8777-80
ГОСТ 8777-80
ГОСТ 8777-80
ГОСТ 8777-80
ГОСТ 8777-80
ГОСТ 8777-80
ГОСТ 8777-80
ГОСТ 8777-80
ГОСТ 8777-80
ГОСТ 8777-80
ГОСТ 8777-80
Автор: 
Домашняя страница автора: 

ГОСТ 9391-80

E-mail автора: 

Сплавы твердые спеченные. Методы определения пористости и микроструктуры

Обозначение: ГОСТ 9391-80
Статус: действующий
Название рус.: Сплавы твердые спеченные. Методы определения пористости и микроструктуры
Название англ.: Sintered Hardmetals. Methods for determination of porosity and microstructure
Дата актуализации текста: 19.06.2012
Дата актуализации описания: 19.06.2012
Дата введения в действие: 01.01.1983
Область и условия применения: Настоящий стандарт устанавливает методы определения пористости, свободного углерода и микроструктуры вольфрамовых, титано-вольфрамовых и титано-тантало-вольфрамовых твердых сплавов
Взамен: ГОСТ 9391-67
Список изменений: №0 от 05.06.1987 (рег. 05.06.1987) «Срок действия продлен»
№1 от 01.11.1976 (рег. 21.09.1976) «Срок действия продлен»


ГОСТ 9391-80
ГОСТ 9391-80
ГОСТ 9391-80
ГОСТ 9391-80
ГОСТ 9391-80
ГОСТ 9391-80
ГОСТ 9391-80
ГОСТ 9391-80
ГОСТ 9391-80
ГОСТ 9391-80
ГОСТ 9391-80
ГОСТ 9391-80
ГОСТ 9391-80
ГОСТ 9391-80
ГОСТ 9391-80
ГОСТ 9391-80
ГОСТ 9391-80
ГОСТ 9391-80
ГОСТ 9391-80
ГОСТ 9391-80
ГОСТ 9391-80
ГОСТ 9391-80
ГОСТ 9391-80
ГОСТ 9391-80
ГОСТ 9391-80
ГОСТ 9391-80
ГОСТ 9391-80
ГОСТ 9391-80
ГОСТ 9391-80
ГОСТ 9391-80
Автор: 
Домашняя страница автора: 

ГОСТ 9511-80

E-mail автора: 

Изделия хлебобулочные слоеные. Технические условия

Обозначение: ГОСТ 9511-80
Статус: действующий
Название рус.: Изделия хлебобулочные слоеные. Технические условия
Название англ.: Puff-pastry bakery products. Specifications
Дата актуализации текста: 19.06.2012
Дата актуализации описания: 19.06.2012
Дата введения в действие: 01.01.1981
Область и условия применения: Настоящий стандарт распространяется на слоеные изделия, вырабатываемые из пшеничной муки высшего сорта и другого сырья с соблюдением санитарных правил, рецептур и технологических инструкций, утвержденных в установленном порядке
Взамен: ГОСТ 9511-60
Список изменений: №1 от 01.07.1986 (рег. 20.12.1985) «Поправка»
№2 от 01.08.1989 (рег. 15.02.1989) «Срок действия продлен»
№3 от 01.01.1990 (рег. 24.05.1989) «Срок действия продлен»
№4 от 01.06.1995 (рег. 15.03.1995) «Срок действия продлен»


ГОСТ 9511-80
ГОСТ 9511-80
ГОСТ 9511-80
ГОСТ 9511-80
Автор: 
Домашняя страница автора: 

ГОСТ 8693-80

E-mail автора: 

Трубы металлические. Метод испытания на бортование

Обозначение: ГОСТ 8693-80
Статус: действующий
Название рус.: Трубы металлические. Метод испытания на бортование
Название англ.: Metal pipes. Method of flange testing
Дата актуализации текста: 19.06.2012
Дата актуализации описания: 19.06.2012
Дата введения в действие: 01.07.1980
Область и условия применения: Настоящий стандарт устанавливает метод испытания на бортование металлических бесшовных сварных труб с наружным диаметром D до 160 мм включительно с толщиной стенки не более 9,0 мм при температуре 20 (плюс 15 минус 10) град. С. Толщина стенки не должна превышать 10% от наружного диаметра трубы
Взамен: ГОСТ 8693-58
Список изменений: №1 от 01.06.1985 (рег. 07.12.1984) «Срок действия продлен»
№2 от 01.07.1990 (рег. 27.11.1989) «Срок действия продлен»


ГОСТ 8693-80
ГОСТ 8693-80
ГОСТ 8693-80
ГОСТ 8693-80
Автор: 
Домашняя страница автора: 

ГОСТ 9274-81

E-mail автора: 

Вальцы для камневыделения и помола керамических масс. Технические условия

Обозначение: ГОСТ 9274-81
Статус: действующий
Название рус.: Вальцы для камневыделения и помола керамических масс. Технические условия
Название англ.: Rolls for picking out of stones and for crushing of clay masses. Specifications
Дата актуализации текста: 19.06.2012
Дата актуализации описания: 19.06.2012
Дата введения в действие: 01.01.1983
Область и условия применения: Настоящий стандарт распространяется на вальцы, предназначенные для предварительного (с камневыделением), грубого и тонкого помола керамических масс
Взамен: ГОСТ 9274-76
Список изменений: №1 от 01.07.1986 (рег. 04.12.1985) «Срок действия продлен»
№2 от 01.01.1991 (рег. 28.05.1990) «Срок действия продлен»


ГОСТ 9274-81
ГОСТ 9274-81
ГОСТ 9274-81
ГОСТ 9274-81
ГОСТ 9274-81
ГОСТ 9274-81
ГОСТ 9274-81
ГОСТ 9274-81
ГОСТ 9274-81
ГОСТ 9274-81
Автор: 
Домашняя страница автора: 

ГОСТ 8433-81

E-mail автора: 

Вещества вспомогательные ОП-7 и ОП-10. Технические условия

Обозначение: ГОСТ 8433-81
Статус: действующий
Название рус.: Вещества вспомогательные ОП-7 и ОП-10. Технические условия
Название англ.: Auxilliary substances OП-7 and OП-10. Specifications
Дата актуализации текста: 19.06.2012
Дата актуализации описания: 19.06.2012
Дата введения в действие: 01.01.1982
Область и условия применения: Настоящий стандарт распространяется на вспомогательные вещества ОП-7 и ОП-10, представляющие собой продукты обработки смеси моно- и диалкилфенолов окисью этилена и применяемые в качестве смачивающих и эмульсирующих поверхностно-активных веществ
Взамен: ГОСТ 8433-57


ГОСТ 8433-81
ГОСТ 8433-81
ГОСТ 8433-81
ГОСТ 8433-81
ГОСТ 8433-81
ГОСТ 8433-81
ГОСТ 8433-81
ГОСТ 8433-81
ГОСТ 8433-81
ГОСТ 8433-81
ГОСТ 8433-81
ГОСТ 8433-81
ГОСТ 8433-81
ГОСТ 8433-81
ГОСТ 8433-81
Автор: 
Домашняя страница автора: 

Страницы