Наша группа Вконтакте vk.com/4ertimcom

ГОСТ 6001-10000

ГОСТ 7219-83

E-mail автора: 

Электропаяльники бытовые. Общие технические условия

Обозначение: ГОСТ 7219-83
Статус: действующий
Название рус.: Электропаяльники бытовые. Общие технические условия
Название англ.: Domestic electric soldering irons. General specifications
Дата актуализации текста: 19.06.2012
Дата актуализации описания: 19.06.2012
Дата введения в действие: 01.07.1984
Область и условия применения: Настоящий стандарт распространяется на электропаяльники бытового назначения исполнения УХЛ 4 по ГОСТ 15150-69, изготовляемые для нужд народного хозяйства и экспорта
Взамен: ГОСТ 7219-77
Список изменений: №1 от 01.01.1985 (рег. 27.08.1984) «Срок действия продлен»
№2 от 01.05.1988 (рег. 08.12.1987) «Срок действия продлен»
№3 от 01.07.1989 (рег. 19.12.1988) «Срок действия продлен»
№4 от 01.10.1991 (рег. 26.04.1991) «Срок действия продлен»
№5 от 01.07.1992 (рег. 13.12.1991) «Срок действия продлен»


ГОСТ 7219-83
ГОСТ 7219-83
ГОСТ 7219-83
ГОСТ 7219-83
ГОСТ 7219-83
ГОСТ 7219-83
ГОСТ 7219-83
ГОСТ 7219-83
ГОСТ 7219-83
ГОСТ 7219-83
ГОСТ 7219-83
ГОСТ 7219-83
ГОСТ 7219-83
ГОСТ 7219-83
ГОСТ 7219-83
ГОСТ 7219-83
Автор: 
Домашняя страница автора: 

ГОСТ 8320.10-83

E-mail автора: 

Профили периодические поперечно-винтовой прокатки для дорожных машин. Сортамент

Обозначение: ГОСТ 8320.10-83
Статус: действующий
Название рус.: Профили периодические поперечно-винтовой прокатки для дорожных машин. Сортамент
Название англ.: Periodic sections produced by cross-helical rolling for road machines. Dimensions
Дата актуализации текста: 19.06.2012
Дата актуализации описания: 19.06.2012
Дата введения в действие: 01.01.1985
Область и условия применения: Настоящий стандарт распространяется на горячекатаные круглые периодические профили для экскаваторов, изготовляемые поперечно-винтовой прокаткой
Взамен: ГОСТ 8320.10-73


ГОСТ 8320.10-83
ГОСТ 8320.10-83
Автор: 
Домашняя страница автора: 

ГОСТ 9733.18-83

E-mail автора: 

Материалы текстильные. Метод испытания устойчивости окраски к валке щелочной

Обозначение: ГОСТ 9733.18-83
Статус: действующий
Название рус.: Материалы текстильные. Метод испытания устойчивости окраски к валке щелочной
Название англ.: Textiles. Test method of colour fastness to alkali milling
Дата актуализации текста: 19.06.2012
Дата актуализации описания: 19.06.2012
Дата введения в действие: 01.01.1986
Область и условия применения: Настоящий стандарт распространяется на текстильные материалы и устанавливает метод испытания устойчивости окраски шерстяных и смесовых, содержащих шерсть, текстильных материалов к действию растворов мыла и соды, применяемых при щелочной валке.
Метод основан на обработке рабочей составной пробы параллельно с контрольной пробой в растворе мыла и соды при определенной температуре в течение заданного времени
Взамен в части: ГОСТ 9733-61 в части разд. II, п. 33
Список изменений: №1 от 01.06.1988 (рег. 08.02.1988) «Срок действия продлен»


ГОСТ 9733.18-83
ГОСТ 9733.18-83
ГОСТ 9733.18-83
ГОСТ 9733.18-83
Автор: 
Домашняя страница автора: 

ГОСТ 8282-83

E-mail автора: 

Профили стальные гнутые С-образные равнополочные. Сортамент

Обозначение: ГОСТ 8282-83
Статус: действующий
Название рус.: Профили стальные гнутые С-образные равнополочные. Сортамент
Название англ.: Bent-steel С-shaped equal flange sections. Dimensions
Дата актуализации текста: 19.06.2012
Дата актуализации описания: 19.06.2012
Дата введения в действие: 01.01.1984
Область и условия применения: Настоящий стандарт устанавливает сортамент гнутых С-образных равноплочных профилей, изготовленных на профилегибочных станах из холоднокатаной и горячекатаной стали обыкновенного качества, углеродистой качественной и низколегированной
Взамен: ГОСТ 8282-76
Список изменений: №1 от 01.10.1988 (рег. 14.03.1988) «Срок действия продлен»


ГОСТ 8282-83
ГОСТ 8282-83
ГОСТ 8282-83
Автор: 
Домашняя страница автора: 

ГОСТ 8320.9-83

E-mail автора: 

Профили периодические поперечно-винтовой прокатки для балки передней оси автобусов. Сортамент

Обозначение: ГОСТ 8320.9-83
Статус: действующий
Название рус.: Профили периодические поперечно-винтовой прокатки для балки передней оси автобусов. Сортамент
Название англ.: Periodic sections produced by cross-helical rolling for bus front axle beam. Dimensions
Дата актуализации текста: 19.06.2012
Дата актуализации описания: 19.06.2012
Дата введения в действие: 01.01.1985
Область и условия применения: Настоящий стандарт распространяется на горячекатаные круглые периодические профили для балки передней оси автобуса, изготовляемые поперечно-винтовой прокаткой
Взамен: ГОСТ 8320.9-73


ГОСТ 8320.9-83
Автор: 
Домашняя страница автора: 

ГОСТ 8320.13-83

E-mail автора: 

Профили периодические поперечно-винтовой прокатки для цапф мукомольных валков. Сортамент

Обозначение: ГОСТ 8320.13-83
Статус: действующий
Название рус.: Профили периодические поперечно-винтовой прокатки для цапф мукомольных валков. Сортамент
Название англ.: Periodic sections produced by cross-helical rolling for journals of flour-grinding rolls. Dimensions
Дата актуализации текста: 19.06.2012
Дата актуализации описания: 19.06.2012
Дата введения в действие: 01.01.1985
Область и условия применения: Настоящий стандарт распространяется на горячекатаные круглые периодические профили для цапф мукомольных валков, изготовляемые поперечно-винтовой прокаткой
Взамен: ГОСТ 8320.13-73


ГОСТ 8320.13-83
Автор: 
Домашняя страница автора: 

ГОСТ 9733.27-83

E-mail автора: 

Материалы текстильные. Метод испытания устойчивости окраски к трению

Обозначение: ГОСТ 9733.27-83
Статус: действующий
Название рус.: Материалы текстильные. Метод испытания устойчивости окраски к трению
Название англ.: Textiles. Test method of colour fastness to crocking
Дата актуализации текста: 19.06.2012
Дата актуализации описания: 19.06.2012
Дата введения в действие: 01.01.1986
Область и условия применения: Настоящий стандарт распространяется на текстильные материалы и устанавливает метод испытания устойчивости окраски к трению.
Метод основан на закрашивании неокрашенной сухой или мокрой ткани при трении об сухой испытуемый образец
Взамен в части: ГОСТ 9733-61 в части разд. II, п. 21
Список изменений: №1 от 01.01.1988 (рег. 26.09.1986) «Срок действия продлен»


ГОСТ 9733.27-83
ГОСТ 9733.27-83
ГОСТ 9733.27-83
ГОСТ 9733.27-83
ГОСТ 9733.27-83
ГОСТ 9733.27-83
Автор: 
Домашняя страница автора: 

ГОСТ 9733.14-83

E-mail автора: 

Материалы текстильные. Метод испытания устойчивости окраски к отбелке гипохлоритом натрия

Обозначение: ГОСТ 9733.14-83
Статус: действующий
Название рус.: Материалы текстильные. Метод испытания устойчивости окраски к отбелке гипохлоритом натрия
Название англ.: Textiles. Test method of colour fastness to sodium hypochlorite bleaching
Дата актуализации текста: 19.06.2012
Дата актуализации описания: 19.06.2012
Дата введения в действие: 01.01.1986
Область и условия применения: Настоящий стандарт распространяется на текстильные материалы и устанавливает метод испытания устойчивости окраски к отбелке гипохлоритом натрия.
Метод основан на обработке рабочей пробы из текстильного материала, преимущественно из натуральной и регенерированной целлюлозы, в растворе гипохлорита натрия, промывке в воде и последующей обработке в растворе перекиси водорода или бисульфита натрия
Взамен в части: ГОСТ 9733-61 в части разд. II, п. 28
Список изменений: №1 от 01.03.1988 (рег. 29.09.1987) «Срок действия продлен»


ГОСТ 9733.14-83
ГОСТ 9733.14-83
ГОСТ 9733.14-83
Автор: 
Домашняя страница автора: 

ГОСТ 9198-83

E-mail автора: 

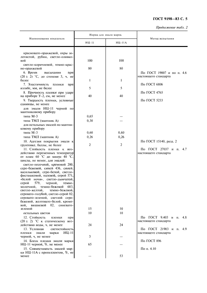
Эмали марок НЦ-11 и НЦ-11А. Технические условия

Обозначение: ГОСТ 9198-83
Статус: действующий
Название рус.: Эмали марок НЦ-11 и НЦ-11А. Технические условия
Название англ.: Enamels of types НЦ-11 and НЦ-11А. Specifications
Дата актуализации текста: 19.06.2012
Дата актуализации описания: 19.06.2012
Дата введения в действие: 01.01.1984
Область и условия применения: Настоящий стандарт распространяется на эмали марок НЦ-11 и НЦ-11А различных цветов, представляющие собой суспензию СВП (развальцованный пигмент с нитроцеллюлозой, пластификатором и диспергатором) в растворе коллоксилина и алкидной смолы в смеси летучих органических растворителей с добавлением пластификаторов, и для эмалей марки НЦ-11А - с добавлением полиметилсилоксановой жидкости ПМС-200А или ПМС-200
Взамен: ГОСТ 9198-76
Список изменений: №1 от 01.12.1988 (рег. 24.06.1988) «Срок действия продлен»
№2 от 01.10.1992 (рег. 27.03.1992) «Срок действия продлен»
№3 от 01.01.1997 (рег. 10.12.1996) «Срок действия продлен»


ГОСТ 9198-83
ГОСТ 9198-83
ГОСТ 9198-83
ГОСТ 9198-83
ГОСТ 9198-83
ГОСТ 9198-83
ГОСТ 9198-83
ГОСТ 9198-83
ГОСТ 9198-83
ГОСТ 9198-83
ГОСТ 9198-83
ГОСТ 9198-83
ГОСТ 9198-83
ГОСТ 9198-83
ГОСТ 9198-83
Автор: 
Домашняя страница автора: 

ГОСТ 9733.5-83

E-mail автора: 

Материалы текстильные. Метод испытаний устойчивости окраски к дистиллированной воде

Обозначение: ГОСТ 9733.5-83
Статус: действующий
Название рус.: Материалы текстильные. Метод испытаний устойчивости окраски к дистиллированной воде
Название англ.: Textiles. Test method of colour fastness to distilled water
Дата актуализации текста: 19.06.2012
Дата актуализации описания: 19.06.2012
Дата введения в действие: 01.01.1986
Область и условия применения: Настоящий стандарт распространяется на текстильные материалы и устанавливает метод испытания устойчивости окраски к дистиллированной воде.
Метод основан на погружении испытуемых проб вместе с пробами неокрашенных тканей в воду и выдерживании его при определенных давлении, температуре и времени в аппарате для испытаний
Взамен в части: ГОСТ 9733-61 в части разд. II, п. 17
Список изменений: №1 от 01.07.1988 (рег. 05.06.1987) «Срок действия продлен»
№2 от 01.11.1991 (рег. 06.06.1991) «Срок действия продлен»


ГОСТ 9733.5-83
ГОСТ 9733.5-83
ГОСТ 9733.5-83
ГОСТ 9733.5-83
Автор: 
Домашняя страница автора: 

Страницы