Наша группа Вконтакте vk.com/4ertimcom

ГОСТ 6001-10000

ГОСТ 9064-75

E-mail автора: 

Гайки для фланцевых соединений с температурой среды от 0 до 650 град. С. Типы и основные размеры

Обозначение: ГОСТ 9064-75
Статус: действующий
Название рус.: Гайки для фланцевых соединений с температурой среды от 0 до 650 град. С. Типы и основные размеры
Название англ.: Nuts for flanged connections with medium temperature 0 to 650 deg. C. Types and main dimensions
Дата актуализации текста: 19.06.2012
Дата актуализации описания: 19.06.2012
Дата введения в действие: 01.01.1976
Область и условия применения: Настоящий стандарт распространяется на гайки шестигранные и колпачковые для фланцевых соединений паровых и газовых турбин, паровых котлов, трубопроводов и соединительных частей, арматуры, приборов, аппаратов и резервуаров с температурой среды от 0 до 650 град. С.
Стандарт не распространяется на фланцевые соединения объектов, подведомственных Госгортехнадзору СССР, с условным давлением Ру менее 4 МПа
Взамен: ГОСТ 9064-69
Список изменений: №1 от 01.01.1981 (рег. 27.06.1980) «Срок действия продлен»
№2 от 01.07.1986 (рег. 27.12.1985) «Срок действия продлен»


ГОСТ 9064-75
ГОСТ 9064-75
ГОСТ 9064-75
ГОСТ 9064-75
ГОСТ 9064-75
ГОСТ 9064-75
ГОСТ 9064-75
Автор: 
Домашняя страница автора: 

ГОСТ 8694-75

E-mail автора: 

Трубы. Метод испытания на раздачу

Обозначение: ГОСТ 8694-75
Статус: действующий
Название рус.: Трубы. Метод испытания на раздачу
Название англ.: Tubing. Expansion testing method
Дата актуализации текста: 19.06.2012
Дата актуализации описания: 19.06.2012
Дата введения в действие: 01.07.1977
Область и условия применения: Настоящий стандарт распространяется на металлические бесшовные и сварные трубы круглого сечения с толщиной стенки не более 9,0 мм и диаметром трубы не более 150 мм и устанавливает метод испытания на раздачу при температуре 20 плюс минус 10 град. С
Взамен: ГОСТ 8694-58
Список изменений: №1 от 01.07.1980 (рег. 04.04.1980) «Срок действия продлен»


ГОСТ 8694-75
ГОСТ 8694-75
Автор: 
Домашняя страница автора: 

ГОСТ 7222-75

E-mail автора: 

Проволока из золота, серебра и их сплавов. Технические условия

Обозначение: ГОСТ 7222-75
Статус: действующий
Название рус.: Проволока из золота, серебра и их сплавов. Технические условия
Название англ.: Wire of gold, silver and their alloys. Specifications
Дата актуализации текста: 19.06.2012
Дата актуализации описания: 19.06.2012
Дата введения в действие: 01.01.1976
Область и условия применения: Настоящий стандарт распространяется на холоднотянутую проволоку из золота, серебра и их сплавов технического назначения, а также для ювелирного производства
Взамен: ГОСТ 7222-54
Список изменений: №0 от 09.03.2005 (рег. 09.03.2005) «Ограничение срока действия снято»
№0 от 01.12.2004 (рег. 01.12.2004) «Ограничение срока действия снято»
№1 от 01.02.1986 (рег. 09.09.1985) «Поправка»
№2 от 01.08.1990 (рег. 11.01.1990) «Срок действия продлен»
№3 от 01.07.1998 (рег. 31.03.1998) «Срок действия продлен»
№4 от 01.09.2004 (рег. 09.03.2004) «Текстовое изменение; Изменены ссылочные НД»
Приложение №1: Изменение №4 к ГОСТ 7222-75
Приложение №2: Изменение к ГОСТ 7222-75. Поправка к изменению
Приложение №3: Изменение к ГОСТ 7222-75. Поправка к изменению


ГОСТ 7222-75
ГОСТ 7222-75
ГОСТ 7222-75
ГОСТ 7222-75
ГОСТ 7222-75
ГОСТ 7222-75
ГОСТ 7222-75
ГОСТ 7222-75
ГОСТ 7222-75
ГОСТ 7222-75
ГОСТ 7222-75
ГОСТ 7222-75


Изменение №4 к ГОСТ 7222-75

Обозначение: Изменение №4 к ГОСТ 7222-75
Дата введения в действие: 01.09.2004
Дата актуализации: 15.01.2008


Изменение №4 к ГОСТ 7222-75
Изменение №4 к ГОСТ 7222-75


Изменение к ГОСТ 7222-75. Поправка к изменению

Обозначение: Изменение к ГОСТ 7222-75. Поправка к изменению
Дата введения в действие: 09.03.2005
Дата актуализации: 12.10.2010


Изменение к ГОСТ 7222-75. Поправка к изменению


Изменение к ГОСТ 7222-75. Поправка к изменению

Обозначение: Изменение к ГОСТ 7222-75. Поправка к изменению
Дата введения в действие: 01.12.2004
Дата актуализации: 12.10.2010


Изменение к ГОСТ 7222-75. Поправка к изменению
Автор: 
Домашняя страница автора: 

ГОСТ 6667-75

E-mail автора: 

Бензины авиационные. Метод определения периода стабильности

Обозначение: ГОСТ 6667-75
Статус: действующий
Название рус.: Бензины авиационные. Метод определения периода стабильности
Название англ.: Aviation gasoline. Period of stability method
Дата актуализации текста: 19.06.2012
Дата актуализации описания: 19.06.2012
Дата введения в действие: 01.01.1976
Область и условия применения: Настоящий стандарт распространяется на авиационные бензины и устанавливает метод определения периода стабильности.
Сущность метода заключается в окислении этилированного авиационного бензина кислородом воздуха при 110 град.С под давлением насыщенных паров испытуемого бензина и определении времени от начала окисления до начала разложения тетраэтилсвинца и помутнения авиационного бензина или появления в нем осадка
Взамен: ГОСТ 6667-56
Список изменений: №0 от 20.06.1988 (рег. 20.06.1988) «Срок действия продлен»
№1 от 01.01.1987 (рег. 22.05.1986) «Срок действия продлен»
№2 от 01.01.1996 (рег. 15.08.1995) «Срок действия продлен»


ГОСТ 6667-75
ГОСТ 6667-75
ГОСТ 6667-75
Автор: 
Домашняя страница автора: 

ГОСТ 8774-75

E-mail автора: 

Литий. Технические условия

Обозначение: ГОСТ 8774-75
Статус: действующий
Название рус.: Литий. Технические условия
Название англ.: Lithium. Specifications
Дата актуализации текста: 19.06.2012
Дата актуализации описания: 19.06.2012
Дата введения в действие: 01.01.1977
Область и условия применения: Настоящий стандарт распространяется на литий, получаемый методом электролиза, применяемый для производства активных катализаторов в промышленном синтезе, в качестве дегазатора, модификатора, а также в качестве добавки к сплавам цветных металлов для понижения их плотности, повышения устойчивости против коррозии и улучшения механических характеристик сплавов и устанавливает требования к литию, изготовляемому для нужд народного хозяйства и экспорта
Взамен: ГОСТ 8774-58
Список изменений: №1 от 01.06.1982 (рег. 31.12.1981) «Срок действия продлен»
№2 от 01.05.1986 (рег. 30.10.1985) «Срок действия продлен»
№3 от 01.07.1990 (рег. 28.12.1989) «Срок действия продлен»
№4 от 01.01.1992 (рег. 17.07.1991) «Срок действия продлен»


ГОСТ 8774-75
ГОСТ 8774-75
ГОСТ 8774-75
ГОСТ 8774-75
ГОСТ 8774-75
Автор: 
Домашняя страница автора: 

ГОСТ 7925-75

E-mail автора: 

Красители органические. Методы сравнительного окрашивания натуральных волокон

Обозначение: ГОСТ 7925-75
Статус: действующий
Название рус.: Красители органические. Методы сравнительного окрашивания натуральных волокон
Название англ.: Organic dyestuffs. The methods of comparative dyeing for natural and viscose fibres
Дата актуализации текста: 19.06.2012
Дата актуализации описания: 19.06.2012
Дата введения в действие: 01.01.1976
Область и условия применения: Настоящий стандарт распространяется на органические красители (прямые, активные, кубовые, кубозоли, сернистые, кислотные, протравные для шерсти, компоненты, образующие красители на волокне) и устанавливает методы сравнительного окрашивания целлюлозных и чистошерстяных волокон и натурального шелка.
Стандарт не распространяется на методы сравнительного окрашивания шерстяного волокна кислотными металлосодержащими красителями комплекса 1:2 для определения концентрации и оттенка
Взамен: ГОСТ 7925-56
Список изменений: №1 от 01.01.1983 (рег. 03.02.1982) «Срок действия продлен»
№2 от 01.01.1983 (рег. 03.02.1982) «Срок действия продлен»
№3 от 01.01.1988 (рег. 31.10.1986) «Срок действия продлен»
№4 от 01.07.1996 (рег. 21.03.1996) «Срок действия продлен»


ГОСТ 7925-75
ГОСТ 7925-75
ГОСТ 7925-75
ГОСТ 7925-75
ГОСТ 7925-75
ГОСТ 7925-75
ГОСТ 7925-75
ГОСТ 7925-75
ГОСТ 7925-75
ГОСТ 7925-75
ГОСТ 7925-75
ГОСТ 7925-75
ГОСТ 7925-75
ГОСТ 7925-75
ГОСТ 7925-75
ГОСТ 7925-75
ГОСТ 7925-75
ГОСТ 7925-75
ГОСТ 7925-75
ГОСТ 7925-75
ГОСТ 7925-75
ГОСТ 7925-75
ГОСТ 7925-75
ГОСТ 7925-75
ГОСТ 7925-75
ГОСТ 7925-75
ГОСТ 7925-75
ГОСТ 7925-75
ГОСТ 7925-75
ГОСТ 7925-75
ГОСТ 7925-75
ГОСТ 7925-75
ГОСТ 7925-75
ГОСТ 7925-75
ГОСТ 7925-75
ГОСТ 7925-75
ГОСТ 7925-75
ГОСТ 7925-75
ГОСТ 7925-75
ГОСТ 7925-75
ГОСТ 7925-75
ГОСТ 7925-75
ГОСТ 7925-75
ГОСТ 7925-75
ГОСТ 7925-75
ГОСТ 7925-75
Автор: 
Домашняя страница автора: 

ГОСТ 6431-75

E-mail автора: 

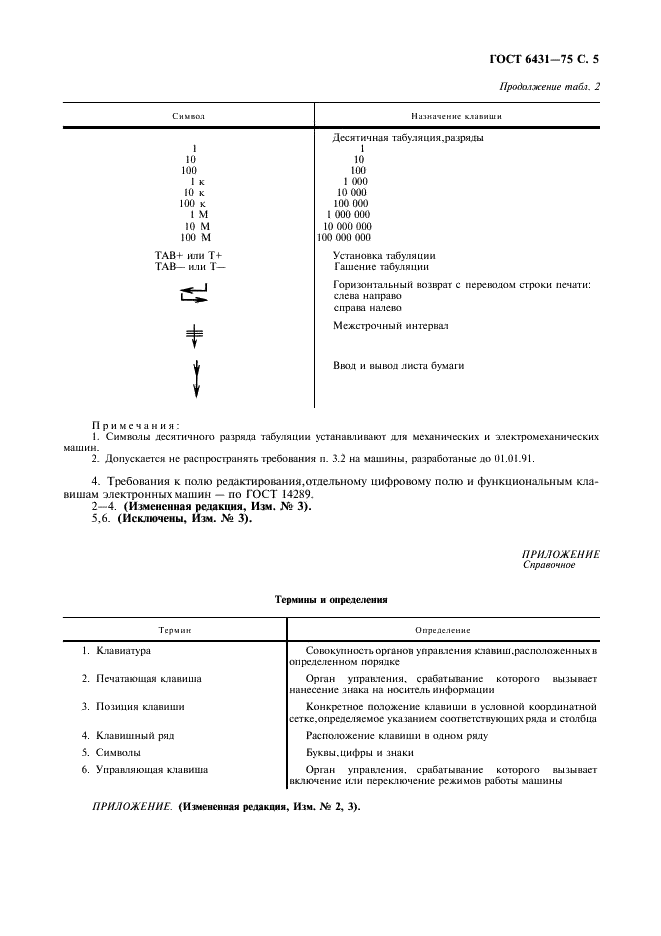
Машины пишущие. Расположение клавиш и символов на клавиатуре

Обозначение: ГОСТ 6431-75
Статус: действующий
Название рус.: Машины пишущие. Расположение клавиш и символов на клавиатуре
Название англ.: Typewriters. Arrangement of keys and symbols on keyboard
Дата актуализации текста: 19.06.2012
Дата актуализации описания: 19.06.2012
Дата введения в действие: 01.07.1976
Область и условия применения: Настоящий стандарт распространяется на клавиатуры пишущих машин.
Стандарт устанавливает расположение основных групп клавиш, шифр и специальных графических символов на этих клавишах, а также расположение на клавиатуре букв русского и латинского алфавитов
Взамен: ГОСТ 6431-52
Список изменений: №0 от 14.06.1988 (рег. 14.06.1988) «Срок действия продлен»
№1 от 01.07.1981 (рег. 28.05.1981) «Срок действия продлен»
№2 от 01.01.1984 (рег. 05.04.1983) «Срок действия продлен»
№3 от 01.01.1991 (рег. 21.03.1990) «Срок действия продлен»


ГОСТ 6431-75
ГОСТ 6431-75
ГОСТ 6431-75
ГОСТ 6431-75
ГОСТ 6431-75
ГОСТ 6431-75
ГОСТ 6431-75
Автор: 
Домашняя страница автора: 

ГОСТ 9762-76

E-mail автора: 

Смазка МС-70. Технические условия

Обозначение: ГОСТ 9762-76
Статус: действующий
Название рус.: Смазка МС-70. Технические условия
Название англ.: Grease МС-70. Specifications
Дата актуализации текста: 19.06.2012
Дата актуализации описания: 19.06.2012
Дата введения в действие: 01.01.1977
Область и условия применения: Настоящий стандарт распространяется на пластичную смазку МС-70, применяемую в качестве антифрикционной и для защиты от коррозии узлов трения металлических поверхностей приборов и механизмов, соприкасающихся с морской водой. Минимальная температура применения - минус 50 град. С
Взамен: ГОСТ 9762-61
Список изменений: №1 от 01.03.1979 (рег. 15.11.1978) «Срок действия продлен»
№2 от 01.01.1981 (рег. 16.10.1980) «Срок действия продлен»
№3 от 01.08.1985 (рег. 20.03.1985) «Срок действия продлен»
№4 от 01.07.1990 (рег. 05.10.1989) «Срок действия продлен»


ГОСТ 9762-76
ГОСТ 9762-76
ГОСТ 9762-76
ГОСТ 9762-76
ГОСТ 9762-76
ГОСТ 9762-76
ГОСТ 9762-76
Автор: 
Домашняя страница автора: 

ГОСТ 7913-76

E-mail автора: 

Ткани и штучные изделия хлопчатобумажные и смешанные. Нормы устойчивости окраски и методы ее определения

Обозначение: ГОСТ 7913-76
Статус: действующий
Название рус.: Ткани и штучные изделия хлопчатобумажные и смешанные. Нормы устойчивости окраски и методы ее определения
Название англ.: Cotton mixed fabrics and piece goods. Norms of colour fastness and methods determination
Дата актуализации текста: 19.06.2012
Дата актуализации описания: 19.06.2012
Дата введения в действие: 01.01.1977
Область и условия применения: Настоящий стандарт распространяется на ткани и штучные изделия, вырабатываемые из хлопчатобумажной и смешанной пряжи, а также из хлопчатобумажной основы и утка из искусственных комплексных нитей или вискозной пряжи и устанавливает нормы устойчивости окраски и методы ее определения.
Стандарт не распространяется на технические ткани и ткани специального назначения
Взамен: ГОСТ 7913-65
Заменяющий в части: ГОСТ 23433-79 в части тканей из вискозной пряжи; ГОСТ 23432-89 в части декоративных тканей
Список изменений: №1 от 01.11.1986 (рег. 23.06.1986) «Срок действия продлен»
№2 от 01.03.1988 (рег. 25.09.1987) «Срок действия продлен»


ГОСТ 7913-76
ГОСТ 7913-76
ГОСТ 7913-76
ГОСТ 7913-76
ГОСТ 7913-76
ГОСТ 7913-76
Автор: 
Домашняя страница автора: 

ГОСТ 7866.3-76

E-mail автора: 

Кабели судовые с изоляцией из кремнийорганической резины или радиационно-сшитого полиэтилена в оболочке из поливинилхлоридного пластиката. Технические условия

Обозначение: ГОСТ 7866.3-76
Статус: действующий
Название рус.: Кабели судовые с изоляцией из кремнийорганической резины или радиационно-сшитого полиэтилена в оболочке из поливинилхлоридного пластиката. Технические условия
Название англ.: Silicon rubber or cross-linked polyethylene insulated flexible PVC-sheathed shipboard cables. Specifications
Дата актуализации текста: 19.06.2012
Дата актуализации описания: 19.06.2012
Дата введения в действие: 01.01.1978
Область и условия применения: Настоящий стандарт распространяется на судовые кабели с медными жилами с изоляцией из кремнийорганической резины или радиационно-сшитого полиэтилена, в оболочке из поливинилхлоридного пластиката, экранированные или неэкранированные, предназначенные для неподвижной прокладки на судах морского флота неограниченного района плавания, речного флота, береговых и плавучих сооружениях.
Кабели предназначены для эксплуатации при переменном напряжении до 690 В частотой до 400 Гц или постоянном напряжении 1200 В и передачи электрических сигналов управления малой мощности переменного напряжения до 400 В частотой до 1200 Гц или 500 В постоянного напряжения
Список изменений: №0 от 27.06.1988 (рег. 27.06.1988) «Срок действия продлен»
№1 от 01.09.1979 (рег. 11.07.1979) «Срок действия продлен»
№2 от 01.07.1982 (рег. 17.03.1982) «Срок действия продлен»
№3 от 01.12.1985 (рег. 20.06.1985) «Срок действия продлен»


ГОСТ 7866.3-76
ГОСТ 7866.3-76
ГОСТ 7866.3-76
ГОСТ 7866.3-76
ГОСТ 7866.3-76
ГОСТ 7866.3-76
ГОСТ 7866.3-76
ГОСТ 7866.3-76
ГОСТ 7866.3-76
ГОСТ 7866.3-76
ГОСТ 7866.3-76
ГОСТ 7866.3-76
ГОСТ 7866.3-76
ГОСТ 7866.3-76
ГОСТ 7866.3-76
ГОСТ 7866.3-76
ГОСТ 7866.3-76
ГОСТ 7866.3-76
ГОСТ 7866.3-76
ГОСТ 7866.3-76
ГОСТ 7866.3-76
ГОСТ 7866.3-76
ГОСТ 7866.3-76
ГОСТ 7866.3-76
ГОСТ 7866.3-76
ГОСТ 7866.3-76
ГОСТ 7866.3-76
Автор: 
Домашняя страница автора: 

Страницы