Наша группа Вконтакте vk.com/4ertimcom

ГОСТ 6001-10000

ГОСТ 8426-75

E-mail автора: 

Кирпич глиняный для дымовых труб

Обозначение: ГОСТ 8426-75
Статус: действующий
Название рус.: Кирпич глиняный для дымовых труб
Название англ.: Glay brick for chimneys
Дата актуализации текста: 19.06.2012
Дата актуализации описания: 19.06.2012
Дата введения в действие: 01.01.1976
Область и условия применения: Настоящий стандарт распространяется на глиняный кирпич пластического прессования, изготовляемый из глин с добавками или без них и обожженный, предназначенный для кладки кирпичных и футеровки железобетонных промышленных дымовых труб при температуре нагрева кирпича не более 700 град. С
Взамен: ГОСТ 8426-57


ГОСТ 8426-75
ГОСТ 8426-75
ГОСТ 8426-75
ГОСТ 8426-75
ГОСТ 8426-75
ГОСТ 8426-75
ГОСТ 8426-75
ГОСТ 8426-75
ГОСТ 8426-75
ГОСТ 8426-75
ГОСТ 8426-75
Автор: 
Домашняя страница автора: 

ГОСТ 8107-75

E-mail автора: 

Вентили для пневматических камер и шин постоянного давления. Общие технические условия

Обозначение: ГОСТ 8107-75
Статус: действующий
Название рус.: Вентили для пневматических камер и шин постоянного давления. Общие технические условия
Название англ.: Valves for pneumatic tubes and tyres with constant pressure. General specifications
Дата актуализации текста: 19.06.2012
Дата актуализации описания: 19.06.2012
Дата введения в действие: 01.01.1979
Область и условия применения: Настоящий стандарт распространяется на вентили для пневматических камер и шин постоянного давления мопедов, мотороллеров, мотоциклов, легковых и грузовых автомобилей, автобусов, троллейбусов, тракторов, автомобильных и тракторных прицепов и полуприцепов, сельскохозяйственных подъемно-транспортных и дорожных машин, предназначенных для эксплуатации во всех климатических зонах при температурах окружающего воздуха от минус 60 до плюс 60 град. С при категории размещения 1 по ГОСТ 15150-69, реализуемые с СССР
Взамен: ГОСТ 8107-64
Список изменений: №1 от 01.01.1979 (рег. 30.01.1978) «Срок действия продлен»
№2 от 01.01.1982 (рег. 07.08.1981) «Срок действия продлен»
№3 от 01.07.1984 (рег. 30.01.1984) «Срок действия продлен»
№4 от 01.01.1989 (рег. 17.06.1988) «Поправка»
№5 от 01.01.1992 (рег. 18.10.1991) «Срок действия продлен»


ГОСТ 8107-75
ГОСТ 8107-75
ГОСТ 8107-75
ГОСТ 8107-75
ГОСТ 8107-75
ГОСТ 8107-75
ГОСТ 8107-75
ГОСТ 8107-75
ГОСТ 8107-75
ГОСТ 8107-75
ГОСТ 8107-75
ГОСТ 8107-75
ГОСТ 8107-75
ГОСТ 8107-75
ГОСТ 8107-75
ГОСТ 8107-75
ГОСТ 8107-75
ГОСТ 8107-75
ГОСТ 8107-75
ГОСТ 8107-75
ГОСТ 8107-75
ГОСТ 8107-75
ГОСТ 8107-75
ГОСТ 8107-75
ГОСТ 8107-75
ГОСТ 8107-75
ГОСТ 8107-75
ГОСТ 8107-75
ГОСТ 8107-75
ГОСТ 8107-75
ГОСТ 8107-75
ГОСТ 8107-75
Автор: 
Домашняя страница автора: 

ГОСТ 6024-75

E-mail автора: 

Изделия огнеупорные динасовые и шамотные для кладки мартеновских печей. Форма и размеры

Обозначение: ГОСТ 6024-75
Статус: действующий
Название рус.: Изделия огнеупорные динасовые и шамотные для кладки мартеновских печей. Форма и размеры
Название англ.: Refractory silica and fireclay articles for the openhearth brickwork. Form and dimensions
Дата актуализации текста: 19.06.2012
Дата актуализации описания: 19.06.2012
Дата введения в действие: 01.01.1978
Область и условия применения: Настоящий стандарт распространяется на динасовые и шамотные огнеупорные изделия, предназначенные преимущественно для кладки мартеновских печей
Взамен: ГОСТ 6024-51
Список изменений: №1 от 01.07.1983 (рег. 30.11.1982) «Срок действия продлен»
№2 от 01.01.1988 (рег. 23.06.1987) «Срок действия продлен»
№3 от 01.01.1993 (рег. 09.04.1992) «Поправка»


ГОСТ 6024-75
ГОСТ 6024-75
ГОСТ 6024-75
ГОСТ 6024-75
ГОСТ 6024-75
ГОСТ 6024-75
ГОСТ 6024-75
ГОСТ 6024-75
ГОСТ 6024-75
Автор: 
Домашняя страница автора: 

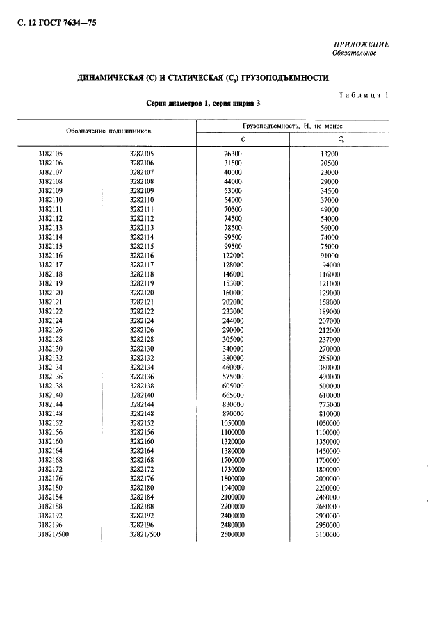
ГОСТ 7634-75

E-mail автора: 

Подшипники радиальные роликовые многорядные с короткими цилиндрическими роликами. Типы и основные размеры

Обозначение: ГОСТ 7634-75
Статус: действующий
Название рус.: Подшипники радиальные роликовые многорядные с короткими цилиндрическими роликами. Типы и основные размеры
Название англ.: Radial multiple row short cilindrical roller bearings. Types and boundary dimensions
Дата актуализации текста: 19.06.2012
Дата актуализации описания: 19.06.2012
Дата введения в действие: 01.07.1976
Область и условия применения: Настоящий стандарт распространяется на роликовые радиальные двухрядные подшипники с короткими цилиндрическими роликами серий диаметров 1 и 9, серий ширин 3 и 4 и на многорядные подшипники серий диаметров 1 и 9, серий ширин 6, предназначенных для восприятия только радиальных нагрузок
Взамен: ГОСТ 7634-56
Список изменений: №1 от 01.07.1985 (рег. 14.12.1984) «Срок действия продлен»
№2 от 01.07.1987 (рег. 12.11.1986) «Поправка»


ГОСТ 7634-75
ГОСТ 7634-75
ГОСТ 7634-75
ГОСТ 7634-75
ГОСТ 7634-75
ГОСТ 7634-75
ГОСТ 7634-75
ГОСТ 7634-75
ГОСТ 7634-75
ГОСТ 7634-75
ГОСТ 7634-75
ГОСТ 7634-75
ГОСТ 7634-75
ГОСТ 7634-75
ГОСТ 7634-75
Автор: 
Домашняя страница автора: 

ГОСТ 7539-75

E-mail автора: 

Красители органические. Кубовый ярко-оранжевый КХП. Технические условия

Обозначение: ГОСТ 7539-75
Статус: действующий
Название рус.: Красители органические. Кубовый ярко-оранжевый КХП. Технические условия
Название англ.: Organic dyes. Vat brilliant orange КХП. Specifications
Дата актуализации текста: 19.06.2012
Дата актуализации описания: 19.06.2012
Дата введения в действие: 01.01.1978
Область и условия применения: Настоящий стандарт распространяется на органический краситель кубовый ярко-оранжевый КХП, представляющий собой смесь красителя со вспомогательными веществами. Выпускается в виде пасты с массовой долей пигмента не менее 15% и предназначен для печатания тканей из целлюлозных волокон
Взамен: ГОСТ 7539-55
Список изменений: №1 от 01.11.1985 (рег. 20.06.1985) «Поправка»
№2 от 01.09.1990 (рег. 16.02.1990) «Срок действия продлен»


ГОСТ 7539-75
ГОСТ 7539-75
ГОСТ 7539-75
ГОСТ 7539-75
ГОСТ 7539-75
ГОСТ 7539-75
ГОСТ 7539-75
Автор: 
Домашняя страница автора: 

ГОСТ 7030-75

E-mail автора: 

Материалы полевошпатовые и кварц-полевошпатовые для тонкой керамики. Технические условия

Обозначение: ГОСТ 7030-75
Статус: действующий
Название рус.: Материалы полевошпатовые и кварц-полевошпатовые для тонкой керамики. Технические условия
Название англ.: Feldsparic and qiartzfeld-sparic materials for fine ceramics. Specifications
Дата актуализации текста: 19.06.2012
Дата актуализации описания: 19.06.2012
Дата введения в действие: 01.01.1977
Область и условия применения: Настоящий стандарт распространяется на полевошпатовые и кварц-полевошпатовые материалы, являющиеся продуктами обогащения горных пород гранитных пегматитов и предназначенные для производства художественного и хозяйственного фарфора и фаянса и электротехнического фарфора
Взамен в части: ГОСТ 7030-67, кроме пп. 3.5 - 3.7
Список изменений: №1 от 01.01.1979 (рег. 18.07.1978) «Срок действия продлен»
№2 от 01.01.1982 (рег. 09.09.1981) «Срок действия продлен»
№3 от 01.03.1987 (рег. 22.10.1986) «Срок действия продлен»
№4 от 01.01.1989 (рег. 29.09.1988) «Срок действия продлен»


ГОСТ 7030-75
ГОСТ 7030-75
ГОСТ 7030-75
ГОСТ 7030-75
ГОСТ 7030-75
ГОСТ 7030-75
ГОСТ 7030-75
ГОСТ 7030-75
ГОСТ 7030-75
ГОСТ 7030-75
ГОСТ 7030-75
ГОСТ 7030-75
ГОСТ 7030-75
ГОСТ 7030-75
ГОСТ 7030-75
Автор: 
Домашняя страница автора: 

ГОСТ 8929-75

E-mail автора: 

Кокс каменноугольный. Метод определения прочности

Обозначение: ГОСТ 8929-75
Статус: действующий
Название рус.: Кокс каменноугольный. Метод определения прочности
Название англ.: Hard coal cokes. Method for the determination of strength
Дата актуализации текста: 19.06.2012
Дата актуализации описания: 19.06.2012
Дата введения в действие: 01.01.1977
Область и условия применения: Настоящий стандарт распространяется на каменноугольный кокс всех классов крупности более 40 мм, а также класса 25 мм и более, предназначенный для литейных целей и для экспорта, и устанавливает метод определения его прочности.
Сущность метода заключается в механической обработке кокса во вращающемся барабане закрытого типа, определении гранулометрического состава кокса до и после обработки и последующем расчете показателей прочности
Взамен: ГОСТ 8929-65
Список изменений: №1 от 01.03.1987 (рег. 24.10.1986) «Срок действия продлен»


ГОСТ 8929-75
ГОСТ 8929-75
ГОСТ 8929-75
ГОСТ 8929-75
Автор: 
Домашняя страница автора: 

ГОСТ 8955-75

E-mail автора: 

Соединительные части из ковкого чугуна с цилиндрической резьбой для трубопроводов. Муфты прямые длинные. Основные размеры

Обозначение: ГОСТ 8955-75
Статус: действующий
Название рус.: Соединительные части из ковкого чугуна с цилиндрической резьбой для трубопроводов. Муфты прямые длинные. Основные размеры
Название англ.: Ductile iron fittings with parallel thread for pipelines. Straight long sockets. Basic dimensions
Дата актуализации текста: 19.06.2012
Дата актуализации описания: 19.06.2012
Дата введения в действие: 01.01.1977
Область и условия применения: Настоящий стандарт распространяется на муфты прямые длинные из ковкого чугуна с цилиндрической резьбой для трубопроводов
Взамен: ГОСТ 8955-59
Список изменений: №0 от 22.04.1988 (рег. 22.04.1988) «Срок действия продлен»
№1 от 01.12.1980 (рег. 04.09.1980) «Срок действия продлен»
№2 от 01.01.1984 (рег. 25.03.1983) «Срок действия продлен»


ГОСТ 8955-75
ГОСТ 8955-75
Автор: 
Домашняя страница автора: 

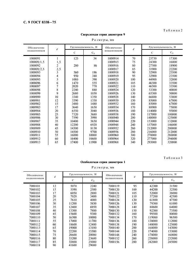
ГОСТ 8338-75

E-mail автора: 

Подшипники шариковые радиальные однорядные. Основные размеры

Обозначение: ГОСТ 8338-75
Статус: действующий
Название рус.: Подшипники шариковые радиальные однорядные. Основные размеры
Название англ.: Single row radial ball bearings. Boundary dimensions
Дата актуализации текста: 19.06.2012
Дата актуализации описания: 19.06.2012
Дата введения в действие: 01.07.1976
Область и условия применения: Настоящий стандарт распространяется на шариковые радиальные однорядные подшипники
Взамен: ГОСТ 8338-57
Список изменений: №1 от 01.07.1984 (рег. 25.10.1983) «Срок действия продлен»


ГОСТ 8338-75
ГОСТ 8338-75
ГОСТ 8338-75
ГОСТ 8338-75
ГОСТ 8338-75
ГОСТ 8338-75
ГОСТ 8338-75
ГОСТ 8338-75
ГОСТ 8338-75
ГОСТ 8338-75
ГОСТ 8338-75
ГОСТ 8338-75
Автор: 
Домашняя страница автора: 

ГОСТ 6341-75

E-mail автора: 

Реактивы. Кислота янтарная. Технические условия

Обозначение: ГОСТ 6341-75
Статус: действующий
Название рус.: Реактивы. Кислота янтарная. Технические условия
Название англ.: Reagents. Succinic acid. Specifications
Дата актуализации текста: 19.06.2012
Дата актуализации описания: 19.06.2012
Дата введения в действие: 01.07.1976
Область и условия применения: Настоящий стандарт распространяется на янтарную кислоту, которая представляет собой порошок белого цвета или прозрачные бесцветные кристаллы. Хорошо растворима в горячей воде, трудно растворима в холодной
Взамен: ГОСТ 6341-52
Список изменений: №1 от 01.09.1980 (рег. 28.04.1980) «Срок действия продлен»
№2 от 01.01.1989 (рег. 28.03.1988) «Срок действия продлен»


ГОСТ 6341-75
ГОСТ 6341-75
ГОСТ 6341-75
ГОСТ 6341-75
ГОСТ 6341-75
ГОСТ 6341-75
ГОСТ 6341-75
ГОСТ 6341-75
ГОСТ 6341-75
ГОСТ 6341-75
ГОСТ 6341-75
Автор: 
Домашняя страница автора: 

Страницы