Наша группа Вконтакте vk.com/4ertimcom

ГОСТ 6001-10000

ГОСТ 9296-74

E-mail автора: 

Каракуль чистопородный выделанный крашеный. Технические условия

Обозначение: ГОСТ 9296-74
Статус: действующий
Название рус.: Каракуль чистопородный выделанный крашеный. Технические условия
Название англ.: Dyed dressed pure-bred karakul. Specifications
Дата актуализации текста: 19.06.2012
Дата актуализации описания: 19.06.2012
Дата введения в действие: 01.01.1977
Область и условия применения: Настоящий стандарт распространяется на выделанные крашеные в черный цвет шкурки ягнят чистопородных каракульских овец
Взамен: ГОСТ 9296-59
Список изменений: №1 от 01.08.1979 (рег. 16.04.1979) «Срок действия продлен»
№2 от 01.12.1980 (рег. 09.07.1980) «Срок действия продлен»
№3 от 01.01.1986 (рег. 04.09.1985) «Срок действия продлен»
№4 от 01.06.1989 (рег. 26.10.1988) «Срок действия продлен»


ГОСТ 9296-74
ГОСТ 9296-74
ГОСТ 9296-74
ГОСТ 9296-74
ГОСТ 9296-74
ГОСТ 9296-74
ГОСТ 9296-74
ГОСТ 9296-74
Автор: 
Домашняя страница автора: 

ГОСТ 9414-74

E-mail автора: 

Угли бурые, каменные и антрациты. Метод определения петрографического состава

Обозначение: ГОСТ 9414-74
Статус: действующий
Название рус.: Угли бурые, каменные и антрациты. Метод определения петрографического состава
Название англ.: Brown coals, hard coals and anthracites. Method for determination of petrographic composition
Дата актуализации текста: 19.06.2012
Дата актуализации описания: 19.06.2012
Дата введения в действие: 01.01.1976
Область и условия применения: Настоящий стандарт распространяется на плотные блестящие бурые, каменные угли и антрациты и устанавливает метод определения петрографического состава по мацералам, группам мацералов и минеральным включениям для характеристики технологических свойств углей при разведке, разработке месторождений, промышленном использовании, а также для их классификации
Взамен: ГОСТ 9414-60
Заменяющий в части: ГОСТ 9414.2-93 в части, касающейся приготовления аншлиф-брикетов;ГОСТ 9414.3-93 в части , касающейся сущности метода, проведения анализа, обработки результатов (разд. 1, 3, 5, 6); ГОСТ 9414.1-94 в части разд. 1, приложения 1
Список изменений: №1 от 01.01.1986 (рег. 16.05.1985) «Срок действия продлен»
№2 от 01.01.1988 (рег. 31.10.1986) «Срок действия продлен»


ГОСТ 9414-74
ГОСТ 9414-74
ГОСТ 9414-74
ГОСТ 9414-74
ГОСТ 9414-74
ГОСТ 9414-74
ГОСТ 9414-74
ГОСТ 9414-74
ГОСТ 9414-74
ГОСТ 9414-74
ГОСТ 9414-74
ГОСТ 9414-74
ГОСТ 9414-74
ГОСТ 9414-74
ГОСТ 9414-74
ГОСТ 9414-74
ГОСТ 9414-74
ГОСТ 9414-74
ГОСТ 9414-74
ГОСТ 9414-74
ГОСТ 9414-74
ГОСТ 9414-74
ГОСТ 9414-74
Автор: 
Домашняя страница автора: 

ГОСТ 9970-74

E-mail автора: 

Резорцин технический. Технические условия

Обозначение: ГОСТ 9970-74
Статус: действующий
Название рус.: Резорцин технический. Технические условия
Название англ.: Technical resorcin. Specifications
Дата актуализации текста: 19.06.2012
Дата актуализации описания: 19.06.2012
Дата введения в действие: 01.07.1975
Область и условия применения: Настоящий стандарт распространяется на технический резорцин (1,3-диоксибензол), предназначенный для производства красителей, полимеров, стабилизаторов в меховой промышленности, при синтезе лекарственных веществ
Взамен: ГОСТ 9970-62
Список изменений: №1 от 01.01.1976 (рег. 15.11.1975) «Срок действия продлен»
№2 от 01.10.1980 (рег. 16.05.1980) «Срок действия продлен»
№3 от 01.02.1986 (рег. 19.09.1985) «Срок действия продлен»
№4 от 01.01.1991 (рег. 28.03.1990) «Срок действия продлен»
№5 от 01.07.1996 (рег. 28.03.1996) «Срок действия продлен»


ГОСТ 9970-74
ГОСТ 9970-74
ГОСТ 9970-74
ГОСТ 9970-74
ГОСТ 9970-74
ГОСТ 9970-74
ГОСТ 9970-74
ГОСТ 9970-74
ГОСТ 9970-74
ГОСТ 9970-74
ГОСТ 9970-74
Автор: 
Домашняя страница автора: 

ГОСТ 6009-74

E-mail автора: 

Лента стальная горячекатаная. Технические условия

Обозначение: ГОСТ 6009-74
Статус: действующий
Название рус.: Лента стальная горячекатаная. Технические условия
Название англ.: Hot-rolled steel strip. Specifications
Дата актуализации текста: 19.06.2012
Дата актуализации описания: 19.06.2012
Дата введения в действие: 01.01.1975
Область и условия применения: Настоящий стандарт распространяется на стальную ленту шириной от 20 до 220 мм, толщиной от 1,2 до 5,0 мм, получаемую горячей прокаткой или продольной резкой горячекатаной листовой рулонной стали
Взамен: ГОСТ 6009-57
Список изменений: №1 от 01.10.1985 (рег. 13.05.1985) «Поправка»


ГОСТ 6009-74
ГОСТ 6009-74
ГОСТ 6009-74
Автор: 
Домашняя страница автора: 

ГОСТ 8515-75

E-mail автора: 

Диаммонийфосфат. Технические условия

Обозначение: ГОСТ 8515-75
Статус: действующий
Название рус.: Диаммонийфосфат. Технические условия
Название англ.: Diammonium phosphate technical. Specifications
Дата актуализации текста: 19.06.2012
Дата актуализации описания: 19.06.2012
Дата введения в действие: 01.07.1977
Область и условия применения: Настоящий стандарт распространяется на диаммонийфосфат (двузамещенный фосфорнокислый аммоний), получаемый нейтрализацией термической или экстракционной фосфорной кислоты аммиаком с последующей кристаллизацией и центрифугированием.
Диаммонийфосфат предназначается для пропитки древесины и тканей, для придания им огнестойкости, для пищевой и фармацевтической промышленности и других целей
Взамен: ГОСТ 8515-57 ГОСТ 5.2229-74
Заменяющий в части: ГОСТ 13496.0-80 в части отбора проб
Список изменений: №1 от 01.12.1981 (рег. 12.03.1980) «Срок действия продлен»
№2 от 01.01.1982 (рег. 11.08.1981) «Срок действия продлен»
№3 от 01.08.1987 (рег. 15.04.1987) «Срок действия продлен»
№4 от 01.01.1988 (рег. 31.07.1987) «Срок действия продлен»
№5 от 01.07.1992 (рег. 25.10.1991) «Срок действия продлен»


ГОСТ 8515-75
ГОСТ 8515-75
ГОСТ 8515-75
ГОСТ 8515-75
ГОСТ 8515-75
ГОСТ 8515-75
ГОСТ 8515-75
ГОСТ 8515-75
ГОСТ 8515-75
ГОСТ 8515-75
ГОСТ 8515-75
ГОСТ 8515-75
ГОСТ 8515-75
ГОСТ 8515-75
ГОСТ 8515-75
ГОСТ 8515-75
ГОСТ 8515-75
ГОСТ 8515-75
ГОСТ 8515-75
ГОСТ 8515-75
ГОСТ 8515-75
ГОСТ 8515-75
ГОСТ 8515-75
ГОСТ 8515-75
ГОСТ 8515-75
ГОСТ 8515-75
Автор: 
Домашняя страница автора: 

ГОСТ 8909-75

E-mail автора: 

Опоки литейные цельнолитые стальные и чугунные. Технические требования

Обозначение: ГОСТ 8909-75
Статус: действующий
Название рус.: Опоки литейные цельнолитые стальные и чугунные. Технические требования
Название англ.: All-cast moulding boxes steel and iron. Technical requirements
Дата актуализации текста: 19.06.2012
Дата актуализации описания: 19.06.2012
Дата введения в действие: 01.01.1977
Область и условия применения: Настоящий стандарт распространяется на литейные цельнолитые чугунные и стальные опоки, предназначенные для изготовления песчаных литейных форм машинной и ручной формовкой
Взамен: ГОСТ 8909-58
Список изменений: №1 от 01.06.1982 (рег. 27.01.1982) «Срок действия продлен»


ГОСТ 8909-75
ГОСТ 8909-75
ГОСТ 8909-75
ГОСТ 8909-75
ГОСТ 8909-75
ГОСТ 8909-75
ГОСТ 8909-75
Автор: 
Домашняя страница автора: 

ГОСТ 6750-75

E-mail автора: 

Гвозди медные для судостроения. Технические условия

Обозначение: ГОСТ 6750-75
Статус: действующий
Название рус.: Гвозди медные для судостроения. Технические условия
Название англ.: Copper nails for shipbuilding. Specifications
Дата актуализации текста: 19.06.2012
Дата актуализации описания: 19.06.2012
Дата введения в действие: 01.01.1976
Область и условия применения: Настоящий стандарт распространяется на гвозди медные, изготовленные из термически обработанной проволоки марки М2 по ГОСТ 859-2001
Взамен: ГОСТ 6750-53
Список изменений: №0 от 18.06.1987 (рег. 18.06.1987) «Срок действия продлен»
№1 от 01.04.1983 (рег. 30.11.1982) «Срок действия продлен»


ГОСТ 6750-75
ГОСТ 6750-75
ГОСТ 6750-75
ГОСТ 6750-75
ГОСТ 6750-75
ГОСТ 6750-75
Автор: 
Домашняя страница автора: 

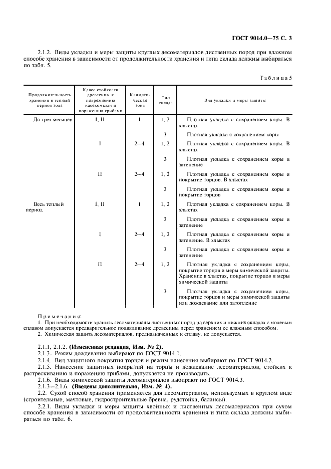
ГОСТ 9014.0-75

E-mail автора: 

Лесоматериалы круглые. Хранение. Общие требования

Обозначение: ГОСТ 9014.0-75
Статус: действующий
Название рус.: Лесоматериалы круглые. Хранение. Общие требования
Название англ.: Round timber. Storage. General requirements
Дата актуализации текста: 19.06.2012
Дата актуализации описания: 19.06.2012
Дата введения в действие: 01.01.1977
Область и условия применения: Настоящий стандарт распространяется на круглые лесоматериалы хвойных и лиственных пород и устанавливает общие требования к правилам их хранения
Взамен: ГОСТ 9014-59
Список изменений: №1 от 01.03.1979 (рег. 11.12.1978) «Срок действия продлен»
№2 от 01.03.1981 (рег. 20.01.1981) «Срок действия продлен»
№3 от 01.01.1984 (рег. 22.11.1983) «Срок действия продлен»
№4 от 01.05.1985 (рег. 12.12.1984) «Срок действия продлен»
№5 от 01.07.1990 (рег. 07.02.1990) «Срок действия продлен»


ГОСТ 9014.0-75
ГОСТ 9014.0-75
ГОСТ 9014.0-75
ГОСТ 9014.0-75
ГОСТ 9014.0-75
ГОСТ 9014.0-75
ГОСТ 9014.0-75
ГОСТ 9014.0-75
ГОСТ 9014.0-75
ГОСТ 9014.0-75
ГОСТ 9014.0-75
ГОСТ 9014.0-75
ГОСТ 9014.0-75
ГОСТ 9014.0-75
ГОСТ 9014.0-75
Автор: 
Домашняя страница автора: 

ГОСТ 9243-75

E-mail автора: 

Масло компрессорное из сернистых нефтей КС-19. Технические условия

Обозначение: ГОСТ 9243-75
Статус: действующий
Название рус.: Масло компрессорное из сернистых нефтей КС-19. Технические условия
Название англ.: Compressor oil from sulphurbearing crude KS-19. Specifications
Дата актуализации текста: 19.06.2012
Дата актуализации описания: 19.06.2012
Дата введения в действие: 01.01.1977
Область и условия применения: Настоящий стандарт распространяется на компрессорное масло КС-19 селективной очистки, вырабатываемое из сернистых нефтей и предназначенное для смазывания поршневых и ротационных компрессоров и воздуходувок
Взамен: ГОСТ 9243-59
Список изменений: №1 от 01.07.1979 (рег. 21.03.1979) «Срок действия продлен»
№2 от 01.01.1985 (рег. 13.08.1984) «Срок действия продлен»
№3 от 01.02.1990 (рег. 22.06.1989) «Срок действия продлен»
№4 от 01.12.1992 (рег. 21.07.1992) «Срок действия продлен»
№5 от 01.06.1995 (рег. 23.03.1995) «Срок действия продлен»


ГОСТ 9243-75
ГОСТ 9243-75
ГОСТ 9243-75
ГОСТ 9243-75
Автор: 
Домашняя страница автора: 

ГОСТ 8952-75

E-mail автора: 

Соединительные части из ковкого чугуна с цилиндрической резьбой для трубопроводов. Кресты переходные. Основные размеры

Обозначение: ГОСТ 8952-75
Статус: действующий
Название рус.: Соединительные части из ковкого чугуна с цилиндрической резьбой для трубопроводов. Кресты переходные. Основные размеры
Название англ.: Ductile iron fittings with parallel thread for pipelines. Transition four-way junction pieces. Basic dimensions
Дата актуализации текста: 19.06.2012
Дата актуализации описания: 19.06.2012
Дата введения в действие: 01.01.1977
Область и условия применения: Настоящий стандарт распространяется на кресты переходные из ковкого чугуна с цилиндрической резьбой для трубопроводов
Взамен: ГОСТ 8952-59
Список изменений: №0 от 22.04.1988 (рег. 22.04.1988) «Срок действия продлен»
№1 от 01.12.1980 (рег. 04.09.1980) «Срок действия продлен»
№2 от 01.01.1984 (рег. 25.03.1983) «Срок действия продлен»


ГОСТ 8952-75
ГОСТ 8952-75
Автор: 
Домашняя страница автора: 

Страницы