Наша группа Вконтакте vk.com/4ertimcom

ГОСТ 6001-10000

ГОСТ 6625-85

E-mail автора: 

Вентиляторы шахтные местного проветривания. Технические условия

Обозначение: ГОСТ 6625-85
Статус: действующий
Название рус.: Вентиляторы шахтные местного проветривания. Технические условия
Название англ.: Mine auxiliary fans. Specifications
Дата актуализации текста: 19.06.2012
Дата актуализации описания: 19.06.2012
Дата введения в действие: 01.01.1986
Область и условия применения: Настоящий стандарт распространяется на шахтные вентиляторы местного проветривания с электрическим, пневматическим или электропневматическим приводом с номинальной подачей от 1 до 20 куб.м/с и номинальным полным давлением не менее 800 Па, предназначенные во взрывоопасном исполнении для проветривания тупиковых горных выработок при плотности воздуха до 1,3 кг/куб.м, температуре от 253 до 308 К, запыленности до 50 мг/куб.м и относительной влажности до 95% (при температуре 298 К) и в пылевлагозащищенном исполнении для проветривания помещений на поверхности шахт и для проветривания закрытых запыленных помещений класса П-11 и В-11а (классификация по “Правилам устройства электроустановок“, утвержденным Главэнергонадзором) при плотности воздуха до 1,2 кг/куб.м, температуре от 233 до 313 К, запыленности до 50 мг/куб.м и относительной влажности до 95% (при температуре 298 К), изготовляемые для нужд народного хозяйства и экспорта
Взамен: ГОСТ 6625-75
Список изменений: №1 от 01.04.1988 (рег. 05.10.1987) «Срок действия продлен»
№2 от 01.02.1989 (рег. 17.08.1988) «Срок действия продлен»
№3 от 01.01.1991 (рег. 21.09.1990) «Срок действия продлен»


ГОСТ 6625-85
ГОСТ 6625-85
ГОСТ 6625-85
ГОСТ 6625-85
ГОСТ 6625-85
ГОСТ 6625-85
ГОСТ 6625-85
ГОСТ 6625-85
ГОСТ 6625-85
ГОСТ 6625-85
ГОСТ 6625-85
ГОСТ 6625-85
ГОСТ 6625-85
ГОСТ 6625-85
ГОСТ 6625-85
ГОСТ 6625-85
ГОСТ 6625-85
ГОСТ 6625-85
ГОСТ 6625-85
Автор: 
Домашняя страница автора: 

ГОСТ 9124-85

E-mail автора: 

Проволока стальная луженая бандажная. Технические условия

Обозначение: ГОСТ 9124-85
Статус: действующий
Название рус.: Проволока стальная луженая бандажная. Технические условия
Название англ.: Tinned band steel wire. Specifications
Дата актуализации текста: 19.06.2012
Дата актуализации описания: 19.06.2012
Дата введения в действие: 01.07.1986
Область и условия применения: Настоящий стандарт распространяется на стальную луженую проволоку, предназначенную для изготовления бандажей роторов электрических машин
Взамен: ГОСТ 9124-59
Список изменений: №1 от 01.07.1991 (рег. 10.12.1990) «Срок действия продлен»


ГОСТ 9124-85
ГОСТ 9124-85
ГОСТ 9124-85
ГОСТ 9124-85
ГОСТ 9124-85
Автор: 
Домашняя страница автора: 

ГОСТ 9960-85

E-mail автора: 

Рельсы остряковые. Технические условия

Обозначение: ГОСТ 9960-85
Статус: действующий
Название рус.: Рельсы остряковые. Технические условия
Название англ.: Switch point rails. Specifications
Дата актуализации текста: 19.06.2012
Дата актуализации описания: 19.06.2012
Дата введения в действие: 01.01.1987
Область и условия применения: Настоящий стандарт распространяется на рельсы остряковые типов ОР75, ОР65 и ОР50, применяемые в конструкциях верхнего строения железнодорожного пути
Взамен: ГОСТ 9960-74


ГОСТ 9960-85
ГОСТ 9960-85
ГОСТ 9960-85
ГОСТ 9960-85
ГОСТ 9960-85
ГОСТ 9960-85
ГОСТ 9960-85
ГОСТ 9960-85
ГОСТ 9960-85
ГОСТ 9960-85
ГОСТ 9960-85
ГОСТ 9960-85
ГОСТ 9960-85
ГОСТ 9960-85
ГОСТ 9960-85
ГОСТ 9960-85
Автор: 
Домашняя страница автора: 

ГОСТ 9798-85

E-mail автора: 

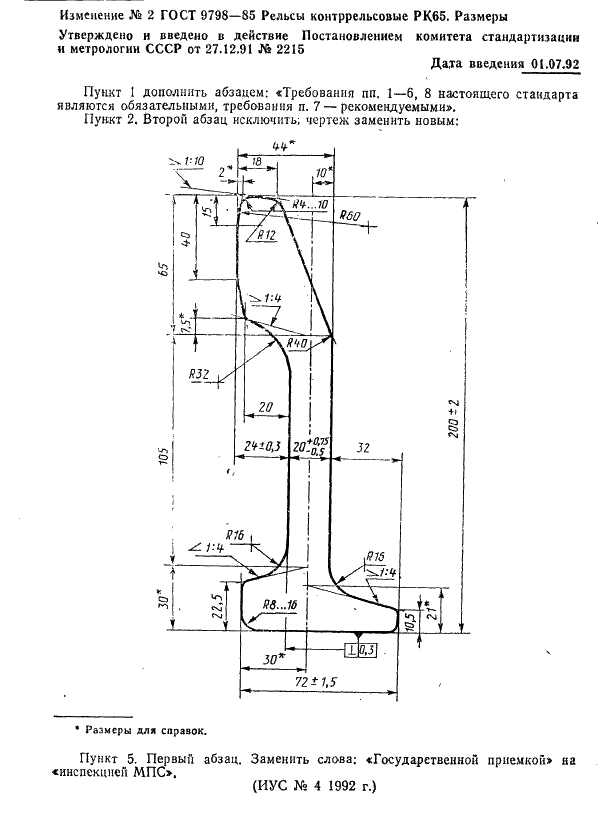
Рельсы контррельсовые РК65. Размеры

Обозначение: ГОСТ 9798-85
Статус: действующий
Название рус.: Рельсы контррельсовые РК65. Размеры
Название англ.: Rails for RK65 check rails. Dimensions
Дата актуализации текста: 19.06.2012
Дата актуализации описания: 19.06.2012
Дата введения в действие: 01.07.1985
Область и условия применения: Настоящий стандарт распространяется на контррельсовые рельсы РК65, применяемые в конструкциях верхнего строения пути с железнодорожными рельсами типа Р65
Взамен: ГОСТ 9798-71
Список изменений: №1 от 01.07.1990 (рег. 05.12.1989) «Срок действия продлен»
№2 от 01.07.1992 (рег. 27.12.1991) «Срок действия продлен»


ГОСТ 9798-85
ГОСТ 9798-85
ГОСТ 9798-85
ГОСТ 9798-85
ГОСТ 9798-85
ГОСТ 9798-85
ГОСТ 9798-85
ГОСТ 9798-85
Автор: 
Домашняя страница автора: 

ГОСТ 7885-86

E-mail автора: 

Углерод технический для производства резины. Технические условия

Обозначение: ГОСТ 7885-86
Статус: действующий
Название рус.: Углерод технический для производства резины. Технические условия
Название англ.: Carbon black for rubber industry. Specifications
Дата актуализации текста: 19.06.2012
Дата актуализации описания: 19.06.2012
Дата введения в действие: 01.01.1988
Область и условия применения: Настоящий стандарт распространяется на технический углерод, являющийся продуктом термоокислительного или термического разложения углеводородов в газовой фазе, и применяется в качестве усилителя при производстве резины для народного хозяйства и экспорта
Взамен: ГОСТ 7885-77
Список изменений: №0 от 01.12.2008 (рег. 01.12.2008) «Дата введения перенесена»
№1 от 01.08.1988 (рег. 02.03.1988) «Срок действия продлен»
№2 от 01.11.1990 (рег. 27.04.1990) «Срок действия продлен»
№3 от 01.10.1992 (рег. 16.06.1992) «Срок действия продлен»
№4 от 01.01.2009 (рег. 29.05.2008) «Текстовое изменение; Изменены ссылочные НД»
Приложение №1: Изменение №4 к ГОСТ 7885-86
Приложение №2: Поправка к ГОСТ 7885-86


ГОСТ 7885-86
ГОСТ 7885-86
ГОСТ 7885-86
ГОСТ 7885-86
ГОСТ 7885-86
ГОСТ 7885-86
ГОСТ 7885-86
ГОСТ 7885-86
ГОСТ 7885-86
ГОСТ 7885-86
ГОСТ 7885-86
ГОСТ 7885-86
ГОСТ 7885-86
ГОСТ 7885-86
ГОСТ 7885-86
ГОСТ 7885-86
ГОСТ 7885-86
ГОСТ 7885-86
ГОСТ 7885-86


Изменение №4 к ГОСТ 7885-86

Обозначение: Изменение №4 к ГОСТ 7885-86
Дата введения в действие: 01.01.2009
Дата актуализации: 25.10.2008


Изменение №4 к ГОСТ 7885-86
Изменение №4 к ГОСТ 7885-86
Изменение №4 к ГОСТ 7885-86


Поправка к ГОСТ 7885-86

Обозначение: Поправка к ГОСТ 7885-86
Дата введения в действие: 01.12.2008
Дата актуализации: 18.01.2009


Поправка к ГОСТ 7885-86
Автор: 
Домашняя страница автора: 

ГОСТ 6492-86

E-mail автора: 

Компрессоры поршневые холодопроизводительностью не менее 5,2 кВТ (4500 ккал/ч). Типы и основные параметры

Обозначение: ГОСТ 6492-86
Статус: действующий
Название рус.: Компрессоры поршневые холодопроизводительностью не менее 5,2 кВТ (4500 ккал/ч). Типы и основные параметры
Название англ.: Reciprocating one-step compressors of refrigerating capdeity more than 5,2 KW (4500 large calories/h). Types and basic parameters
Дата актуализации текста: 19.06.2012
Дата актуализации описания: 19.06.2012
Дата введения в действие: 01.01.1988
Область и условия применения: Настоящий стандарт распространяется на холодильные бескрейцкопфные компрессоры одноступенчатого сжатия общего применения по ГОСТ 15150 производительностью свыше 3,5 кВт, работающих на хладонах и аммиаке
Взамен: ГОСТ 6492-81
Список изменений: №1 от 01.07.1988 (рег. 10.02.1988) «Срок действия продлен»
№2 от 01.07.1989 (рег. 24.01.1989) «Срок действия продлен»
№3 от 01.08.1992 (рег. 27.01.1992) «Поправка»


ГОСТ 6492-86
ГОСТ 6492-86
ГОСТ 6492-86
ГОСТ 6492-86
ГОСТ 6492-86
ГОСТ 6492-86
ГОСТ 6492-86
ГОСТ 6492-86
Автор: 
Домашняя страница автора: 

ГОСТ 8027-86

E-mail автора: 

Фрезы червячные для шлицевых валов с прямобочным профилем. Технические условия

Обозначение: ГОСТ 8027-86
Статус: действующий
Название рус.: Фрезы червячные для шлицевых валов с прямобочным профилем. Технические условия
Название англ.: Straight-sided flank spline shaft hobs. Specifications
Дата актуализации текста: 19.06.2012
Дата актуализации описания: 19.06.2012
Дата введения в действие: 01.01.1988
Область и условия применения: Настоящий стандарт распространяется на фрезы червячные чистовые и черновые для нарезания зубьев на валах зубчатых соединений с прямобочным профилем
Взамен: ГОСТ 8027-60


ГОСТ 8027-86
ГОСТ 8027-86
ГОСТ 8027-86
ГОСТ 8027-86
ГОСТ 8027-86
ГОСТ 8027-86
ГОСТ 8027-86
ГОСТ 8027-86
ГОСТ 8027-86
ГОСТ 8027-86
ГОСТ 8027-86
ГОСТ 8027-86
ГОСТ 8027-86
ГОСТ 8027-86
ГОСТ 8027-86
ГОСТ 8027-86
ГОСТ 8027-86
ГОСТ 8027-86
ГОСТ 8027-86
ГОСТ 8027-86
ГОСТ 8027-86
ГОСТ 8027-86
ГОСТ 8027-86
Автор: 
Домашняя страница автора: 

ГОСТ 9980.1-86

E-mail автора: 

Материалы лакокрасочные. Правила приемки

Обозначение: ГОСТ 9980.1-86
Статус: действующий
Название рус.: Материалы лакокрасочные. Правила приемки
Название англ.: Paint materials. Rules of acceptance
Дата актуализации текста: 19.06.2012
Дата актуализации описания: 19.06.2012
Дата введения в действие: 01.07.1987
Область и условия применения: Настоящий стандарт распространяется на лакокрасочные материалы и устанавливает правила приемки
Взамен в части: ГОСТ 9980-80 в части разд. 1
Список изменений: №1 от 01.01.1994 (рег. 24.06.1993) «Срок действия продлен»


ГОСТ 9980.1-86
ГОСТ 9980.1-86
ГОСТ 9980.1-86
ГОСТ 9980.1-86
ГОСТ 9980.1-86
Автор: 
Домашняя страница автора: 

ГОСТ 7211-86

E-mail автора: 

Зубила слесарные. Технические условия

Обозначение: ГОСТ 7211-86
Статус: действующий
Название рус.: Зубила слесарные. Технические условия
Название англ.: Cold chisels. Specifications
Дата актуализации текста: 19.06.2012
Дата актуализации описания: 19.06.2012
Дата введения в действие: 01.07.1987
Область и условия применения: Настоящий стандарт распространяется на ручные слесарные зубила для рубки незакаленных металлов, изготовляемые для нужд народного хозяйства и для экспорта
Взамен: ГОСТ 7211-72
Список изменений: №1 от 01.11.1988 (рег. 26.04.1988) «Срок действия продлен»


ГОСТ 7211-86
ГОСТ 7211-86
ГОСТ 7211-86
ГОСТ 7211-86
ГОСТ 7211-86
ГОСТ 7211-86
ГОСТ 7211-86
ГОСТ 7211-86
ГОСТ 7211-86
ГОСТ 7211-86
ГОСТ 7211-86
Автор: 
Домашняя страница автора: 

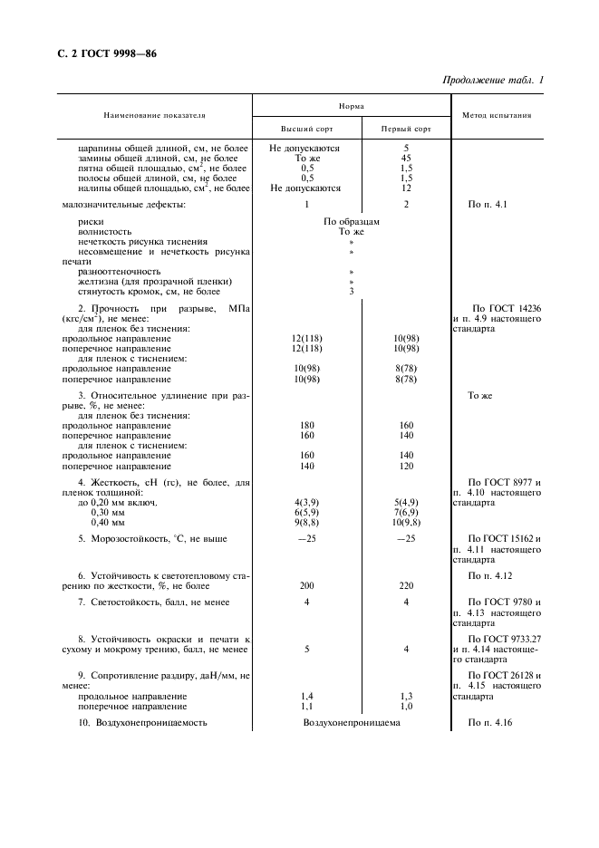
ГОСТ 9998-86

E-mail автора: 

Пленки поливинилхлоридные пластифицированные бытового назначения. Общие технические условия

Обозначение: ГОСТ 9998-86
Статус: действующий
Название рус.: Пленки поливинилхлоридные пластифицированные бытового назначения. Общие технические условия
Название англ.: Polyvinylchloride films for household use. General specifications
Дата актуализации текста: 19.06.2012
Дата актуализации описания: 19.06.2012
Дата введения в действие: 01.01.1988
Область и условия применения: Настоящий стандарт распространяется на поливинилхлоридные пластифицированные пленки бытового назначения на основе поливинилхлорида, изготовленные каландровым методом
Взамен: ГОСТ 9998-74
Список изменений: №1 от 01.02.1988 (рег. 21.10.1987) «Срок действия продлен»


ГОСТ 9998-86
ГОСТ 9998-86
ГОСТ 9998-86
ГОСТ 9998-86
ГОСТ 9998-86
ГОСТ 9998-86
ГОСТ 9998-86
ГОСТ 9998-86
ГОСТ 9998-86
ГОСТ 9998-86
ГОСТ 9998-86
Автор: 
Домашняя страница автора: 

Страницы