Наша группа Вконтакте vk.com/4ertimcom

ГОСТ 6001-10000

ГОСТ 7921-86

E-mail автора: 

Гильзы охотничьи металлические. Технические условия

Обозначение: ГОСТ 7921-86
Статус: действующий
Название рус.: Гильзы охотничьи металлические. Технические условия
Название англ.: Metal shot-gun cartridge-cases. Specifications
Дата актуализации текста: 19.06.2012
Дата актуализации описания: 19.06.2012
Дата введения в действие: 01.07.1987
Область и условия применения: Настоящий стандарт распространяется на металлические гильзы 10, 12, 16, 20, 28 и 32-го калибров для охотничьих патронов к гладкоствольному оружию, изготовляемые для нужд народного хозяйства и поставки на экспорт
Взамен: ГОСТ 7921-75


ГОСТ 7921-86
ГОСТ 7921-86
ГОСТ 7921-86
ГОСТ 7921-86
ГОСТ 7921-86
ГОСТ 7921-86
ГОСТ 7921-86
ГОСТ 7921-86
ГОСТ 7921-86
ГОСТ 7921-86
ГОСТ 7921-86
ГОСТ 7921-86
ГОСТ 7921-86
ГОСТ 7921-86
ГОСТ 7921-86
Автор: 
Домашняя страница автора: 

ГОСТ 6687.5-86

E-mail автора: 

Продукция безалкогольной промышленности. Методы определения органолептических показателей и объема продукции

Обозначение: ГОСТ 6687.5-86
Статус: действующий
Название рус.: Продукция безалкогольной промышленности. Методы определения органолептических показателей и объема продукции
Название англ.: Non-alcoholic idustry products. Methods for determination of organoleptic indices and products volume
Дата актуализации текста: 19.06.2012
Дата актуализации описания: 19.06.2012
Дата введения в действие: 01.07.1987
Область и условия применения: Настоящий стандарт распространяется на продукцию безалкогольной промышленности (жидкие безалкогольные и слабоалкогольные напитки, сиропы, концентрат квасного сусла, концентраты и экстракты квасов, колер и др.) и устанавливает методы определения органолептических показателей качества, методы определения объема продукции
Взамен: ГОСТ 6687.5-75
Список изменений: №0 от 10.05.2007 (рег. 10.05.2007) «Дата введения перенесена»
№1 от 01.06.1991 (рег. 27.11.1990) «Поправка»
Приложение №1: Поправка к ГОСТ 6687.5-86


ГОСТ 6687.5-86
ГОСТ 6687.5-86
ГОСТ 6687.5-86
ГОСТ 6687.5-86
ГОСТ 6687.5-86
ГОСТ 6687.5-86
ГОСТ 6687.5-86
ГОСТ 6687.5-86
ГОСТ 6687.5-86


Поправка к ГОСТ 6687.5-86

Обозначение: Поправка к ГОСТ 6687.5-86
Дата введения в действие: 10.05.2007
Дата актуализации: 15.01.2008


Поправка к ГОСТ 6687.5-86
Автор: 
Домашняя страница автора: 

ГОСТ 6687.4-86

E-mail автора: 

Напитки безалкогольные, квасы и сиропы. Методы определения кислотности

Обозначение: ГОСТ 6687.4-86
Статус: действующий
Название рус.: Напитки безалкогольные, квасы и сиропы. Методы определения кислотности
Название англ.: Non-alcoholic drinks, kvasses and syrups. Method of acidity determination
Дата актуализации текста: 19.06.2012
Дата актуализации описания: 19.06.2012
Дата введения в действие: 01.07.1987
Область и условия применения: Настоящий стандарт распространяется на безалкогольные и слабоалкогольные напитки (газированные и негазированные), квасы и товарные сиропы и устанавливает метод определения кислотности
Взамен: ГОСТ 6687.4-75
Список изменений: №0 от 10.05.2007 (рег. 10.05.2007) «Дата введения перенесена»
Приложение №1: Поправка к ГОСТ 6687.4-86


ГОСТ 6687.4-86
ГОСТ 6687.4-86
ГОСТ 6687.4-86
ГОСТ 6687.4-86
ГОСТ 6687.4-86
ГОСТ 6687.4-86
ГОСТ 6687.4-86


Поправка к ГОСТ 6687.4-86

Обозначение: Поправка к ГОСТ 6687.4-86
Дата введения в действие: 10.05.2007
Дата актуализации: 15.01.2008


Поправка к ГОСТ 6687.4-86
Автор: 
Домашняя страница автора: 

ГОСТ 6645-86

E-mail автора: 

Полотна ножовочные для металла. Технические условия

Обозначение: ГОСТ 6645-86
Статус: утратил силу в РФ
Название рус.: Полотна ножовочные для металла. Технические условия
Название англ.: Saw blades for metal cutting
Дата актуализации текста: 19.06.2012
Дата актуализации описания: 19.06.2012
Дата введения в действие: 01.07.1987
Область и условия применения: Настоящий стандарт распространяется на ручные и машинные ножовочные полотна для металла
Взамен: ГОСТ 6645-68
Список изменений: №0 от 01.01.2011 (рег. 15.10.2009) «Поправка к изменению»
№1 от 01.01.1990 (рег. 17.04.1989) «Срок действия продлен»
№2 от 01.01.1992 (рег. 09.04.1991) «Срок действия продлен»
№3 от 01.11.1992 (рег. 02.04.1992) «Срок действия продлен»


ГОСТ 6645-86
ГОСТ 6645-86
ГОСТ 6645-86
ГОСТ 6645-86
ГОСТ 6645-86
ГОСТ 6645-86
ГОСТ 6645-86
ГОСТ 6645-86
ГОСТ 6645-86
ГОСТ 6645-86
ГОСТ 6645-86
Автор: 
Домашняя страница автора: 

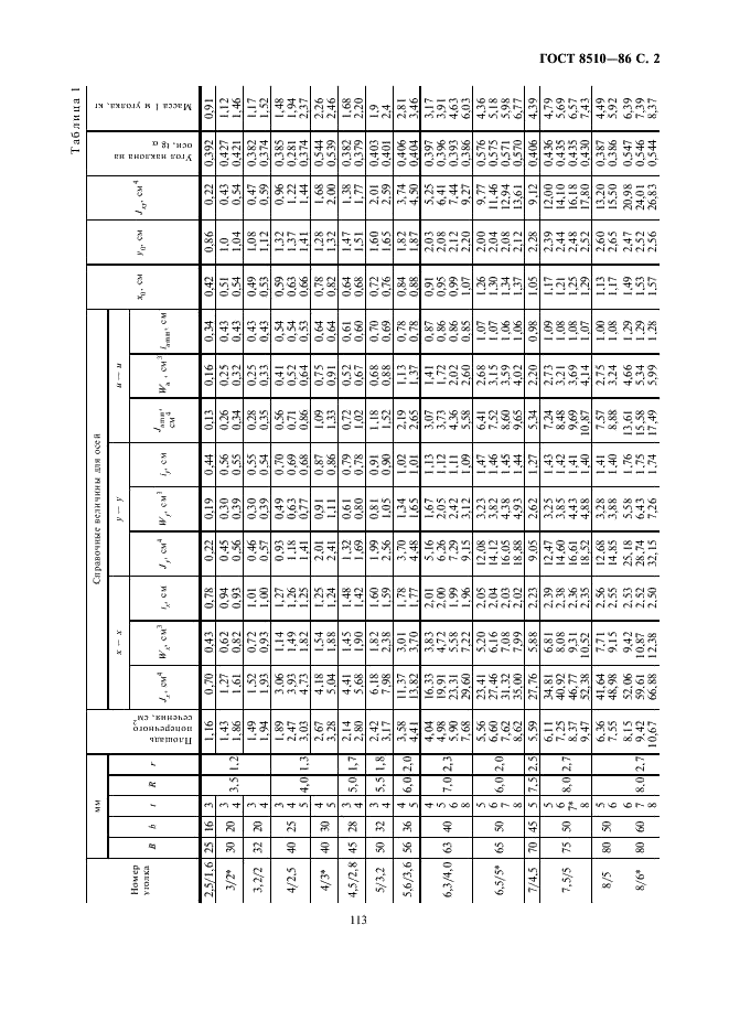
ГОСТ 8510-86

E-mail автора: 

Уголки стальные горячекатаные неравнополочные. Сортамент

Обозначение: ГОСТ 8510-86
Статус: действующий
Название рус.: Уголки стальные горячекатаные неравнополочные. Сортамент
Название англ.: Hot-rolled steel unequal-leg angles. Dimensions
Дата актуализации текста: 19.06.2012
Дата актуализации описания: 19.06.2012
Дата введения в действие: 01.07.1987
Область и условия применения: Настоящий стандарт распространяется на стальные горячекатаные неравнополочные уголки
Взамен: ГОСТ 8510-72
Список изменений: №1 от 01.08.1991 (рег. 28.12.1990) «Срок действия продлен»


ГОСТ 8510-86
ГОСТ 8510-86
ГОСТ 8510-86
ГОСТ 8510-86
ГОСТ 8510-86
Автор: 
Домашняя страница автора: 

ГОСТ 7850-86

E-mail автора: 

Капролактам. Технические условия

Обозначение: ГОСТ 7850-86
Статус: действующий
Название рус.: Капролактам. Технические условия
Название англ.: Caprolactam. Specifications
Дата актуализации текста: 19.06.2012
Дата актуализации описания: 19.06.2012
Дата введения в действие: 01.01.1988
Область и условия применения: Настоящий стандарт распространяется на капролактам или лактам эпсилон-аминокапроновой кислоты, получаемый синтетическим путем из бензола, анилина, фенола и толуола, и устанавливает требования к капролактаму, изготовляемому для нужд народного хозяйства и для экспорта
Взамен в части: ГОСТ 7850-74, кроме пп. 3.5 - 3.10, приложений 1, 2
Список изменений: №1 от 01.01.1991 (рег. 27.10.1989) «Срок действия продлен»
№2 от 01.01.1993 (рег. 03.03.1992) «Срок действия продлен»
№3 от 01.07.1996 (рег. 27.02.1996) «Срок действия продлен»


ГОСТ 7850-86
ГОСТ 7850-86
ГОСТ 7850-86
ГОСТ 7850-86
ГОСТ 7850-86
ГОСТ 7850-86
ГОСТ 7850-86
ГОСТ 7850-86
ГОСТ 7850-86
ГОСТ 7850-86
ГОСТ 7850-86
ГОСТ 7850-86
ГОСТ 7850-86
ГОСТ 7850-86
ГОСТ 7850-86
ГОСТ 7850-86
ГОСТ 7850-86
Автор: 
Домашняя страница автора: 

ГОСТ 8846-87

E-mail автора: 

Полотна и изделия трикотажные. Методы определения линейных размеров, перекоса, числа петельных рядов и петельных столбиков и длины нити в петле

Обозначение: ГОСТ 8846-87
Статус: действующий
Название рус.: Полотна и изделия трикотажные. Методы определения линейных размеров, перекоса, числа петельных рядов и петельных столбиков и длины нити в петле
Название англ.: Knitted fabrics and garments. Methods for determination of linear demensions, distortion number of courses and wales and yarn length in the loop
Дата актуализации текста: 19.06.2012
Дата актуализации описания: 19.06.2012
Дата введения в действие: 01.01.1989
Область и условия применения: Настоящий стандарт распространяется на суровые и отделанные трикотажные полотна, полуфабрикаты и изделия из всех видов пряжи и нитей и устанавливает методы определения: линейных размеров изделия; перекоса петельных столбиков и петельных рядов для товарного полотна и изделий; числа петельных рядов и петельных столбиков полотен; числа петельных рядов и петельных столбиков изделий; длины нити в петле полотен и изделий.
Методы определения линейных размеров изделий; перекоса петельных столбиков и петельных рядов; числа петельных рядов и петельных столбиков полотен и изделий применяются при разработке технической и нормативно-технической документации, при разработке и постановке продукции на производство, при контроле технологических процессов производства
Взамен: ГОСТ 8846-77


ГОСТ 8846-87
ГОСТ 8846-87
ГОСТ 8846-87
ГОСТ 8846-87
ГОСТ 8846-87
ГОСТ 8846-87
ГОСТ 8846-87
ГОСТ 8846-87
ГОСТ 8846-87
ГОСТ 8846-87
ГОСТ 8846-87
ГОСТ 8846-87
ГОСТ 8846-87
ГОСТ 8846-87
ГОСТ 8846-87
ГОСТ 8846-87
ГОСТ 8846-87
ГОСТ 8846-87
ГОСТ 8846-87
Автор: 
Домашняя страница автора: 

ГОСТ 8775.2-87

E-mail автора: 

Литий. Метод определения натрия, калия и кальция

Обозначение: ГОСТ 8775.2-87
Статус: действующий
Название рус.: Литий. Метод определения натрия, калия и кальция
Название англ.: Lithium. Method of determination of sodium, potassium and calcium
Дата актуализации текста: 19.06.2012
Дата актуализации описания: 19.06.2012
Дата введения в действие: 01.07.1988
Область и условия применения: Настоящий стандарт устанавливает пламенно-фотометрический метод определения примесей натрия, калия и кальция (при массовой доле натрия от 0,003 до 0,2%, калия от 0,001 до 0,02%, кальция от 0,005 до 0,05%) в литии.
Метод основан на возбуждении в воздушно-ацетиленовом пламени эмиссионного спектра натрия, калия и кальция и фотоэлектрической регистрации интенсивностей аналитических линий натрия, калия и кальция
Взамен в части: ГОСТ 8775-75 в части разд. 3


ГОСТ 8775.2-87
ГОСТ 8775.2-87
ГОСТ 8775.2-87
ГОСТ 8775.2-87
ГОСТ 8775.2-87
Автор: 
Домашняя страница автора: 

ГОСТ 9459-87

E-mail автора: 

Приборы для измерения конических зубчатых колес и пар. Типы. Основные параметры. Нормы точности

Обозначение: ГОСТ 9459-87
Статус: действующий
Название рус.: Приборы для измерения конических зубчатых колес и пар. Типы. Основные параметры. Нормы точности
Название англ.: Gauges for bevel gears and gear pairs. Types. Basic parameters. Accuracy limits
Дата актуализации текста: 19.06.2012
Дата актуализации описания: 19.06.2012
Дата введения в действие: 01.01.1988
Область и условия применения: Настоящий стандарт распространяется на приборы для измерения конических зубчатых колес и пар с модулем от 1 мм и с допусками.
Настоящий стандарт не распространяется на специальные приборы (например встраиваемые в автоматические линии и др.)
Взамен: ГОСТ 9459-79
Список изменений: №0 от 29.09.1992 (рег. 29.09.1992) «Срок действия продлен»


ГОСТ 9459-87
ГОСТ 9459-87
ГОСТ 9459-87
ГОСТ 9459-87
ГОСТ 9459-87
ГОСТ 9459-87
ГОСТ 9459-87
Автор: 
Домашняя страница автора: 

ГОСТ 6629-88

E-mail автора: 

Двери деревянные внутренние для жилых и общественных зданий. Типы и конструкция

Обозначение: ГОСТ 6629-88
Статус: действующий
Название рус.: Двери деревянные внутренние для жилых и общественных зданий. Типы и конструкция
Название англ.: Wooden inner doors for dwellings and public buildings. Types and structure
Дата актуализации текста: 19.06.2012
Дата актуализации описания: 19.06.2012
Дата введения в действие: 01.01.1989
Область и условия применения: Настоящий стандарт распространяется на деревянные внутренние двери для жилых и общественных зданий, а также для административных и вспомогательных зданий и помещений предприятий различных отраслей народного хозяйства.
Стандарт не распространяется на двери специального назначения (в т.ч. противопожарные и звукоизоляционные) и двери из древесины ценных пород
Взамен: ГОСТ 6629-74


ГОСТ 6629-88
ГОСТ 6629-88
ГОСТ 6629-88
ГОСТ 6629-88
ГОСТ 6629-88
ГОСТ 6629-88
ГОСТ 6629-88
ГОСТ 6629-88
ГОСТ 6629-88
ГОСТ 6629-88
ГОСТ 6629-88
ГОСТ 6629-88
Автор: 
Домашняя страница автора: 

Страницы