Наша группа Вконтакте vk.com/4ertimcom

ГОСТ 6001-10000

ГОСТ 9557-87

E-mail автора: 

Поддон плоский деревянный размером 800х1200 мм. Технические условия

Обозначение: ГОСТ 9557-87
Статус: действующий
Название рус.: Поддон плоский деревянный размером 800х1200 мм. Технические условия
Название англ.: Flat timber pallet with dimensions 800x1200 mm. Specifications
Дата актуализации текста: 19.06.2012
Дата актуализации описания: 19.06.2012
Дата введения в действие: 01.01.1988
Область и условия применения: Настоящий стандарт распространяется на плоский четырехзаходный деревянный поддон типа 2ПО4 размером 800х1200 мм многократного применения, предназначенный для формирования транспортных пакетов и осуществления механизированных погрузочно-разгрузочных, транспортных и складских операций на железнодорожном, автомобильном и водном транспорте
Взамен: ГОСТ 9557-73
Список изменений: №1 от 01.07.1996 (рег. 01.02.1996) «Срок действия продлен»


ГОСТ 9557-87
ГОСТ 9557-87
ГОСТ 9557-87
ГОСТ 9557-87
ГОСТ 9557-87
ГОСТ 9557-87
ГОСТ 9557-87
ГОСТ 9557-87
ГОСТ 9557-87
ГОСТ 9557-87
ГОСТ 9557-87
ГОСТ 9557-87
ГОСТ 9557-87
ГОСТ 9557-87
Автор: 
Домашняя страница автора: 

ГОСТ 7220-87

E-mail автора: 

Звонки электрические бытовые. Общие технические условия

Обозначение: ГОСТ 7220-87
Статус: действующий
Название рус.: Звонки электрические бытовые. Общие технические условия
Название англ.: Electric call bells for domestic use. General specifications
Дата актуализации текста: 19.06.2012
Дата актуализации описания: 19.06.2012
Дата введения в действие: 01.01.1989
Область и условия применения: Настоящий стандарт распространяется на электрические бытовые звонки, предназначенные для подачи кратковременного звукового сигнала в жилых, общественных и служебных помещениях, изготавливаемые для нужд народного хозяйства и экспорта в страны с умеренным и тропическим климатом.
Стандарт не распространяется на звонки, предназначенные для установки во взрывоопасных помещениях и применяемые в особых условиях (пыль, пары, газы и т. п.), а также на звонки специального назначения
Взамен: ГОСТ 7220-80
Список изменений: №1 от 01.01.1993 (рег. 28.12.1991) «Срок действия продлен»


ГОСТ 7220-87
ГОСТ 7220-87
ГОСТ 7220-87
ГОСТ 7220-87
ГОСТ 7220-87
ГОСТ 7220-87
ГОСТ 7220-87
ГОСТ 7220-87
ГОСТ 7220-87
ГОСТ 7220-87
ГОСТ 7220-87
ГОСТ 7220-87
ГОСТ 7220-87
ГОСТ 7220-87
ГОСТ 7220-87
ГОСТ 7220-87
ГОСТ 7220-87
ГОСТ 7220-87
ГОСТ 7220-87
ГОСТ 7220-87
ГОСТ 7220-87
ГОСТ 7220-87
ГОСТ 7220-87
ГОСТ 7220-87
ГОСТ 7220-87
ГОСТ 7220-87
ГОСТ 7220-87
Автор: 
Домашняя страница автора: 

ГОСТ 6854-88

E-mail автора: 

Деревообрабатывающее оборудование. Станки ленточнопильные столярные. Основные параметры. Нормы точности

Обозначение: ГОСТ 6854-88
Статус: действующий
Название рус.: Деревообрабатывающее оборудование. Станки ленточнопильные столярные. Основные параметры. Нормы точности
Название англ.: Woodworking equipment. Bandsawing machines. Basic parameters standards of accuracy
Дата актуализации текста: 19.06.2012
Дата актуализации описания: 19.06.2012
Дата введения в действие: 01.07.1989
Область и условия применения: Настоящий стандарт распространяется на ленточнопильные сторярные станки, предназначенные для прямолинейной и криволинейной распиловки древесины
Взамен: ГОСТ 6854-77 ГОСТ 7833-75


ГОСТ 6854-88
ГОСТ 6854-88
ГОСТ 6854-88
ГОСТ 6854-88
ГОСТ 6854-88
ГОСТ 6854-88
ГОСТ 6854-88
ГОСТ 6854-88
ГОСТ 6854-88
ГОСТ 6854-88
ГОСТ 6854-88
ГОСТ 6854-88
ГОСТ 6854-88
ГОСТ 6854-88
ГОСТ 6854-88
Автор: 
Домашняя страница автора: 

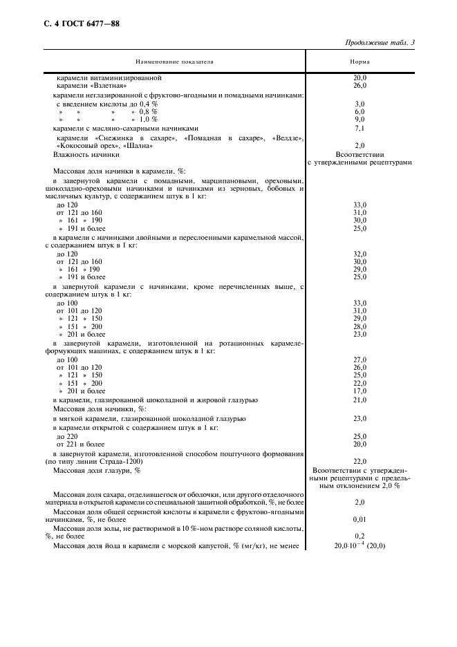
ГОСТ 6477-88

E-mail автора: 

Карамель. Общие технические условия

Обозначение: ГОСТ 6477-88
Статус: действующий
Название рус.: Карамель. Общие технические условия
Название англ.: Caramel. General specifications
Дата актуализации текста: 19.06.2012
Дата актуализации описания: 19.06.2012
Дата введения в действие: 01.07.1989
Область и условия применения: Настоящий стандарт распространяется на карамель, изготовляемую для нужд народного хозяйства и для экспорта
Взамен: ГОСТ 6477-69 ГОСТ 13936-68
Список изменений: №1 от 01.07.1989 (рег. 11.01.1989) «Срок действия продлен»


ГОСТ 6477-88
ГОСТ 6477-88
ГОСТ 6477-88
ГОСТ 6477-88
ГОСТ 6477-88
ГОСТ 6477-88
ГОСТ 6477-88
ГОСТ 6477-88
ГОСТ 6477-88
ГОСТ 6477-88
ГОСТ 6477-88
Автор: 
Домашняя страница автора: 

ГОСТ 8313-88

E-mail автора: 

Этилцеллозольв технический. Технические условия

Обозначение: ГОСТ 8313-88
Статус: действующий
Название рус.: Этилцеллозольв технический. Технические условия
Название англ.: Technical ethylcellosolve. Specifications
Дата актуализации текста: 19.06.2012
Дата актуализации описания: 19.06.2012
Дата введения в действие: 01.01.1989
Область и условия применения: Настоящий стандарт распространяется на технический этилцеллозольв (моноэтиловый эфир этиленгликоля), предназначенный для применения в химической, медицинской, оборонной и других отраслях промышленности
Взамен: ГОСТ 8313-76
Список изменений: №1 от 01.07.1996 (рег. 29.02.1996) «Срок действия продлен»


ГОСТ 8313-88
ГОСТ 8313-88
ГОСТ 8313-88
ГОСТ 8313-88
ГОСТ 8313-88
ГОСТ 8313-88
ГОСТ 8313-88
ГОСТ 8313-88
ГОСТ 8313-88
ГОСТ 8313-88
ГОСТ 8313-88
ГОСТ 8313-88
ГОСТ 8313-88
ГОСТ 8313-88
ГОСТ 8313-88
Автор: 
Домашняя страница автора: 

ГОСТ 8747-88

E-mail автора: 

Изделия асбестоцементные листовые. Методы испытаний

Обозначение: ГОСТ 8747-88
Статус: действующий
Название рус.: Изделия асбестоцементные листовые. Методы испытаний
Название англ.: Asbestos-cement sheet products. Test methods
Дата актуализации текста: 19.06.2012
Дата актуализации описания: 19.06.2012
Дата введения в действие: 01.07.1989
Область и условия применения: Настоящий стандарт распространяется на асбестоцементные листовые изделия и устанавливает методы их испытаний с целью контроля следующих показателей: внешнего вида; линейных размеров и формы; предела прочности при изгибе; несущей способности волнистых листов; прочности волнистых листов при плавочной нагрузке; прочности при сосредоточенной нагрузке от штампа; ударной вязкости; плотности; водопоглощения; водонепроницаемости; морозостойкости; прочности цветного покрытия на истирание
Взамен: ГОСТ 8747-83


ГОСТ 8747-88
ГОСТ 8747-88
ГОСТ 8747-88
ГОСТ 8747-88
ГОСТ 8747-88
ГОСТ 8747-88
ГОСТ 8747-88
ГОСТ 8747-88
ГОСТ 8747-88
ГОСТ 8747-88
ГОСТ 8747-88
ГОСТ 8747-88
ГОСТ 8747-88
ГОСТ 8747-88
ГОСТ 8747-88
ГОСТ 8747-88
ГОСТ 8747-88
ГОСТ 8747-88
ГОСТ 8747-88
ГОСТ 8747-88
ГОСТ 8747-88
ГОСТ 8747-88
ГОСТ 8747-88
Автор: 
Домашняя страница автора: 

ГОСТ 8248-88

E-mail автора: 

Ножницы сортовые кривошипные закрытые. Параметры и размеры. Нормы точности

Обозначение: ГОСТ 8248-88
Статус: действующий
Название рус.: Ножницы сортовые кривошипные закрытые. Параметры и размеры. Нормы точности
Название англ.: Round, flat, section cutting grank shears closed construction. Parameters and dimensions accuaracy norms
Дата актуализации текста: 19.06.2012
Дата актуализации описания: 19.06.2012
Дата введения в действие: 01.07.1989
Область и условия применения: Настоящий стандарт распространяется на закрытые кривошипные сортовые ножницы, предназначенные для отрезки на мерные длины прутков круглого, квадратного и прямоугольного сечения, изготовляемые для нужд народного хозяйства
Взамен: ГОСТ 8248-77 ГОСТ 15626-80


ГОСТ 8248-88
ГОСТ 8248-88
ГОСТ 8248-88
ГОСТ 8248-88
ГОСТ 8248-88
ГОСТ 8248-88
ГОСТ 8248-88
ГОСТ 8248-88
ГОСТ 8248-88
ГОСТ 8248-88
ГОСТ 8248-88
ГОСТ 8248-88
Автор: 
Домашняя страница автора: 

ГОСТ 7009-88

E-mail автора: 

Джемы. Общие технические условия

Обозначение: ГОСТ 7009-88
Статус: утратил силу в РФ
Название рус.: Джемы. Общие технические условия
Название англ.: Jams. General specifications
Дата актуализации текста: 19.06.2012
Дата актуализации описания: 19.06.2012
Дата введения в действие: 01.01.1989
Область и условия применения: Настоящий стандарт распространяется на джемы из плодов, ягод, дыни или тыквы, подготовленных соответствующим образом, уваренных с сахаром или сахаропаточным сиропом с добавлением или без добавления пищевого пектина, пищевых кислот и пряностей, и устанавливает требования к продукции, изготовляемой для потребностей экономики страны и экспорта
Взамен: ГОСТ 7009-71 ГОСТ 10.11-69 ТУ 111-4-1-81 ТУ 111-4-4-81 РСТ ЭССР 334-85
Список изменений: №0 от 01.01.2009 (рег. 27.12.2007) «Поправка к изменению»
№1 от 01.07.1992 (рег. 23.12.1991) «Срок действия продлен»
№2 от 01.01.1998 (рег. 10.06.1997) «Срок действия продлен»


ГОСТ 7009-88
ГОСТ 7009-88
ГОСТ 7009-88
ГОСТ 7009-88
ГОСТ 7009-88
ГОСТ 7009-88
ГОСТ 7009-88
ГОСТ 7009-88
ГОСТ 7009-88
ГОСТ 7009-88
ГОСТ 7009-88
Автор: 
Домашняя страница автора: 

ГОСТ 7474-88

E-mail автора: 

Изделия трикотажные верхние для женщин и девочек. Общие технические условия

Обозначение: ГОСТ 7474-88
Статус: заменён
Название рус.: Изделия трикотажные верхние для женщин и девочек. Общие технические условия
Название англ.: Knitted outerwear for women and girls. General specifications
Дата актуализации текста: 19.06.2012
Дата актуализации описания: 19.06.2012
Дата введения в действие: 01.01.1992
Область и условия применения: Настоящий стандарт распространяется на верхние трикотажные изделия из всех видов трикотажных полотен и купонов для женщин и девочек
Заменяющий: ГОСТ 31409-2009
Взамен в части: ГОСТ 7474-81 в части изделий для женщин
Список изменений: №0 от 27.11.1989 (рег. 27.11.1989) «Утратил силу в РФ»
№0 от 14.11.1990 (рег. 14.11.1990) «Утратил силу в РФ»
№0 от 01.01.2010 (рег. 18.12.2008) «Поправка к изменению»
№0 от 01.07.2010 (рег. 15.12.2009) «Поправка к изменению»


ГОСТ 7474-88
ГОСТ 7474-88
ГОСТ 7474-88
ГОСТ 7474-88
ГОСТ 7474-88
ГОСТ 7474-88
ГОСТ 7474-88
ГОСТ 7474-88
ГОСТ 7474-88
ГОСТ 7474-88
ГОСТ 7474-88
ГОСТ 7474-88
ГОСТ 7474-88
ГОСТ 7474-88
ГОСТ 7474-88
Автор: 
Домашняя страница автора: 

ГОСТ 9219-88

E-mail автора: 

Аппараты электрические тяговые. Общие технические требования

Обозначение: ГОСТ 9219-88
Статус: действующий
Название рус.: Аппараты электрические тяговые. Общие технические требования
Название англ.: Electrical apparatus. General requirements
Дата актуализации текста: 19.06.2012
Дата актуализации описания: 19.06.2012
Дата введения в действие: 01.01.1990
Область и условия применения: Настоящий стандарт распространяется на тяговые электрические аппараты, предназначенные для работы на подвижном составе рельсового транспорта и троллейбусах.
Стандарт не распространяется на тяговые электрические аппараты, работающие во взрывоопасной или химически агрессивной среде
Взамен: ГОСТ 9219-75


ГОСТ 9219-88
ГОСТ 9219-88
ГОСТ 9219-88
ГОСТ 9219-88
ГОСТ 9219-88
ГОСТ 9219-88
ГОСТ 9219-88
ГОСТ 9219-88
ГОСТ 9219-88
ГОСТ 9219-88
ГОСТ 9219-88
ГОСТ 9219-88
ГОСТ 9219-88
ГОСТ 9219-88
ГОСТ 9219-88
ГОСТ 9219-88
ГОСТ 9219-88
ГОСТ 9219-88
ГОСТ 9219-88
ГОСТ 9219-88
ГОСТ 9219-88
ГОСТ 9219-88
ГОСТ 9219-88
ГОСТ 9219-88
ГОСТ 9219-88
ГОСТ 9219-88
ГОСТ 9219-88
ГОСТ 9219-88
ГОСТ 9219-88
ГОСТ 9219-88
ГОСТ 9219-88
ГОСТ 9219-88
ГОСТ 9219-88
ГОСТ 9219-88
ГОСТ 9219-88
ГОСТ 9219-88
Автор: 
Домашняя страница автора: 

Страницы