Наша группа Вконтакте vk.com/4ertimcom

ГОСТ 6001-10000

ГОСТ 7934.4-74

E-mail автора: 

Масла часовые загущенные. Метод испытания на коллоидную стабильность

Обозначение: ГОСТ 7934.4-74
Статус: действующий
Название рус.: Масла часовые загущенные. Метод испытания на коллоидную стабильность
Название англ.: Watch greases. Method for the determination of colloid stability
Дата актуализации текста: 19.06.2012
Дата актуализации описания: 19.06.2012
Дата введения в действие: 01.07.1975
Область и условия применения: Настоящий стандарт распространяется на часовые загущенные масла и устанавливает метод испытания на коллоидную стабильность.
Сущность метода заключается в определении устойчивости масла к расслаиванию и выделению осадка
Взамен в части: ГОСТ 7934-56 в части разд. IV
Список изменений: №1 от 01.08.1985 (рег. 19.03.1985) «Срок действия продлен»


ГОСТ 7934.4-74
Автор: 
Домашняя страница автора: 

ГОСТ 7170-66

E-mail автора: 

Отруби ржаные. Технические условия

Обозначение: ГОСТ 7170-66
Статус: действующий
Название рус.: Отруби ржаные. Технические условия
Название англ.: Wheat rye pran. Specifications
Дата актуализации текста: 19.06.2012
Дата актуализации описания: 19.06.2012
Дата введения в действие: 01.01.1967
Область и условия применения: Настоящий стандарт распространяется на отруби, получаемые в качестве побочного продукта при сортовых и обойных помолах ржи
Взамен: ГОСТ 7170-54
Список изменений: №1 от 01.05.1983 (рег. 20.12.1982) «Срок действия продлен»
№2 от 01.06.1993 (рег. 05.10.1992) «Срок действия продлен»


ГОСТ 7170-66
ГОСТ 7170-66
ГОСТ 7170-66
Автор: 
Домашняя страница автора: 

ГОСТ 7936-76

E-mail автора: 

Масло часовое загущенное ПС-4.Технические условия

Обозначение: ГОСТ 7936-76
Статус: действующий
Название рус.: Масло часовое загущенное ПС-4.Технические условия
Название англ.: Horological thickened oil ПС-4. Specifications
Дата актуализации текста: 19.06.2012
Дата актуализации описания: 19.06.2012
Дата введения в действие: 01.01.1977
Область и условия применения: Настоящий стандарт распространяется на загущенное часовое масло ПС-4 (смазка часовая ПС-4), применяемое для смазывания пружин будильников, настольных, настенных и напольных часов и других приборов, работающих при температуре от минус 10 до плюс 50 град. С, и изготовленное из смеси фракций вакуумной перегонки нефтяных масел, костного масла и твердых углеводородов
Взамен в части: ГОСТ 7936-56 в части часовой смазки ПС-4
Список изменений: №1 от 01.01.1987 (рег. 14.07.1986) «Поправка»


ГОСТ 7936-76
ГОСТ 7936-76
ГОСТ 7936-76
Автор: 
Домашняя страница автора: 

ГОСТ Р ИСО 8082-2005

E-mail автора: 

Машины для леса самоходные. Устройства защиты при опрыскивании. Технические требования и методы испытаний

Обозначение: ГОСТ Р ИСО 8082-2005
Статус: действующий
Название рус.: Машины для леса самоходные. Устройства защиты при опрыскивании. Технические требования и методы испытаний
Название англ.: Self-propelled machinery for forestry. Roll-over protective structures. Performance requirements and test methods
Дата актуализации текста: 19.06.2012
Дата актуализации описания: 19.06.2012
Дата введения в действие: 01.01.2007
Область и условия применения: Настоящий стандарт распространяется на самоходные машины для леса по ИСО 6814, такие как трелевочные, валочно-пакетирующие, погрузочно-транспортные, погрузчики леса и многооперационные машины для обработки круглых лесоматериалов (процессоры и харвестеры), и устанавливает технические требования и методы испытаний устройств защиты при опрокидывании.
Стандарт не распространяется на машины с кабиной и стреловым механизмом на поворотной платформе
Взамен: ГОСТ Р ИСО 8082-99


ГОСТ Р ИСО 8082-2005
ГОСТ Р ИСО 8082-2005
ГОСТ Р ИСО 8082-2005
ГОСТ Р ИСО 8082-2005
ГОСТ Р ИСО 8082-2005
ГОСТ Р ИСО 8082-2005
ГОСТ Р ИСО 8082-2005
ГОСТ Р ИСО 8082-2005
ГОСТ Р ИСО 8082-2005
ГОСТ Р ИСО 8082-2005
ГОСТ Р ИСО 8082-2005
ГОСТ Р ИСО 8082-2005
ГОСТ Р ИСО 8082-2005
ГОСТ Р ИСО 8082-2005
ГОСТ Р ИСО 8082-2005
ГОСТ Р ИСО 8082-2005
ГОСТ Р ИСО 8082-2005
ГОСТ Р ИСО 8082-2005
Автор: 
Домашняя страница автора: 

ГОСТ Р ИСО 8528-1-2005

E-mail автора: 

Электроагрегаты генераторные переменного тока с приводом от двигателя внутреннего сгорания. Часть 1. Применение, технические характеристики и параметры

Обозначение: ГОСТ Р ИСО 8528-1-2005
Статус: действующий
Название рус.: Электроагрегаты генераторные переменного тока с приводом от двигателя внутреннего сгорания. Часть 1. Применение, технические характеристики и параметры
Название англ.: Reciprocating internal combustion engine driven alternating current generating sets. Part 1. Application, ratings and performance
Дата актуализации текста: 19.06.2012
Дата актуализации описания: 19.06.2012
Дата введения в действие: 01.01.2007
Область и условия применения: Настоящий стандарт распространяется на генераторные электроагрегаты переменного тока с приводом от двигателя внутреннего сгорания, применяемые на суше и на море, за исключением электроагрегатов, используемых на самолетах или для привода наземных автотранспортных средств и локомотивов.
Настоящий стандарт устанавливает классификацию областей применения, технические характеристики и параметры электроагрегатов, состоящих из двигателя внутреннего сгорания, генератора переменного тока, аппаратуры управления, коммутационной аппаратуры и оборудования для собственных нужд.
Некоторые положения настоящего стандарта могут быть использованы для электроагрегатов с другими типами первичных двигателей, например паровыми двигателями и газовыми двигателями работающими на биогазе
Заменяющий: ГОСТ Р 53987-2010


ГОСТ Р ИСО 8528-1-2005
ГОСТ Р ИСО 8528-1-2005
ГОСТ Р ИСО 8528-1-2005
ГОСТ Р ИСО 8528-1-2005
ГОСТ Р ИСО 8528-1-2005
ГОСТ Р ИСО 8528-1-2005
ГОСТ Р ИСО 8528-1-2005
ГОСТ Р ИСО 8528-1-2005
ГОСТ Р ИСО 8528-1-2005
ГОСТ Р ИСО 8528-1-2005
ГОСТ Р ИСО 8528-1-2005
ГОСТ Р ИСО 8528-1-2005
ГОСТ Р ИСО 8528-1-2005
ГОСТ Р ИСО 8528-1-2005
ГОСТ Р ИСО 8528-1-2005
ГОСТ Р ИСО 8528-1-2005
Автор: 
Домашняя страница автора: 

ГОСТ 8541-94

E-mail автора: 

Изделия чулочно-носочные, вырабатываемые на круглочулочных автоматах. Общие технические условия

Обозначение: ГОСТ 8541-94
Статус: действующий
Название рус.: Изделия чулочно-носочные, вырабатываемые на круглочулочных автоматах. Общие технические условия
Название англ.: Socks and stockings made on automatic seamless hosiery machines. General specifications
Дата актуализации текста: 19.06.2012
Дата актуализации описания: 19.06.2012
Дата введения в действие: 01.07.1996
Область и условия применения: Настоящий стандарт распространяется на чулочно-носочные изделия, вырабатываемые на круглочулочных автоматах 4-34-го классов из химических нитей, пряжи из натуральных и химических волокон, их смесок и сочетаний.
Стандарт не распространяется на чулочно-носочные изделия специального назначения
Взамен: ГОСТ 8541-84 ГОСТ 18400-82
Взамен в части: ГОСТ 17061-82 в части всего ассортимента изделий, кроме колготок
Список изменений: №0 от 01.12.2006 (рег. 01.12.2006) «Дата введения перенесена»
№1 от 01.04.2005 (рег. 15.12.2004) «Текстовое изменение; Изменены ссылочные НД»
Приложение №1: Изменение №1 к ГОСТ 8541-94
Приложение №2: Поправка к ГОСТ 8541-94


ГОСТ 8541-94
ГОСТ 8541-94
ГОСТ 8541-94
ГОСТ 8541-94
ГОСТ 8541-94
ГОСТ 8541-94
ГОСТ 8541-94
ГОСТ 8541-94
ГОСТ 8541-94
ГОСТ 8541-94
ГОСТ 8541-94
ГОСТ 8541-94
ГОСТ 8541-94
ГОСТ 8541-94
ГОСТ 8541-94
ГОСТ 8541-94
ГОСТ 8541-94
ГОСТ 8541-94
ГОСТ 8541-94
ГОСТ 8541-94
ГОСТ 8541-94
ГОСТ 8541-94
ГОСТ 8541-94
ГОСТ 8541-94
ГОСТ 8541-94
ГОСТ 8541-94
ГОСТ 8541-94
ГОСТ 8541-94
ГОСТ 8541-94
ГОСТ 8541-94
ГОСТ 8541-94
ГОСТ 8541-94
ГОСТ 8541-94
ГОСТ 8541-94
ГОСТ 8541-94
ГОСТ 8541-94
ГОСТ 8541-94
ГОСТ 8541-94
ГОСТ 8541-94
ГОСТ 8541-94
ГОСТ 8541-94
ГОСТ 8541-94
ГОСТ 8541-94
ГОСТ 8541-94
ГОСТ 8541-94
ГОСТ 8541-94
ГОСТ 8541-94
ГОСТ 8541-94
ГОСТ 8541-94
ГОСТ 8541-94


Изменение №1 к ГОСТ 8541-94

Обозначение: Изменение №1 к ГОСТ 8541-94
Дата введения в действие: 01.04.2005
Дата актуализации: 15.01.2008


Изменение №1 к ГОСТ 8541-94
Изменение №1 к ГОСТ 8541-94
Изменение №1 к ГОСТ 8541-94
Изменение №1 к ГОСТ 8541-94
Изменение №1 к ГОСТ 8541-94
Изменение №1 к ГОСТ 8541-94
Изменение №1 к ГОСТ 8541-94
Изменение №1 к ГОСТ 8541-94
Изменение №1 к ГОСТ 8541-94
Изменение №1 к ГОСТ 8541-94
Изменение №1 к ГОСТ 8541-94
Изменение №1 к ГОСТ 8541-94
Изменение №1 к ГОСТ 8541-94
Изменение №1 к ГОСТ 8541-94
Изменение №1 к ГОСТ 8541-94
Изменение №1 к ГОСТ 8541-94
Изменение №1 к ГОСТ 8541-94
Изменение №1 к ГОСТ 8541-94
Изменение №1 к ГОСТ 8541-94
Изменение №1 к ГОСТ 8541-94
Изменение №1 к ГОСТ 8541-94
Изменение №1 к ГОСТ 8541-94
Изменение №1 к ГОСТ 8541-94
Изменение №1 к ГОСТ 8541-94
Изменение №1 к ГОСТ 8541-94
Изменение №1 к ГОСТ 8541-94
Изменение №1 к ГОСТ 8541-94
Изменение №1 к ГОСТ 8541-94
Изменение №1 к ГОСТ 8541-94
Изменение №1 к ГОСТ 8541-94
Изменение №1 к ГОСТ 8541-94
Изменение №1 к ГОСТ 8541-94
Изменение №1 к ГОСТ 8541-94
Изменение №1 к ГОСТ 8541-94
Изменение №1 к ГОСТ 8541-94
Изменение №1 к ГОСТ 8541-94
Изменение №1 к ГОСТ 8541-94
Изменение №1 к ГОСТ 8541-94
Изменение №1 к ГОСТ 8541-94
Изменение №1 к ГОСТ 8541-94
Изменение №1 к ГОСТ 8541-94
Изменение №1 к ГОСТ 8541-94
Изменение №1 к ГОСТ 8541-94
Изменение №1 к ГОСТ 8541-94
Изменение №1 к ГОСТ 8541-94
Изменение №1 к ГОСТ 8541-94
Изменение №1 к ГОСТ 8541-94
Изменение №1 к ГОСТ 8541-94
Изменение №1 к ГОСТ 8541-94
Изменение №1 к ГОСТ 8541-94
Изменение №1 к ГОСТ 8541-94
Изменение №1 к ГОСТ 8541-94
Изменение №1 к ГОСТ 8541-94
Изменение №1 к ГОСТ 8541-94
Изменение №1 к ГОСТ 8541-94
Изменение №1 к ГОСТ 8541-94
Изменение №1 к ГОСТ 8541-94
Изменение №1 к ГОСТ 8541-94
Изменение №1 к ГОСТ 8541-94
Изменение №1 к ГОСТ 8541-94
Изменение №1 к ГОСТ 8541-94
Изменение №1 к ГОСТ 8541-94


Поправка к ГОСТ 8541-94

Обозначение: Поправка к ГОСТ 8541-94
Дата введения в действие: 01.12.2006
Дата актуализации: 15.01.2008


Поправка к ГОСТ 8541-94
Автор: 
Домашняя страница автора: 

ГОСТ 7025-91

E-mail автора: 

Кирпич и камни керамические и силикатные. Методы определения водопоглощения, плотности и контроля морозостойкости

Обозначение: ГОСТ 7025-91
Статус: действующий
Название рус.: Кирпич и камни керамические и силикатные. Методы определения водопоглощения, плотности и контроля морозостойкости
Название англ.: Ceramic and calcium silicate bricks and stones. Methods for water absorption and density determination and frost resistance control
Дата актуализации текста: 19.06.2012
Дата актуализации описания: 19.06.2012
Дата введения в действие: 01.07.1991
Область и условия применения: Настоящий стандарт распространяется на керамические (в том числе для дымовых труб) и силикатные рядовые и лицевые кирпич и камни и устанавливает методы определения водопоглощения, плотности и контроля морозостойкости
Взамен: ГОСТ 6427-75 ГОСТ 7025-78


ГОСТ 7025-91
ГОСТ 7025-91
ГОСТ 7025-91
ГОСТ 7025-91
ГОСТ 7025-91
ГОСТ 7025-91
ГОСТ 7025-91
ГОСТ 7025-91
ГОСТ 7025-91
ГОСТ 7025-91
ГОСТ 7025-91
ГОСТ 7025-91
Автор: 
Домашняя страница автора: 

ГОСТ 8639-82

E-mail автора: 

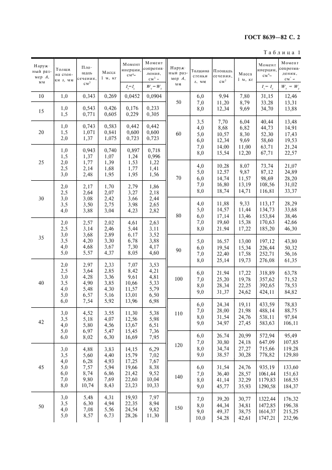
Трубы стальные квадратные. Сортамент

Обозначение: ГОСТ 8639-82
Статус: действующий
Название рус.: Трубы стальные квадратные. Сортамент
Название англ.: Square steel tubes. Range
Дата актуализации текста: 19.06.2012
Дата актуализации описания: 19.06.2012
Дата введения в действие: 01.01.1983
Область и условия применения: Настоящий стандарт распространяется на стальные бесшовные горячедеформированные и холоднодеформированные, электросварные и электросварные холоднодеформированные трубы
Взамен: ГОСТ 8639-68
Список изменений: №1 от 01.02.1988 (рег. 24.06.1987) «Срок действия продлен»
№2 от 01.04.1990 (рег. 17.11.1989) «Срок действия продлен»
№3 от 01.02.1993 (рег. 07.09.1992) «Срок действия продлен»
№4 от 01.09.2010 (рег. 17.06.2010) «Срок действия продлен»
Приложение №1: Изменение №4 к ГОСТ 8639-82


ГОСТ 8639-82
ГОСТ 8639-82
ГОСТ 8639-82
ГОСТ 8639-82
ГОСТ 8639-82
ГОСТ 8639-82
ГОСТ 8639-82


Изменение №4 к ГОСТ 8639-82

Обозначение: Изменение №4 к ГОСТ 8639-82
Дата введения в действие: 01.09.2010
Дата актуализации: 12.10.2010


Изменение №4 к ГОСТ 8639-82
Изменение №4 к ГОСТ 8639-82
Изменение №4 к ГОСТ 8639-82
Изменение №4 к ГОСТ 8639-82
Изменение №4 к ГОСТ 8639-82
Автор: 
Домашняя страница автора: 

ГОСТ Р ИСО 8891-2005

E-mail автора: 

Стоматологические литейные сплавы с содержанием благородных металлов от 25% до 75%. Технические требования. Методы испытаний

Обозначение: ГОСТ Р ИСО 8891-2005
Статус: действующий
Название рус.: Стоматологические литейные сплавы с содержанием благородных металлов от 25% до 75%. Технические требования. Методы испытаний
Название англ.: Dental casting alloys with noble metal content of at least 25% but less than 75%. Technical requiremеnts. Test methods
Дата актуализации текста: 19.06.2012
Дата актуализации описания: 19.06.2012
Дата введения в действие: 01.07.2006
Область и условия применения: Настоящий стандарт устанавливает классификацию требований и методы испытаний стоматологических литейных сплавов с массовым содержанием благородных металлов от 25% до 75%.
Настоящий стандарт распространяется на стоматологические литейные сплавы, предназначенные для изготовления зубных протезов и стоматологических приспособлений.
Настоящий стандарт не распространяется на сплавы, предназначенные для изготовления каркаса металлокерамического зубного протеза по ИСО 9693


ГОСТ Р ИСО 8891-2005
ГОСТ Р ИСО 8891-2005
ГОСТ Р ИСО 8891-2005
ГОСТ Р ИСО 8891-2005
ГОСТ Р ИСО 8891-2005
ГОСТ Р ИСО 8891-2005
ГОСТ Р ИСО 8891-2005
ГОСТ Р ИСО 8891-2005
ГОСТ Р ИСО 8891-2005
ГОСТ Р ИСО 8891-2005
ГОСТ Р ИСО 8891-2005
ГОСТ Р ИСО 8891-2005
Автор: 
Домашняя страница автора: 

ГОСТ 6137-97

E-mail автора: 

Мертели огнеупорные алюмосиликатные. Технические условия

Обозначение: ГОСТ 6137-97
Статус: действующий
Название рус.: Мертели огнеупорные алюмосиликатные. Технические условия
Название англ.: Refractory alumosilicate mortars. Specifications
Дата актуализации текста: 19.06.2012
Дата актуализации описания: 19.06.2012
Дата введения в действие: 01.07.2000
Область и условия применения: Настоящий стандарт распространяется на алюмосиликатные огнеупорные мертели, предназначенные для связывания алюмосиликатных изделий в огнеупорной кладке
Взамен: ГОСТ 6137-80
Список изменений: №0 от 15.09.2001 (рег. 15.09.2001) «Дата введения перенесена»
Приложение №1: Поправка к ГОСТ 6137-97


ГОСТ 6137-97
ГОСТ 6137-97
ГОСТ 6137-97
ГОСТ 6137-97
ГОСТ 6137-97
ГОСТ 6137-97
ГОСТ 6137-97
ГОСТ 6137-97


Поправка к ГОСТ 6137-97

Обозначение: Поправка к ГОСТ 6137-97
Дата введения в действие: 15.09.2001
Дата актуализации: 15.01.2008


Поправка к ГОСТ 6137-97
Автор: 
Домашняя страница автора: 

Страницы