Наша группа Вконтакте vk.com/4ertimcom

ГОСТ 6001-10000

ГОСТ 8852-74

E-mail автора: 

Нефтепродукты. Метод определения коксуемости на аппарате ЛКН-70

Обозначение: ГОСТ 8852-74
Статус: действующий
Название рус.: Нефтепродукты. Метод определения коксуемости на аппарате ЛКН-70
Название англ.: Petroleum products. Method of test for coking by apparatus "LKN-70"
Дата актуализации текста: 19.06.2012
Дата актуализации описания: 19.06.2012
Дата введения в действие: 01.01.1977
Область и условия применения: Настоящий стандарт распространяется на нефтепродукты и устанавливает метод определения коксуемости на аппарате типа ЛКН-70.
Сущность метода заключается в сжигании испытуемого нефтепродукта на аппарате типа ЛКН-70 и определении коксуемости по массе коксового остатка
Взамен: ГОСТ 8852-58
Список изменений: №1 от 01.05.1978 (рег. 19.01.1978) «Срок действия продлен»
№2 от 01.04.1981 (рег. 20.01.1981) «Срок действия продлен»
№3 от 01.01.1988 (рег. 30.06.1987) «Срок действия продлен»


ГОСТ 8852-74
ГОСТ 8852-74
ГОСТ 8852-74
Автор: 
Домашняя страница автора: 

ГОСТ 7502-98

E-mail автора: 

Рулетки измерительные металлические. Технические условия

Обозначение: ГОСТ 7502-98
Статус: действующий
Название рус.: Рулетки измерительные металлические. Технические условия
Название англ.: Measuring metal tapes. Specifications
Дата актуализации текста: 19.06.2012
Дата актуализации описания: 19.06.2012
Дата введения в действие: 01.07.2000
Область и условия применения: Настоящий стандарт распространяется на рулетки измерительные металлические 2-го и 3-го классов точности, предназначенные для измерения линейных размеров путем непосредственного сравнения со шкалой.
Настоящий стандарт не распространяется на рулетки, разработанные и освоенные производством до введения в действие настоящего стандарта
Взамен: ГОСТ 7502-89


ГОСТ 7502-98
ГОСТ 7502-98
ГОСТ 7502-98
ГОСТ 7502-98
ГОСТ 7502-98
ГОСТ 7502-98
ГОСТ 7502-98
ГОСТ 7502-98
ГОСТ 7502-98
ГОСТ 7502-98
ГОСТ 7502-98
Автор: 
Домашняя страница автора: 

ГОСТ 6707-76

E-mail автора: 

Смазки пластичные. Метод определения свободных щелочей и свободных органических кислот

Обозначение: ГОСТ 6707-76
Статус: действующий
Название рус.: Смазки пластичные. Метод определения свободных щелочей и свободных органических кислот
Название англ.: Lubricating greases. Method for determination of free alkalies and free organic acids
Дата актуализации текста: 19.06.2012
Дата актуализации описания: 19.06.2012
Дата введения в действие: 01.01.1977
Область и условия применения: Настоящий стандарт распространяется на пластичные смазки, загущенные мылами, и устанавливает метод определения содержания свободных щелочей и свободных органических кислот.
Сущность метода заключается в растворении смазки в спиртобензиновой смеси и титровании ее кислотой или щелочью в присутствии фенолфталеина
Взамен: ГОСТ 6707-57
Список изменений: №1 от 01.07.1984 (рег. 20.01.1984) «Срок действия продлен»
№2 от 01.08.1986 (рег. 25.03.1986) «Поправка»
№2 от 01.08.1986 (рег. 25.03.1986) «Срок действия продлен»


ГОСТ 6707-76
ГОСТ 6707-76
ГОСТ 6707-76
Автор: 
Домашняя страница автора: 

ГОСТ 6243-75

E-mail автора: 

Эмульсолы и пасты. Методы испытаний

Обозначение: ГОСТ 6243-75
Статус: действующий
Название рус.: Эмульсолы и пасты. Методы испытаний
Название англ.: Emulsols and pastes. Test methods
Дата актуализации текста: 19.06.2012
Дата актуализации описания: 19.06.2012
Дата введения в действие: 01.07.1976
Область и условия применения: Настоящий стандарт распространяется на нефтяные эмульсолы, пасты и устанавливает следующие методы испытаний:
внешний вид;
коррозионная агрессивность эмульсии (приготовленной на дистиллированной и жесткой воде);
стабильность эмульсии;
рН эмульсии;
стабильность эмульсола при низких температурах;
стабильность эмульсола при хранении;
влияние жесткой воды на качество эмульсолов
Взамен: ГОСТ 6243-64
Список изменений: №1 от 01.08.1980 (рег. 16.05.1980) «Срок действия продлен»
№2 от 01.08.1986 (рег. 25.03.1986) «Срок действия продлен»
№3 от 01.06.1991 (рег. 28.12.1990) «Срок действия продлен»


ГОСТ 6243-75
ГОСТ 6243-75
ГОСТ 6243-75
ГОСТ 6243-75
ГОСТ 6243-75
ГОСТ 6243-75
ГОСТ 6243-75
ГОСТ 6243-75
ГОСТ 6243-75
Автор: 
Домашняя страница автора: 

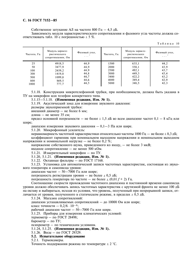
ГОСТ 7152-85

E-mail автора: 

Микрофоны и телефоны капсюльные для телефонных аппаратов общего применения. Общие технические условия

Обозначение: ГОСТ 7152-85
Статус: действующий
Название рус.: Микрофоны и телефоны капсюльные для телефонных аппаратов общего применения. Общие технические условия
Название англ.: Button microphones and inset receivers for commercial telephone equipment. General specifications
Дата актуализации текста: 19.06.2012
Дата актуализации описания: 19.06.2012
Дата введения в действие: 01.01.1987
Область и условия применения: Настоящий стандарт распространяется на капсюльные микрофоны и капсюльные телефоны, предназначенные для телефонных аппаратов общего применения и таксофонов
Взамен: ГОСТ 13491-78 ГОСТ 13492-77 ГОСТ 7152-74
Список изменений: №0 от 01.03.2007 (рег. 01.03.2007) «Дата введения перенесена»
№1 от 01.08.1988 (рег. 03.05.1988) «Срок действия продлен»
Приложение №1: Поправка к ГОСТ 7152-85


ГОСТ 7152-85
ГОСТ 7152-85
ГОСТ 7152-85
ГОСТ 7152-85
ГОСТ 7152-85
ГОСТ 7152-85
ГОСТ 7152-85
ГОСТ 7152-85
ГОСТ 7152-85
ГОСТ 7152-85
ГОСТ 7152-85
ГОСТ 7152-85
ГОСТ 7152-85
ГОСТ 7152-85
ГОСТ 7152-85
ГОСТ 7152-85
ГОСТ 7152-85
ГОСТ 7152-85
ГОСТ 7152-85
ГОСТ 7152-85
ГОСТ 7152-85
ГОСТ 7152-85
ГОСТ 7152-85
ГОСТ 7152-85
ГОСТ 7152-85
ГОСТ 7152-85
ГОСТ 7152-85
ГОСТ 7152-85
ГОСТ 7152-85
ГОСТ 7152-85
ГОСТ 7152-85
ГОСТ 7152-85
ГОСТ 7152-85
ГОСТ 7152-85
ГОСТ 7152-85
ГОСТ 7152-85


Поправка к ГОСТ 7152-85

Обозначение: Поправка к ГОСТ 7152-85
Дата введения в действие: 01.03.2007
Дата актуализации: 15.01.2008


Поправка к ГОСТ 7152-85
Автор: 
Домашняя страница автора: 

ГОСТ Р ИСО 7049-93

E-mail автора: 

Винты самонарезающие с цилиндрической головкой и сферой с крестообразным шлицем. Технические условия

Обозначение: ГОСТ Р ИСО 7049-93
Статус: действующий
Название рус.: Винты самонарезающие с цилиндрической головкой и сферой с крестообразным шлицем. Технические условия
Название англ.: Cross recessed pan head tapping screws. Specifications
Дата актуализации текста: 19.06.2012
Дата актуализации описания: 19.06.2012
Дата введения в действие: 01.01.1995
Область и условия применения: Настоящий стандарт распространяется на самонарезающие винты с цилиндрической головкой и сферой с крестообразным шлицем с резьбой от ST2,2 до ST9,5 включительно


ГОСТ Р ИСО 7049-93
ГОСТ Р ИСО 7049-93
ГОСТ Р ИСО 7049-93
ГОСТ Р ИСО 7049-93
ГОСТ Р ИСО 7049-93
ГОСТ Р ИСО 7049-93
Автор: 
Домашняя страница автора: 

ГОСТ 8832-76

E-mail автора: 

Материалы лакокрасочные. Методы получения лакокрасочного покрытия для испытания

Обозначение: ГОСТ 8832-76
Статус: действующий
Название рус.: Материалы лакокрасочные. Методы получения лакокрасочного покрытия для испытания
Название англ.: Paintwork materials. Methods for formation of paint coating for testing
Дата актуализации текста: 19.06.2012
Дата актуализации описания: 19.06.2012
Дата введения в действие: 01.01.1977
Область и условия применения: Настоящий стандарт распространяется на лакокрасочные материалы и устанавливает методы получения лакокрасочного покрытия на металлической, стеклянной, деревянной или другой окрашиваемой поверхности.
Полученное покрытие предназначается для проверки соответствия лакокрасочных материалов требованиям НТД по указанным в ней методам испытания
Взамен: ГОСТ 8832-58
Список изменений: №1 от 01.08.1981 (рег. 09.04.1981) «Срок действия продлен»
№2 от 01.06.1986 (рег. 13.12.1985) «Срок действия продлен»
№3 от 01.06.1993 (рег. 28.07.1992) «Срок действия продлен»


ГОСТ 8832-76
ГОСТ 8832-76
ГОСТ 8832-76
ГОСТ 8832-76
ГОСТ 8832-76
ГОСТ 8832-76
ГОСТ 8832-76
ГОСТ 8832-76
ГОСТ 8832-76
ГОСТ 8832-76
ГОСТ 8832-76
ГОСТ 8832-76
ГОСТ 8832-76
ГОСТ 8832-76
Автор: 
Домашняя страница автора: 

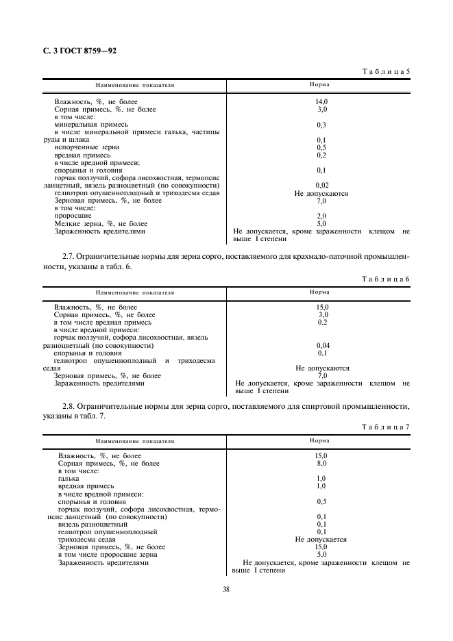
ГОСТ 8759-92

E-mail автора: 

Сорго. Требования при заготовках и поставках

Обозначение: ГОСТ 8759-92
Статус: действующий
Название рус.: Сорго. Требования при заготовках и поставках
Название англ.: Sorghum. Requirements for state purchases and deliveries
Дата актуализации текста: 19.06.2012
Дата актуализации описания: 19.06.2012
Дата введения в действие: 01.06.1997
Область и условия применения: Настоящий стандарт распространяется на зерно сорго, заготовляемое государственной заготовительной системой и поставляемое на продовольственные, кормовые цели и для переработки в комбикорма
Взамен: ГОСТ 8759-74
Список изменений: №0 от 01.06.1997 (рег. 21.06.1995) «Утратил силу в РФ»
№0 от 01.07.2011 (рег. 29.10.2010) «Поправка к изменению»


ГОСТ 8759-92
ГОСТ 8759-92
ГОСТ 8759-92
ГОСТ 8759-92
ГОСТ 8759-92
ГОСТ 8759-92
Автор: 
Домашняя страница автора: 

ГОСТ 9353-90

E-mail автора: 

Пшеница. Требования при заготовках и поставках

Обозначение: ГОСТ 9353-90
Статус: утратил силу в РФ
Название рус.: Пшеница. Требования при заготовках и поставках
Название англ.: Wheat. Requirements for state purchases and deliveries
Дата актуализации текста: 19.06.2012
Дата актуализации описания: 19.06.2012
Дата введения в действие: 01.06.1997
Область и условия применения: Настоящий стандарт распространяется на зерно пшеницы, заготовляемое государственной заготовительной системой и постовляемое на продовольственные и непродовольственные цели
Взамен: ГОСТ 9353-85
Список изменений: №0 от 01.06.1997 (рег. 21.06.1995) «Утратил силу в РФ»
№0 от 01.07.2007 (рег. 09.06.2006) «Поправка к изменению»


ГОСТ 9353-90
ГОСТ 9353-90
ГОСТ 9353-90
ГОСТ 9353-90
ГОСТ 9353-90
ГОСТ 9353-90
ГОСТ 9353-90
ГОСТ 9353-90
ГОСТ 9353-90
ГОСТ 9353-90
Автор: 
Домашняя страница автора: 

ГОСТ 9980.3-86

E-mail автора: 

Материалы лакокрасочные. Упаковка

Обозначение: ГОСТ 9980.3-86
Статус: действующий
Название рус.: Материалы лакокрасочные. Упаковка
Название англ.: Paint materials. Packing
Дата актуализации текста: 19.06.2012
Дата актуализации описания: 19.06.2012
Дата введения в действие: 01.07.1987
Область и условия применения: Настоящий стандарт распространяется на лакокрасочные материалы и устанавливает требования к упаковке материалов, изготовляемых для нужд народного хозяйства и экспорта
Взамен в части: ГОСТ 9980-80 в части разд. 3
Список изменений: №1 от 01.07.1989 (рег. 23.01.1989) «Срок действия продлен»
№2 от 01.07.1990 (рег. 28.12.1989) «Срок действия продлен»
№3 от 01.10.1992 (рег. 08.04.1992) «Срок действия продлен»


ГОСТ 9980.3-86
ГОСТ 9980.3-86
ГОСТ 9980.3-86
ГОСТ 9980.3-86
ГОСТ 9980.3-86
ГОСТ 9980.3-86
ГОСТ 9980.3-86
ГОСТ 9980.3-86
ГОСТ 9980.3-86
ГОСТ 9980.3-86
ГОСТ 9980.3-86
ГОСТ 9980.3-86
ГОСТ 9980.3-86
ГОСТ 9980.3-86
ГОСТ 9980.3-86
ГОСТ 9980.3-86
ГОСТ 9980.3-86
ГОСТ 9980.3-86
ГОСТ 9980.3-86
Автор: 
Домашняя страница автора: 

Страницы