Наша группа Вконтакте vk.com/4ertimcom

ГОСТ 10001-15000

ГОСТ 14754-69

E-mail автора: 

Оборудование для изготовления стереотипных матриц. Термины

Обозначение: ГОСТ 14754-69
Статус: действующий
Название рус.: Оборудование для изготовления стереотипных матриц. Термины
Название англ.: Equipment for making of stereotype matrices. Terms
Дата актуализации текста: 19.06.2012
Дата актуализации описания: 19.06.2012
Дата введения в действие: 01.01.1970
Область и условия применения: Настоящий стандарт устанавливает термины и определения в области полиграфического оборудования для изготовления матриц и его основных элементов.
Стандарт не распространяется на элементы оборудования, имеющие широкое применение в общей технике, например, станину, вал


ГОСТ 14754-69
ГОСТ 14754-69
ГОСТ 14754-69
ГОСТ 14754-69
ГОСТ 14754-69
ГОСТ 14754-69
ГОСТ 14754-69
Автор: 
Домашняя страница автора: 

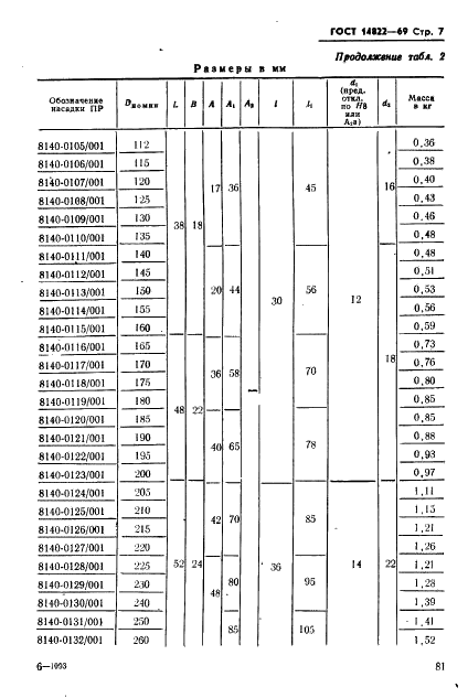
ГОСТ 14822-69

E-mail автора: 

Калибры-пробки гладкие проходные неполные диаметром свыше 100 до 300 мм. Конструкция и размеры

Обозначение: ГОСТ 14822-69
Статус: действующий
Название рус.: Калибры-пробки гладкие проходные неполные диаметром свыше 100 до 300 мм. Конструкция и размеры
Название англ.: Go plain plug gauges of not full-form with diameter over 100 to 300 mm. Design and dimensions
Дата актуализации текста: 19.06.2012
Дата актуализации описания: 19.06.2012
Дата введения в действие: 01.01.1971
Область и условия применения: Настоящий стандарт распространяется на калибры-пробки гладкие проходные неполные, предназначенные для контроля отверстий с полями допусков по ЕСДП СЭВ и по системе ОСТ
Взамен: МН 4133-62
Список изменений: №1 от 01.05.1974 (рег. 04.04.1974) «Срок действия продлен»
№2 от 01.01.1980 (рег. 17.11.1978) «Срок действия продлен»
№3 от 01.06.1984 (рег. 21.02.1984) «Срок действия продлен»


ГОСТ 14822-69
ГОСТ 14822-69
ГОСТ 14822-69
ГОСТ 14822-69
ГОСТ 14822-69
ГОСТ 14822-69
ГОСТ 14822-69
ГОСТ 14822-69
ГОСТ 14822-69
ГОСТ 14822-69
Автор: 
Домашняя страница автора: 

ГОСТ 14813-69

E-mail автора: 

Калибры-пробки гладкие непроходные со вставками диаметром свыше 50 до 75 мм. Конструкция и размеры

Обозначение: ГОСТ 14813-69
Статус: действующий
Название рус.: Калибры-пробки гладкие непроходные со вставками диаметром свыше 50 до 75 мм. Конструкция и размеры
Название англ.: No-go plain plug gauges with inserts of diameter over 50 to 75 mm. Design and dimensions
Дата актуализации текста: 19.06.2012
Дата актуализации описания: 19.06.2012
Дата введения в действие: 01.01.1971
Область и условия применения: Настоящий стандарт распространяется на гладкие непроходные калибры-пробки, предназначенные для контроля отверстий с полями допусков по ЕСДП СЭВ и по системе ОСТ
Взамен: МН 4126-62
Список изменений: №1 от 01.05.1974 (рег. 04.04.1974) «Срок действия продлен»
№2 от 01.01.1980 (рег. 17.11.1978) «Срок действия продлен»
№3 от 01.06.1984 (рег. 21.02.1984) «Срок действия продлен»


ГОСТ 14813-69
ГОСТ 14813-69
ГОСТ 14813-69
ГОСТ 14813-69
ГОСТ 14813-69
ГОСТ 14813-69
Автор: 
Домашняя страница автора: 

ГОСТ 14121-69

E-mail автора: 

Батончики к чаю. Технические условия

Обозначение: ГОСТ 14121-69
Статус: действующий
Название рус.: Батончики к чаю. Технические условия
Название англ.: Buns for tea. Specifications
Дата актуализации текста: 19.06.2012
Дата актуализации описания: 19.06.2012
Дата введения в действие: 01.07.1969
Область и условия применения: Настоящий стандарт распространяется на батончики к чаю, вырабатываемые из пшеничной муки первого сорта и другого сырья с соблюдением санитарных правил, рецептуры и технологической инструкции, утвержденных в установленном порядке
Список изменений: №1 от 01.05.1983 (рег. 14.12.1982) «Срок действия продлен»
№2 от 01.01.1990 (рег. 01.06.1989) «Срок действия продлен»
№3 от 01.01.1993 (рег. 12.12.1991) «Срок действия продлен»


ГОСТ 14121-69
ГОСТ 14121-69
ГОСТ 14121-69
ГОСТ 14121-69
Автор: 
Домашняя страница автора: 

ГОСТ 14748-69

E-mail автора: 

Ручки круглые и шестигранные для калибров-пробок. Конструкция и размеры

Обозначение: ГОСТ 14748-69
Статус: действующий
Название рус.: Ручки круглые и шестигранные для калибров-пробок. Конструкция и размеры
Название англ.: Cylindrical and hexahedral handles for plug-gauges. Design and dimensions
Дата актуализации текста: 19.06.2012
Дата актуализации описания: 19.06.2012
Дата введения в действие: 01.07.1970
Область и условия применения: Настоящий стандарт распространяется на круглые и шестигранные ручки для гладких калибров-пробок для контроля размеров свыше 3 до 300 мм и устанавливает конструкцию и размеры ручек
Взамен: МН 307-59 МН 309-59
Список изменений: №1 от 01.05.1980 (рег. 06.03.1980) «Срок действия продлен»


ГОСТ 14748-69
ГОСТ 14748-69
ГОСТ 14748-69
ГОСТ 14748-69
ГОСТ 14748-69
ГОСТ 14748-69
Автор: 
Домашняя страница автора: 

ГОСТ 14759-69

E-mail автора: 

Клеи. Метод определения прочности при сдвиге

Обозначение: ГОСТ 14759-69
Статус: действующий
Название рус.: Клеи. Метод определения прочности при сдвиге
Название англ.: Adhesives. Method of determination of shear strength
Дата актуализации текста: 19.06.2012
Дата актуализации описания: 19.06.2012
Дата введения в действие: 01.01.1970
Область и условия применения: Настоящий стандарт распространяется на клеи и устанавливает метод определения статической прочности при сдвиге клеевых соединений листовых металлов при нормальной, пониженной и повышенной температурах (от минус 196 до плюс 1200 град. С). Сущность метода заключается в определении величины разрушающей силы при растяжении стандартного образца, склеенного внахлестку, усилиями, стремящимися сдвинуть одну половину образца относительно другой
Список изменений: №1 от 01.11.1980 (рег. 17.06.1980) «Срок действия продлен»
№2 от 01.07.1988 (рег. 23.12.1987) «Срок действия продлен»
№3 от 01.01.1992 (рег. 29.08.1991) «Срок действия продлен»


ГОСТ 14759-69
ГОСТ 14759-69
ГОСТ 14759-69
ГОСТ 14759-69
ГОСТ 14759-69
ГОСТ 14759-69
ГОСТ 14759-69
ГОСТ 14759-69
ГОСТ 14759-69
ГОСТ 14759-69
ГОСТ 14759-69
ГОСТ 14759-69
ГОСТ 14759-69
ГОСТ 14759-69
Автор: 
Домашняя страница автора: 

ГОСТ 14839.5-69

E-mail автора: 

Взрывчатые вещества промышленные. Метод определения содержания парафина в динафталите

Обозначение: ГОСТ 14839.5-69
Статус: действующий
Название рус.: Взрывчатые вещества промышленные. Метод определения содержания парафина в динафталите
Название англ.: Industrial explosives. Method for determination of paraffin content in dinaphtalite
Дата актуализации текста: 19.06.2012
Дата актуализации описания: 19.06.2012
Дата введения в действие: 01.01.1970
Область и условия применения: Настоящий стандарт распространяется на промышленные взрывчатые вещества, выпускаемые по стандартам и техническим условиям, и устанавливает метод определения содержания парафина в динафталите
Взамен в части: ГОСТ 9073-64 в части п. 41
Список изменений: №1 от 01.07.1980 (рег. 24.01.1980) «Срок действия продлен»


ГОСТ 14839.5-69
ГОСТ 14839.5-69
ГОСТ 14839.5-69
Автор: 
Домашняя страница автора: 

ГОСТ 14809-69

E-mail автора: 

Калибры-пробки гладкие непроходные со вставками диаметром от 1 до 6 мм. Конструкция и размеры

Обозначение: ГОСТ 14809-69
Статус: действующий
Название рус.: Калибры-пробки гладкие непроходные со вставками диаметром от 1 до 6 мм. Конструкция и размеры
Название англ.: No-go plain plug gauges with inserts of diameter from 1 to 6 mm. Design and dimensions
Дата актуализации текста: 19.06.2012
Дата актуализации описания: 19.06.2012
Дата введения в действие: 01.01.1971
Область и условия применения: Настоящий стандарт распространяется на гладкие непроходные калибры-пробки, предназначенные для контроля отверстий с полями допусков по ЕСДП СЭВ и по системе ОСТ
Взамен: МН 4121-62
Список изменений: №1 от 01.05.1974 (рег. 04.04.1974) «Срок действия продлен»
№2 от 01.01.1980 (рег. 17.11.1978) «Срок действия продлен»
№3 от 01.06.1984 (рег. 21.02.1984) «Срок действия продлен»


ГОСТ 14809-69
ГОСТ 14809-69
ГОСТ 14809-69
ГОСТ 14809-69
ГОСТ 14809-69
Автор: 
Домашняя страница автора: 

ГОСТ 14839.11-69

E-mail автора: 

Взрывчатые вещества промышленные. Методы определения содержания нерастворимых веществ и коллодионного хлопка

Обозначение: ГОСТ 14839.11-69
Статус: действующий
Название рус.: Взрывчатые вещества промышленные. Методы определения содержания нерастворимых веществ и коллодионного хлопка
Название англ.: Industrial explosives. Methods for determination of insoluble matters and colloidal cotton content
Дата актуализации текста: 19.06.2012
Дата актуализации описания: 19.06.2012
Дата введения в действие: 01.01.1970
Область и условия применения: Настоящий стандарт распространяется на промышленные взрывчатые вещества, выпускаемые по стандартам и техническим условиям, и устанавливает методы определения содержания нерастворимых веществ (стеарата кальция или стеарата цинка, древесной муки, парафина и других нерастворимых примесей) и коллодионного хлопка
Взамен в части: ГОСТ 9073-64 в части пп.37, 38, 41
Список изменений: №1 от 01.07.1980 (рег. 24.01.1980) «Срок действия продлен»


ГОСТ 14839.11-69
ГОСТ 14839.11-69
Автор: 
Домашняя страница автора: 

ГОСТ 14204-69

E-mail автора: 

Прибор для отделения мышьяка в сталях, чугунах и сплавах. Технические условия

Обозначение: ГОСТ 14204-69
Статус: действующий
Название рус.: Прибор для отделения мышьяка в сталях, чугунах и сплавах. Технические условия
Название англ.: Instrument for separation of arsenic in steels, casts irons and alloys. Specifications
Дата актуализации текста: 19.06.2012
Дата актуализации описания: 19.06.2012
Дата введения в действие: 01.01.1970
Область и условия применения: Настоящий стандарт распространяется на стеклянный прибор для отделения мышьяка, применяемый при анализе нелегированной стали и чугуна по ГОСТ 22536.6, феррохрома, ферромолибдена по ГОСТ 13151.11, хрома металлического по ГОСТ 13020.12, сплавов жаропрочных на никелевой основе по ГОСТ 24018.6, изготовляемый для нужд народного хозяйства и экспорта
Взамен: ОСТ 10060-39
Список изменений: №1 от 01.05.1972 (рег. 10.04.1972) «Срок действия продлен»
№2 от 01.01.1980 (рег. 08.08.1979) «Срок действия продлен»
№3 от 01.07.1981 (рег. 16.02.1981) «Срок действия продлен»
№4 от 01.01.1987 (рег. 25.07.1986) «Поправка»


ГОСТ 14204-69
ГОСТ 14204-69
ГОСТ 14204-69
ГОСТ 14204-69
ГОСТ 14204-69
ГОСТ 14204-69
ГОСТ 14204-69
ГОСТ 14204-69
Автор: 
Домашняя страница автора: 

Страницы