Наша группа Вконтакте vk.com/4ertimcom

ГОСТ 6001-10000

ГОСТ Р ИСО 9241-2-2009

E-mail автора: 

Эргономические требования к проведению офисных работ с использованием видеодисплейных терминалов (VDT). Часть 2. Руководящие указания по разработке требований к производственному заданию

Обозначение: ГОСТ Р ИСО 9241-2-2009
Статус: действующий
Название рус.: Эргономические требования к проведению офисных работ с использованием видеодисплейных терминалов (VDT). Часть 2. Руководящие указания по разработке требований к производственному заданию
Название англ.: Ergonomic requirements for office work with visual display terminals (VDTs). Part 2. Guidance on task requirements
Дата актуализации текста: 19.06.2012
Дата актуализации описания: 19.06.2012
Дата введения в действие: 01.12.2010
Область и условия применения: Настоящий стандарт устанавливает руководящие указания для пользователей систем обработки информации с применением видеодисплейных терминалов по постановке производственных заданий. Эти руководящие указания определяют требования к структуре системы и персоналу, использующему системное оборудование.
Целью настоящего стандарта является повышение эффективности и удобства работы отдельных пользователей путем внедрения эргономических принципов в практическую работу, в частности, при разработке производственных заданий. Соответствующие эргономические принципы установлены в ИСО 6385.
Характеристики видеодисплеев, а также требования к организации рабочего места и производственным условиям определены в других стандартах серии ИСО 9241. Настоящий стандарт не затрагивает проблем программного обеспечения и построения диалога


ГОСТ Р ИСО 9241-2-2009
ГОСТ Р ИСО 9241-2-2009
ГОСТ Р ИСО 9241-2-2009
ГОСТ Р ИСО 9241-2-2009
ГОСТ Р ИСО 9241-2-2009
ГОСТ Р ИСО 9241-2-2009
ГОСТ Р ИСО 9241-2-2009
ГОСТ Р ИСО 9241-2-2009
ГОСТ Р ИСО 9241-2-2009
ГОСТ Р ИСО 9241-2-2009
ГОСТ Р ИСО 9241-2-2009
ГОСТ Р ИСО 9241-2-2009
Автор: 
Домашняя страница автора: 

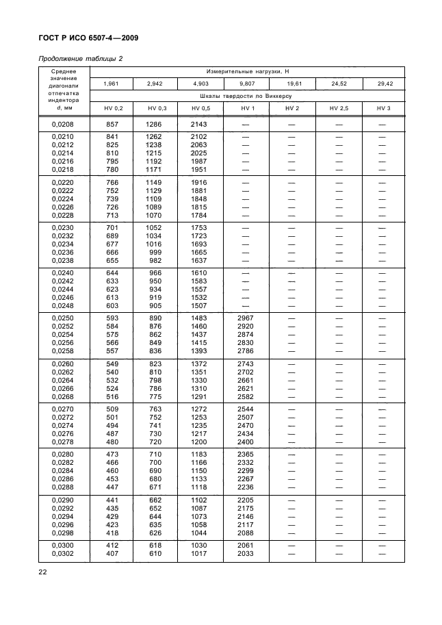
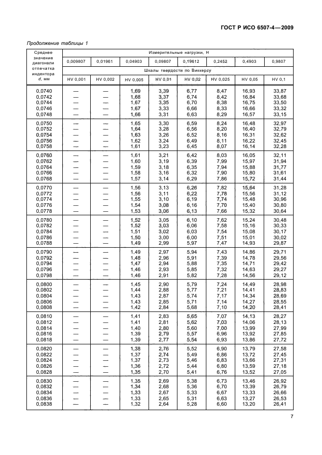
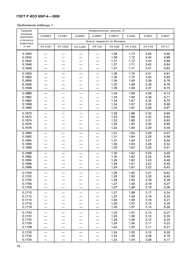
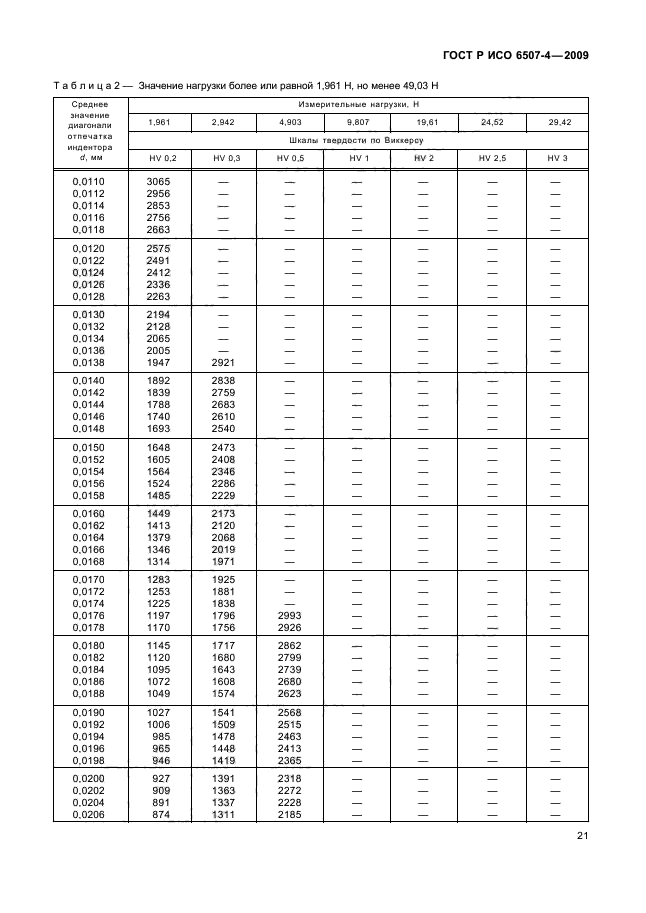
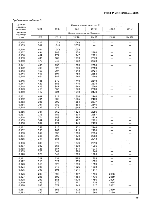
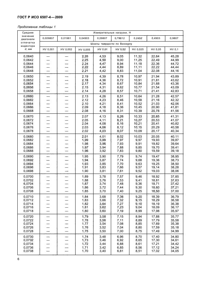
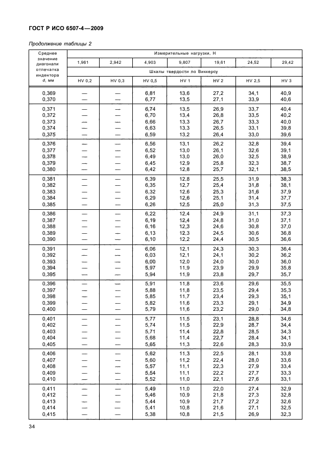
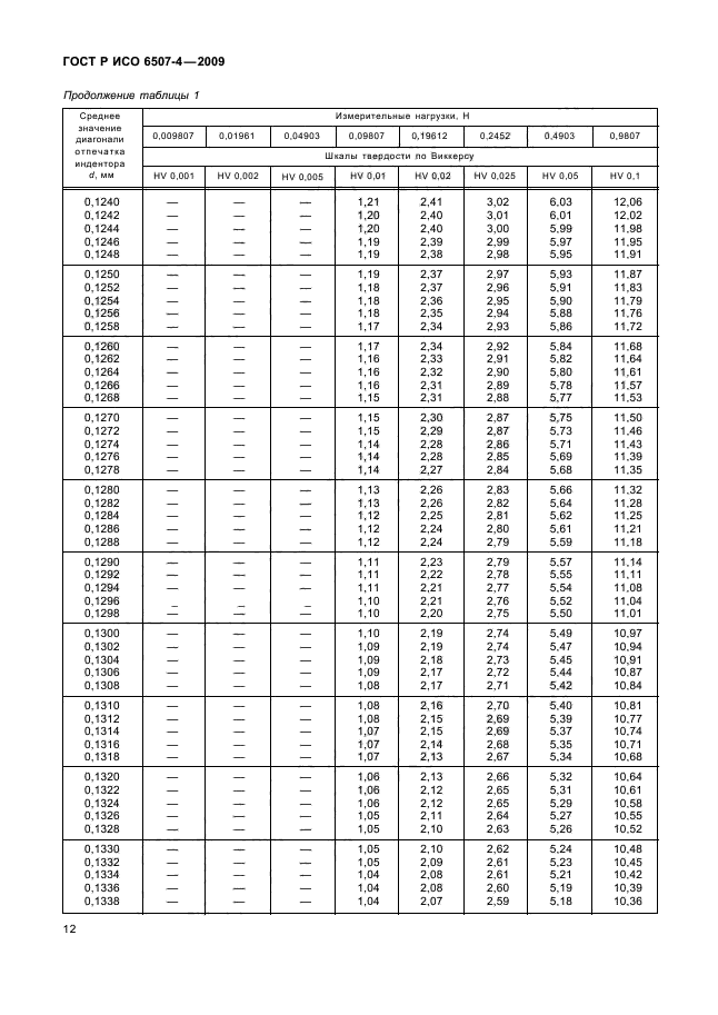
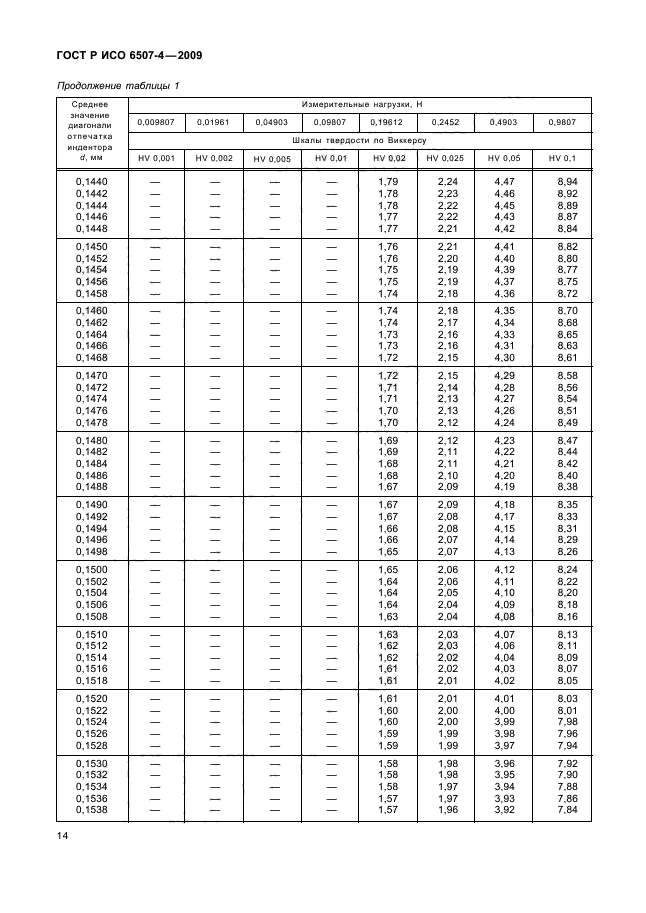
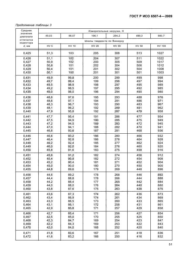
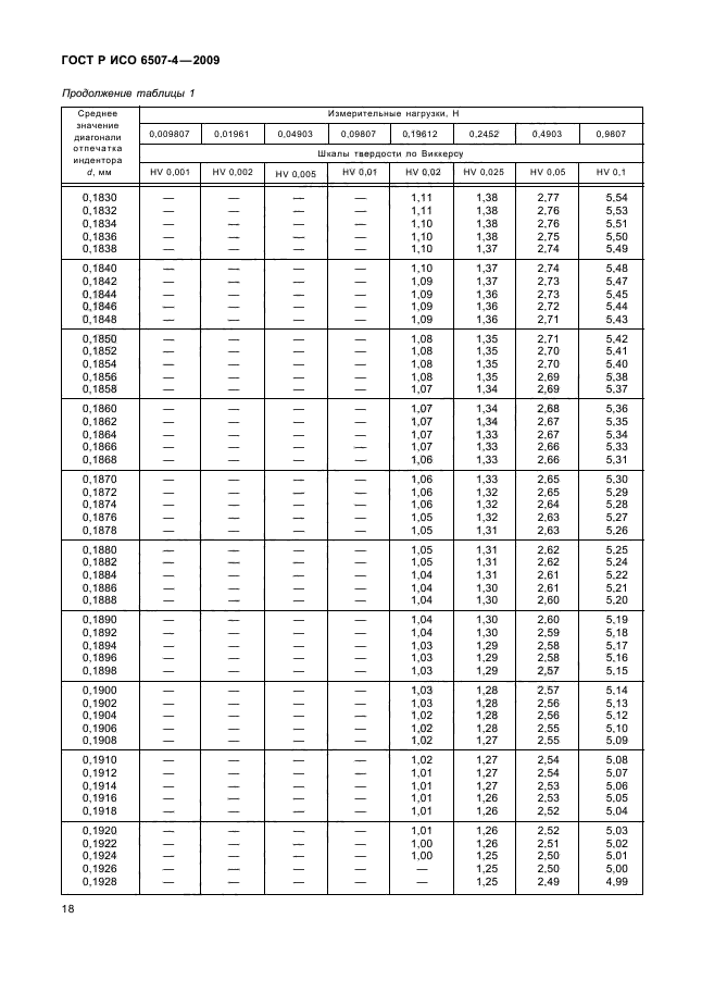
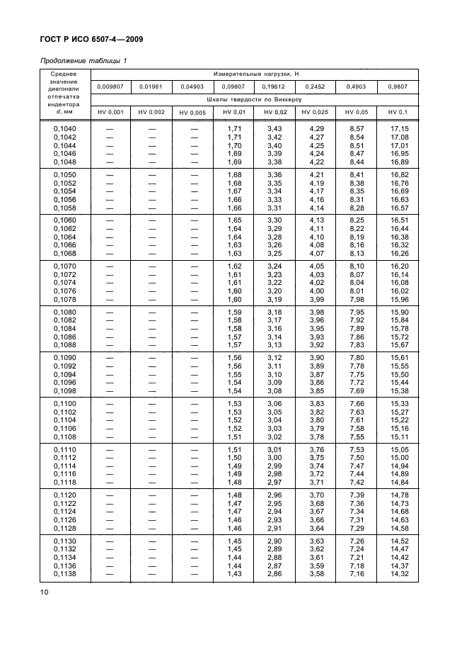
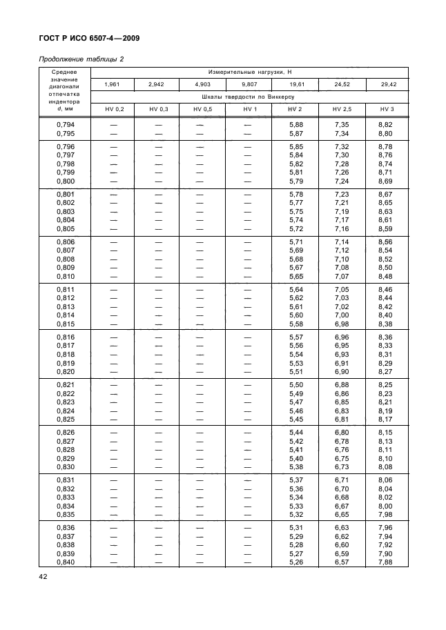
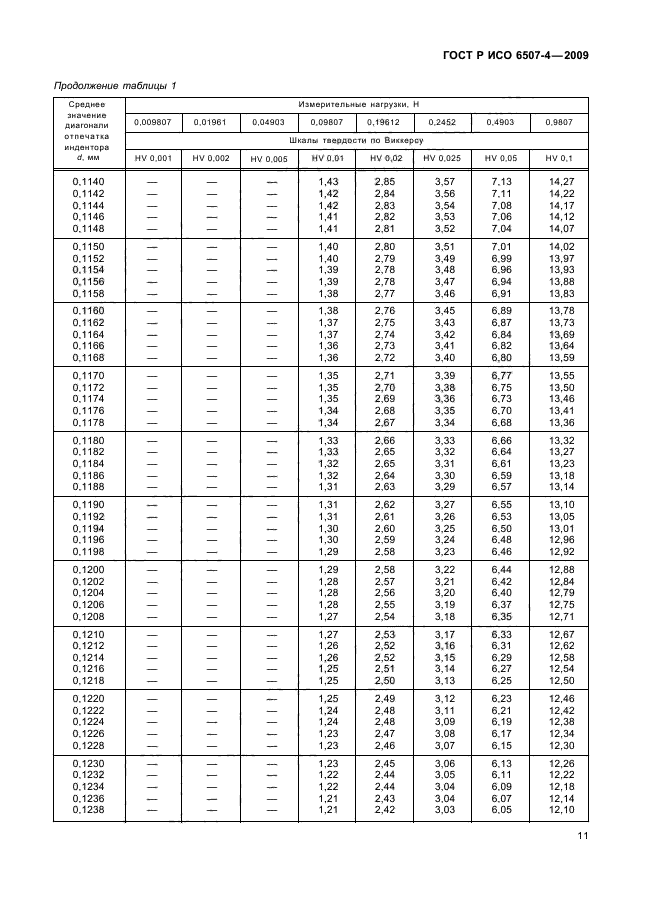
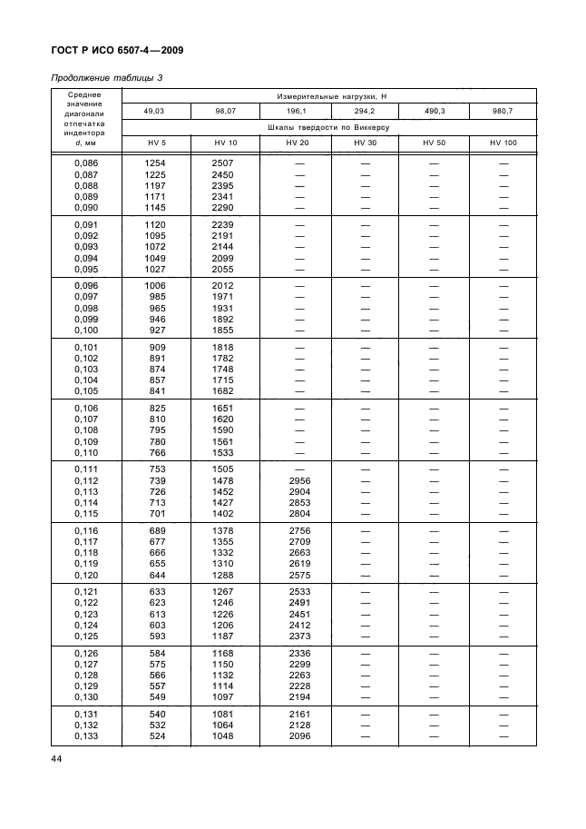
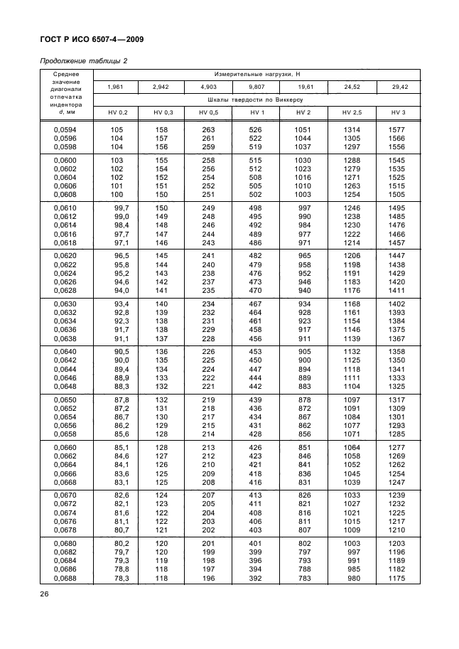
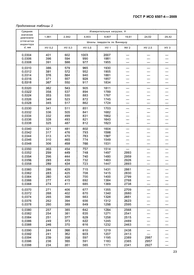
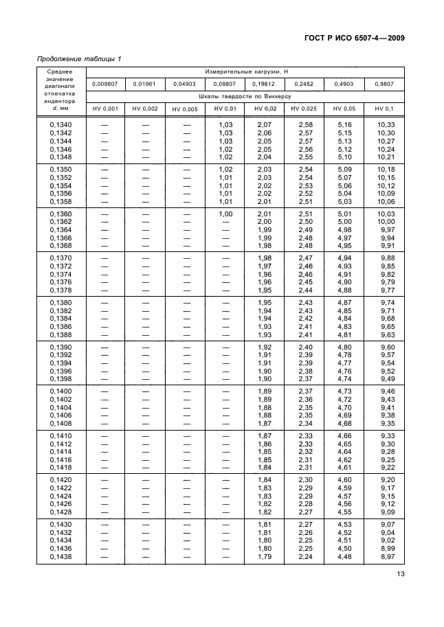
ГОСТ Р ИСО 6507-4-2009

E-mail автора: 

Государственная система обеспечения единства измерений. Металлы и сплавы. Измерения твердости по Виккерсу. Часть 4. Таблицы определения твердости

Обозначение: ГОСТ Р ИСО 6507-4-2009
Статус: действующий
Название рус.: Государственная система обеспечения единства измерений. Металлы и сплавы. Измерения твердости по Виккерсу. Часть 4. Таблицы определения твердости
Название англ.: State system for ensuring the uniformity of measurements. Metals and alloys. Vickers hardness test. Part 4. Tables of hardness values
Дата актуализации текста: 19.06.2012
Дата актуализации описания: 19.06.2012
Дата введения в действие: 01.01.2011
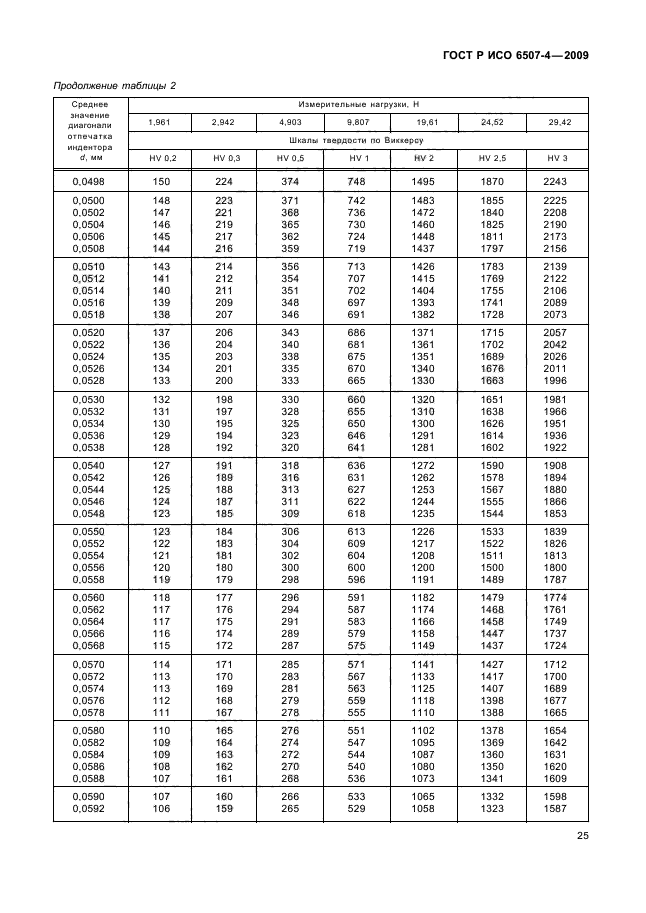
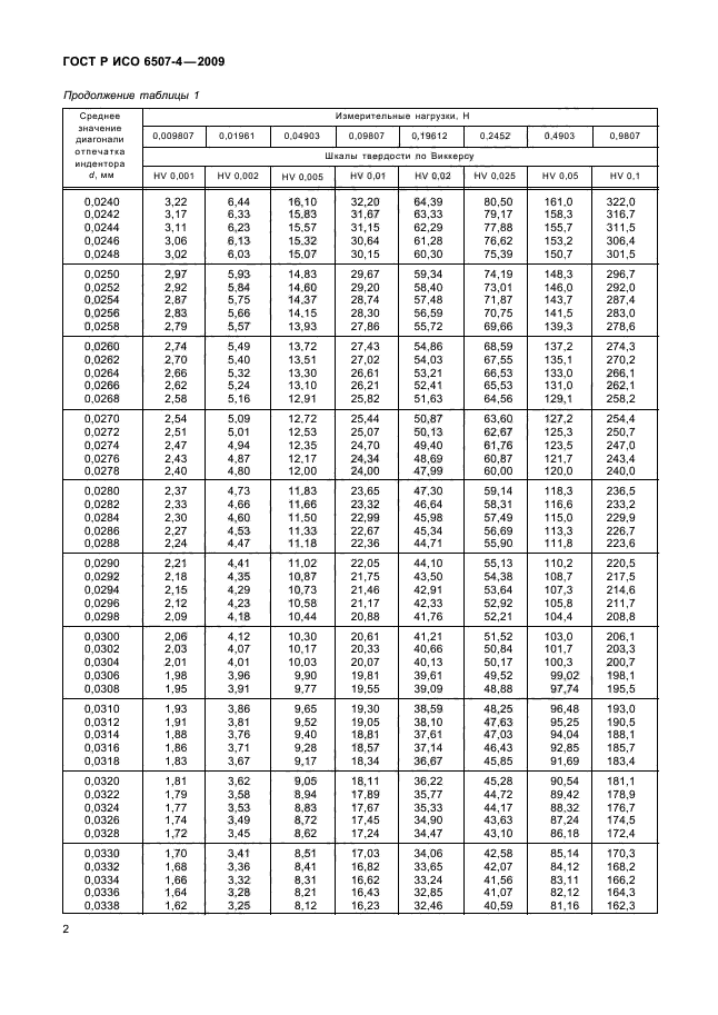
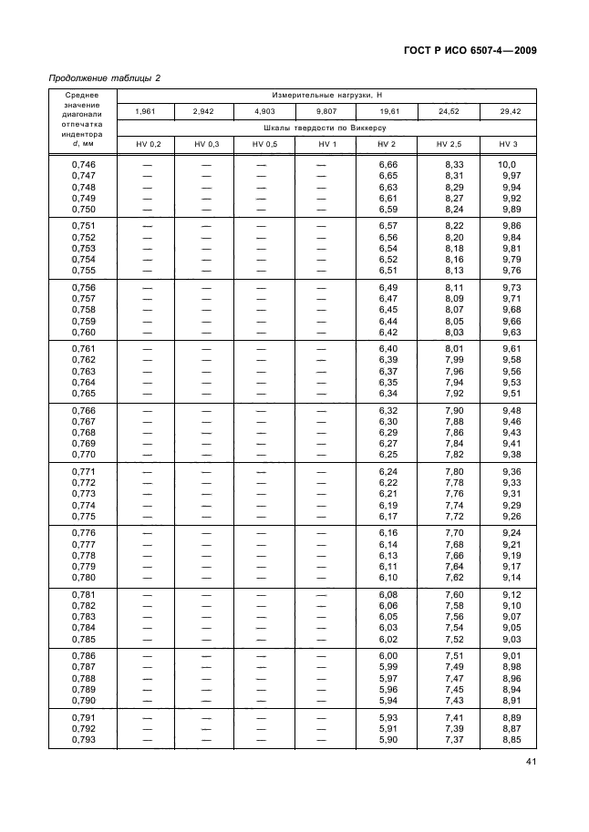
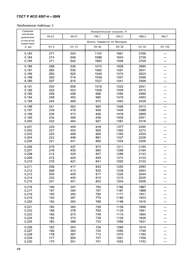
Область и условия применения: Настоящий стандарт распространяется на таблицы для определения значений чисел твердости по шкалам Виккерса при выполнении измерений на плоских поверхностях по среднему длин диагоналей отпечатка


ГОСТ Р ИСО 6507-4-2009
ГОСТ Р ИСО 6507-4-2009
ГОСТ Р ИСО 6507-4-2009
ГОСТ Р ИСО 6507-4-2009
ГОСТ Р ИСО 6507-4-2009
ГОСТ Р ИСО 6507-4-2009
ГОСТ Р ИСО 6507-4-2009
ГОСТ Р ИСО 6507-4-2009
ГОСТ Р ИСО 6507-4-2009
ГОСТ Р ИСО 6507-4-2009
ГОСТ Р ИСО 6507-4-2009
ГОСТ Р ИСО 6507-4-2009
ГОСТ Р ИСО 6507-4-2009
ГОСТ Р ИСО 6507-4-2009
ГОСТ Р ИСО 6507-4-2009
ГОСТ Р ИСО 6507-4-2009
ГОСТ Р ИСО 6507-4-2009
ГОСТ Р ИСО 6507-4-2009
ГОСТ Р ИСО 6507-4-2009
ГОСТ Р ИСО 6507-4-2009
ГОСТ Р ИСО 6507-4-2009
ГОСТ Р ИСО 6507-4-2009
ГОСТ Р ИСО 6507-4-2009
ГОСТ Р ИСО 6507-4-2009
ГОСТ Р ИСО 6507-4-2009
ГОСТ Р ИСО 6507-4-2009
ГОСТ Р ИСО 6507-4-2009
ГОСТ Р ИСО 6507-4-2009
ГОСТ Р ИСО 6507-4-2009
ГОСТ Р ИСО 6507-4-2009
ГОСТ Р ИСО 6507-4-2009
ГОСТ Р ИСО 6507-4-2009
ГОСТ Р ИСО 6507-4-2009
ГОСТ Р ИСО 6507-4-2009
ГОСТ Р ИСО 6507-4-2009
ГОСТ Р ИСО 6507-4-2009
ГОСТ Р ИСО 6507-4-2009
ГОСТ Р ИСО 6507-4-2009
ГОСТ Р ИСО 6507-4-2009
ГОСТ Р ИСО 6507-4-2009
ГОСТ Р ИСО 6507-4-2009
ГОСТ Р ИСО 6507-4-2009
ГОСТ Р ИСО 6507-4-2009
ГОСТ Р ИСО 6507-4-2009
ГОСТ Р ИСО 6507-4-2009
ГОСТ Р ИСО 6507-4-2009
ГОСТ Р ИСО 6507-4-2009
ГОСТ Р ИСО 6507-4-2009
ГОСТ Р ИСО 6507-4-2009
ГОСТ Р ИСО 6507-4-2009
ГОСТ Р ИСО 6507-4-2009
ГОСТ Р ИСО 6507-4-2009
ГОСТ Р ИСО 6507-4-2009
ГОСТ Р ИСО 6507-4-2009
ГОСТ Р ИСО 6507-4-2009
ГОСТ Р ИСО 6507-4-2009
ГОСТ Р ИСО 6507-4-2009
ГОСТ Р ИСО 6507-4-2009
ГОСТ Р ИСО 6507-4-2009
ГОСТ Р ИСО 6507-4-2009
ГОСТ Р ИСО 6507-4-2009
ГОСТ Р ИСО 6507-4-2009
ГОСТ Р ИСО 6507-4-2009
ГОСТ Р ИСО 6507-4-2009
ГОСТ Р ИСО 6507-4-2009
ГОСТ Р ИСО 6507-4-2009
ГОСТ Р ИСО 6507-4-2009
ГОСТ Р ИСО 6507-4-2009
ГОСТ Р ИСО 6507-4-2009
ГОСТ Р ИСО 6507-4-2009
ГОСТ Р ИСО 6507-4-2009
ГОСТ Р ИСО 6507-4-2009
ГОСТ Р ИСО 6507-4-2009
ГОСТ Р ИСО 6507-4-2009
ГОСТ Р ИСО 6507-4-2009
ГОСТ Р ИСО 6507-4-2009
ГОСТ Р ИСО 6507-4-2009
ГОСТ Р ИСО 6507-4-2009
ГОСТ Р ИСО 6507-4-2009
ГОСТ Р ИСО 6507-4-2009
ГОСТ Р ИСО 6507-4-2009
ГОСТ Р ИСО 6507-4-2009
ГОСТ Р ИСО 6507-4-2009
ГОСТ Р ИСО 6507-4-2009
ГОСТ Р ИСО 6507-4-2009
ГОСТ Р ИСО 6507-4-2009
ГОСТ Р ИСО 6507-4-2009
ГОСТ Р ИСО 6507-4-2009
ГОСТ Р ИСО 6507-4-2009
ГОСТ Р ИСО 6507-4-2009
Автор: 
Домашняя страница автора: 

ГОСТ 9128-2009

E-mail автора: 

Смеси асфальтобетонные дорожные, аэродромные и асфальтобетон. Технические условия

Обозначение: ГОСТ 9128-2009
Статус: действующий
Название рус.: Смеси асфальтобетонные дорожные, аэродромные и асфальтобетон. Технические условия
Название англ.: Asphaltic concrete mixtures for roads and aerodromes and asphaltic concrete. Specifications
Дата актуализации текста: 19.06.2012
Дата актуализации описания: 19.06.2012
Дата введения в действие: 01.01.2011
Область и условия применения: Настоящий стандарт распространяется на асфальтобетонные смеси и асфальтобетон, применяемые для устройства покрытий и оснований автомобильных дорог, аэродромов, городских улиц и площадей, дорог промышленных предприятий в соответствии с действующими строительными нормами
Взамен: ГОСТ 9128-97


ГОСТ 9128-2009
ГОСТ 9128-2009
ГОСТ 9128-2009
ГОСТ 9128-2009
ГОСТ 9128-2009
ГОСТ 9128-2009
ГОСТ 9128-2009
ГОСТ 9128-2009
ГОСТ 9128-2009
ГОСТ 9128-2009
ГОСТ 9128-2009
ГОСТ 9128-2009
ГОСТ 9128-2009
ГОСТ 9128-2009
ГОСТ 9128-2009
ГОСТ 9128-2009
ГОСТ 9128-2009
ГОСТ 9128-2009
ГОСТ 9128-2009
ГОСТ 9128-2009
Автор: 
Домашняя страница автора: 

ГОСТ 9624-2009

E-mail автора: 

Древесина слоистая клееная. Метод определения предела прочности при скалывании

Обозначение: ГОСТ 9624-2009
Статус: действующий
Название рус.: Древесина слоистая клееная. Метод определения предела прочности при скалывании
Название англ.: Laminated glued wood. Method for determination of shear strength
Дата актуализации текста: 19.06.2012
Дата актуализации описания: 19.06.2012
Дата введения в действие: 01.01.2011
Область и условия применения: Настоящий стандарт распространяется на слоистую клееную древесину (фанеру, фанерные и столярные плиты, древесные слоистые пластики) и устанавливает метод определения предела прочности при скалывании по клеевому слою и древесине
Взамен: ГОСТ 9624-93
Список изменений: №0 от 12.11.2010 (рег. 12.11.2010) «Дата введения перенесена»
Приложение №1: Поправка к ГОСТ 9624-2009


ГОСТ 9624-2009
ГОСТ 9624-2009
ГОСТ 9624-2009
ГОСТ 9624-2009
ГОСТ 9624-2009
ГОСТ 9624-2009
ГОСТ 9624-2009
ГОСТ 9624-2009
ГОСТ 9624-2009
ГОСТ 9624-2009
ГОСТ 9624-2009
ГОСТ 9624-2009
ГОСТ 9624-2009
ГОСТ 9624-2009
ГОСТ 9624-2009
ГОСТ 9624-2009


Поправка к ГОСТ 9624-2009

Обозначение: Поправка к ГОСТ 9624-2009
Дата введения в действие: 12.11.2010
Дата актуализации: 19.06.2011


Поправка к ГОСТ 9624-2009
Автор: 
Домашняя страница автора: 

ГОСТ Р ИСО 8537-2009

E-mail автора: 

Шприцы инъекционные однократного применения стерильные с иглой или без иглы для инсулина. Технические требования и методы испытаний

Обозначение: ГОСТ Р ИСО 8537-2009
Статус: действующий
Название рус.: Шприцы инъекционные однократного применения стерильные с иглой или без иглы для инсулина. Технические требования и методы испытаний
Название англ.: Sterile single-use syringes, with or without needle, for insulin. Technical requirements and test methods
Дата актуализации текста: 19.06.2012
Дата актуализации описания: 19.06.2012
Дата введения в действие: 01.01.2011
Область и условия применения: Настоящий стандарт устанавливает требования и методы испытаний к инъекционным стерильным шприцам однократного применения с иглами или без игл для инсулина, исключительно для инъекций инсулина и предназначенным для людей. Стандарт распространяется на шприцы для применения с 40 единицами инсулина/мл (“INSULIN U-40“) и 100 единицами инсулина/мл (“INSULIN U-100“)
Шприцы предназначены для применения сразу после наполнения и не рассчитаны на длительное содержание инсулина


ГОСТ Р ИСО 8537-2009
ГОСТ Р ИСО 8537-2009
ГОСТ Р ИСО 8537-2009
ГОСТ Р ИСО 8537-2009
ГОСТ Р ИСО 8537-2009
ГОСТ Р ИСО 8537-2009
ГОСТ Р ИСО 8537-2009
ГОСТ Р ИСО 8537-2009
ГОСТ Р ИСО 8537-2009
ГОСТ Р ИСО 8537-2009
ГОСТ Р ИСО 8537-2009
ГОСТ Р ИСО 8537-2009
ГОСТ Р ИСО 8537-2009
ГОСТ Р ИСО 8537-2009
ГОСТ Р ИСО 8537-2009
ГОСТ Р ИСО 8537-2009
ГОСТ Р ИСО 8537-2009
ГОСТ Р ИСО 8537-2009
ГОСТ Р ИСО 8537-2009
ГОСТ Р ИСО 8537-2009
ГОСТ Р ИСО 8537-2009
ГОСТ Р ИСО 8537-2009
ГОСТ Р ИСО 8537-2009
ГОСТ Р ИСО 8537-2009
Автор: 
Домашняя страница автора: 

ГОСТ Р ИСО 6157-1-2009

E-mail автора: 

Изделия крепежные. Дефекты поверхности. Часть 1. Болты, винты и шпильки общего назначения

Обозначение: ГОСТ Р ИСО 6157-1-2009
Статус: действующий
Название рус.: Изделия крепежные. Дефекты поверхности. Часть 1. Болты, винты и шпильки общего назначения
Название англ.: Fasteners. Surface discontinuities. Part 1. Bolts, screws and studs for general requirements
Дата актуализации текста: 19.06.2012
Дата актуализации описания: 19.06.2012
Дата введения в действие: 01.01.2011
Область и условия применения: 1.1 Настоящий стандарт устанавливает допустимые предельные значения для различных типов дефектов поверхности болтов, винтов и шпилек общего назначения:
- с номинальным диаметром резьбы не менее 5 мм;
- классов точности A и B;
- классов прочности до 10.9 включительно, если иначе не определено соответствующими стандартами на продукцию или соглашением между изготовителем и заказчиком.
1.2 Допустимые предельные значения дефектов поверхности болтов, винтов и шпилек специального назначения (например, для автоматической сборки) установлены в ИСО 6157-3. Для дефектов поверхностей болтов, винтов и шпилек машиностроительного назначения необходимо проводить более тщательный контроль, который определен соответствующими стандартами на продукцию, или заказчик должен сам определить допустимые пределы приемки в заявке и при заказе на поставку.
1.3 Для изделий, в которых обнаружены допустимые дефекты поверхности, приведенные в разделе 3, должны выполняться требования к минимальным значениям механических и функциональных свойств, указанных в ИСО 898-1


ГОСТ Р ИСО 6157-1-2009
ГОСТ Р ИСО 6157-1-2009
ГОСТ Р ИСО 6157-1-2009
ГОСТ Р ИСО 6157-1-2009
ГОСТ Р ИСО 6157-1-2009
ГОСТ Р ИСО 6157-1-2009
ГОСТ Р ИСО 6157-1-2009
ГОСТ Р ИСО 6157-1-2009
ГОСТ Р ИСО 6157-1-2009
ГОСТ Р ИСО 6157-1-2009
ГОСТ Р ИСО 6157-1-2009
ГОСТ Р ИСО 6157-1-2009
ГОСТ Р ИСО 6157-1-2009
ГОСТ Р ИСО 6157-1-2009
ГОСТ Р ИСО 6157-1-2009
ГОСТ Р ИСО 6157-1-2009
Автор: 
Домашняя страница автора: 

ГОСТ Р ИСО 898-7-2009

E-mail автора: 

Механические свойства крепежных изделий из углеродистой и легированной стали. Часть 7. Испытание на кручение и минимальные крутящие моменты для болтов и винтов номинальных диаметров от 1 до 10 мм

Обозначение: ГОСТ Р ИСО 898-7-2009
Статус: действующий
Название рус.: Механические свойства крепежных изделий из углеродистой и легированной стали. Часть 7. Испытание на кручение и минимальные крутящие моменты для болтов и винтов номинальных диаметров от 1 до 10 мм
Название англ.: Mechanical properties of fasteners. Part 7. Torsional test and minimum torques for bolts and screws with nominal diameters 1 mm to 10 mm
Дата актуализации текста: 19.06.2012
Дата актуализации описания: 19.06.2012
Дата введения в действие: 01.01.2011
Область и условия применения: Настоящий стандарт устанавливает метод испытания на кручение для определения минимального (разрушающего) крутящего момента для болтов и винтов номинальных диаметров от 1 до 10 мм, соответствующих классу прочности от 8.8 до 12.9 согласно ИСО 898-1. Данное испытание применяют к болтам и винтам с резьбой меньше М3, для которых в ИСО 898-1 не указаны разрушающие и пробные (нормативные) нагрузки, а также к коротким болтам и винтам с номинальным диаметром от 3 до 10 мм, которые невозможно испытать на растяжение.
Минимальные разрушающие крутящие моменты недействительны для установочных винтов с шестигранным углублением под ключ


ГОСТ Р ИСО 898-7-2009
ГОСТ Р ИСО 898-7-2009
ГОСТ Р ИСО 898-7-2009
ГОСТ Р ИСО 898-7-2009
ГОСТ Р ИСО 898-7-2009
ГОСТ Р ИСО 898-7-2009
ГОСТ Р ИСО 898-7-2009
ГОСТ Р ИСО 898-7-2009
ГОСТ Р ИСО 898-7-2009
ГОСТ Р ИСО 898-7-2009
ГОСТ Р ИСО 898-7-2009
ГОСТ Р ИСО 898-7-2009
Автор: 
Домашняя страница автора: 

ГОСТ Р ИСО 6157-2-2009

E-mail автора: 

Изделия крепежные. Дефекты поверхности. Часть 2. Гайки

Обозначение: ГОСТ Р ИСО 6157-2-2009
Статус: действующий
Название рус.: Изделия крепежные. Дефекты поверхности. Часть 2. Гайки
Название англ.: Fasteners – Surface discontinuities - Part 2: Nuts
Дата актуализации текста: 19.06.2012
Дата актуализации описания: 19.06.2012
Дата введения в действие: 01.01.2011
Область и условия применения: Настоящий стандарт устанавливает допустимые предельные значения для различных типов дефектов поверхности гаек:
- с номинальным диаметром резьбы от 5 до 39 мм включительно;
- классов точности A и B;
- классов прочности по ИСО 898-2 и ИСО 898-6, если иначе не определено в стандартах на продукцию или соглашением между изготовителем и заказчиком


ГОСТ Р ИСО 6157-2-2009
ГОСТ Р ИСО 6157-2-2009
ГОСТ Р ИСО 6157-2-2009
ГОСТ Р ИСО 6157-2-2009
ГОСТ Р ИСО 6157-2-2009
ГОСТ Р ИСО 6157-2-2009
ГОСТ Р ИСО 6157-2-2009
ГОСТ Р ИСО 6157-2-2009
ГОСТ Р ИСО 6157-2-2009
ГОСТ Р ИСО 6157-2-2009
ГОСТ Р ИСО 6157-2-2009
ГОСТ Р ИСО 6157-2-2009
ГОСТ Р ИСО 6157-2-2009
ГОСТ Р ИСО 6157-2-2009
ГОСТ Р ИСО 6157-2-2009
ГОСТ Р ИСО 6157-2-2009
Автор: 
Домашняя страница автора: 

ГОСТ Р ИСО 9241-5-2009

E-mail автора: 

Эргономические требования к проведению офисных работ с использованием видеодисплейных терминалов (VDT). Часть 5. Требования к расположению рабочей станции и осанке оператора

Обозначение: ГОСТ Р ИСО 9241-5-2009
Статус: действующий
Название рус.: Эргономические требования к проведению офисных работ с использованием видеодисплейных терминалов (VDT). Часть 5. Требования к расположению рабочей станции и осанке оператора
Название англ.: Ergonomic requirements for office work with visual display terminals (VDTs). Part 5. Workstation layout and postural requirements
Дата актуализации текста: 19.06.2012
Дата актуализации описания: 19.06.2012
Дата введения в действие: 01.12.2010
Область и условия применения: Настоящий стандарт устанавливает руководящие принципы, применяемые при формировании требований пользователей, а также при разработке проекта и установке оборудования рабочих станций, предназначенных для проведения офисных работ с применением VDT.
Общие принципы и требования, установленные в настоящем стандарте, следует учитывать при разработке стандартов, устанавливающих требования к конструкции офисной мебели и оборудования рабочего места оператора


ГОСТ Р ИСО 9241-5-2009
ГОСТ Р ИСО 9241-5-2009
ГОСТ Р ИСО 9241-5-2009
ГОСТ Р ИСО 9241-5-2009
ГОСТ Р ИСО 9241-5-2009
ГОСТ Р ИСО 9241-5-2009
ГОСТ Р ИСО 9241-5-2009
ГОСТ Р ИСО 9241-5-2009
ГОСТ Р ИСО 9241-5-2009
ГОСТ Р ИСО 9241-5-2009
ГОСТ Р ИСО 9241-5-2009
ГОСТ Р ИСО 9241-5-2009
ГОСТ Р ИСО 9241-5-2009
ГОСТ Р ИСО 9241-5-2009
ГОСТ Р ИСО 9241-5-2009
ГОСТ Р ИСО 9241-5-2009
ГОСТ Р ИСО 9241-5-2009
ГОСТ Р ИСО 9241-5-2009
ГОСТ Р ИСО 9241-5-2009
ГОСТ Р ИСО 9241-5-2009
ГОСТ Р ИСО 9241-5-2009
ГОСТ Р ИСО 9241-5-2009
ГОСТ Р ИСО 9241-5-2009
ГОСТ Р ИСО 9241-5-2009
ГОСТ Р ИСО 9241-5-2009
ГОСТ Р ИСО 9241-5-2009
ГОСТ Р ИСО 9241-5-2009
ГОСТ Р ИСО 9241-5-2009
Автор: 
Домашняя страница автора: 

ГОСТ Р ИСО 8206-2009

E-mail автора: 

Приемочные испытания машин для кислородной резки. Воспроизводимая точность. Эксплуатационные характеристики

Обозначение: ГОСТ Р ИСО 8206-2009
Статус: действующий
Название рус.: Приемочные испытания машин для кислородной резки. Воспроизводимая точность. Эксплуатационные характеристики
Название англ.: Acceptance test for oxygen cutting machines. Reproducible accuracy. Operational characteristics
Дата актуализации текста: 19.06.2012
Дата актуализации описания: 19.06.2012
Дата введения в действие: 01.07.2010
Область и условия применения: Настоящий стандарт распространяется на стандартные портальные машины для кислородной фигурной и прямолинейной резки.
Настоящий стандарт допускается применять к другим процессам термической резки


ГОСТ Р ИСО 8206-2009
ГОСТ Р ИСО 8206-2009
ГОСТ Р ИСО 8206-2009
ГОСТ Р ИСО 8206-2009
ГОСТ Р ИСО 8206-2009
ГОСТ Р ИСО 8206-2009
ГОСТ Р ИСО 8206-2009
ГОСТ Р ИСО 8206-2009
ГОСТ Р ИСО 8206-2009
ГОСТ Р ИСО 8206-2009
ГОСТ Р ИСО 8206-2009
ГОСТ Р ИСО 8206-2009
ГОСТ Р ИСО 8206-2009
ГОСТ Р ИСО 8206-2009
ГОСТ Р ИСО 8206-2009
ГОСТ Р ИСО 8206-2009
Автор: 
Домашняя страница автора: 

Страницы