Наша группа Вконтакте vk.com/4ertimcom

ГОСТ 25001-30000

ГОСТ 26474-85

E-mail автора: 

Долота и головки бурильные алмазные и оснащенные сверхтвердыми композиционными материалами. Типы и основные размеры

Обозначение: ГОСТ 26474-85
Статус: действующий
Название рус.: Долота и головки бурильные алмазные и оснащенные сверхтвердыми композиционными материалами. Типы и основные размеры
Название англ.: Diamond and extra-hard composite material drill bits and core bits. Types and main dimensions
Дата актуализации текста: 19.06.2012
Дата актуализации описания: 19.06.2012
Дата введения в действие: 01.07.1986
Область и условия применения: Настоящий стандарт распространяется на долота для сплошного бурения глубоких скважин, на головки бурильные для бурения скважин с отбором керна керноприемными устройствами с несъемным керноприемником и со съемным керноприемником, оснащенные природными и синтетическими алмазами, а также сверхтвердыми композицонными материалами


ГОСТ 26474-85
ГОСТ 26474-85
ГОСТ 26474-85
ГОСТ 26474-85
ГОСТ 26474-85
ГОСТ 26474-85
ГОСТ 26474-85
ГОСТ 26474-85
Автор: 
Домашняя страница автора: 

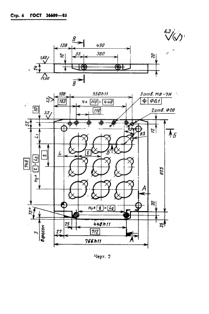
ГОСТ 26609-85

E-mail автора: 

Блоки трехкассетных пресс-форм для изготовления резинотехнических изделий на прессах с размерами греющих плит 800х800 мм. Конструкция и размеры

Обозначение: ГОСТ 26609-85
Статус: действующий
Название рус.: Блоки трехкассетных пресс-форм для изготовления резинотехнических изделий на прессах с размерами греющих плит 800х800 мм. Конструкция и размеры
Название англ.: Blocks of three-cassette press moulds for producing the rubber technical parts on presses with heating plates dimensions 800x800 mm. Design and dimensions
Дата актуализации текста: 19.06.2012
Дата актуализации описания: 19.06.2012
Дата введения в действие: 01.07.1986
Область и условия применения: Настоящий стандарт распространяется на блоки трехкассетных пресс-форм для изготовления резинтехнических изделий на вулканизационных прессах с размерами греющих плит 800х800, оборудованных перезарядчиками по ГОСТ 24276-80


ГОСТ 26609-85
ГОСТ 26609-85
ГОСТ 26609-85
ГОСТ 26609-85
ГОСТ 26609-85
ГОСТ 26609-85
ГОСТ 26609-85
ГОСТ 26609-85
ГОСТ 26609-85
ГОСТ 26609-85
ГОСТ 26609-85
ГОСТ 26609-85
ГОСТ 26609-85
ГОСТ 26609-85
ГОСТ 26609-85
Автор: 
Домашняя страница автора: 

ГОСТ 26568-85

E-mail автора: 

Вибрация. Методы и средства защиты. Классификация

Обозначение: ГОСТ 26568-85
Статус: действующий
Название рус.: Вибрация. Методы и средства защиты. Классификация
Название англ.: Vibration. Methods and means for protection Classification
Дата актуализации текста: 19.06.2012
Дата актуализации описания: 19.06.2012
Дата введения в действие: 01.01.1987
Область и условия применения: Настоящий стандарт устанавливает классификацию методов и средств, предназначенных для снижения вибрации ручных, стационарных, самоходных и прицепных машин, оборудования, строительных конструкций и уменьшения вредного воздействия вибрации на человека-оператора
Взамен: ГОСТ 12.4.046-78
Список изменений: №1 от 01.01.1988 (рег. 17.12.1986) «Срок действия продлен»


ГОСТ 26568-85
ГОСТ 26568-85
ГОСТ 26568-85
ГОСТ 26568-85
ГОСТ 26568-85
ГОСТ 26568-85
ГОСТ 26568-85
ГОСТ 26568-85
ГОСТ 26568-85
ГОСТ 26568-85
ГОСТ 26568-85
ГОСТ 26568-85
ГОСТ 26568-85
ГОСТ 26568-85
ГОСТ 26568-85
ГОСТ 26568-85
Автор: 
Домашняя страница автора: 

ГОСТ 26417-85

E-mail автора: 

Материалы звукопоглощающие строительные. Метод испытаний в малой реверберационной камере

Обозначение: ГОСТ 26417-85
Статус: утратил силу в РФ
Название рус.: Материалы звукопоглощающие строительные. Метод испытаний в малой реверберационной камере
Название англ.: Sound-absorbing building materials. Method of testing in a small reverberation room
Дата актуализации текста: 19.06.2012
Дата актуализации описания: 19.06.2012
Дата введения в действие: 01.01.1986
Область и условия применения: Настоящий стандарт устанавливает ускоренный метод определения реверберационных коэффициентов звукопоглощения строительных материалов и предназначен для проведения испытаний на малых образцах площадью 1-1,5 м кв. и толщиной не более 100 мм, а также для контроля качества звукопоглощающих материалов.
Стандарт не распространяется на штучные звукопоглотители
Список изменений: №0 от 01.03.2010 (рег. 19.08.2009) «Поправка к изменению»


ГОСТ 26417-85
ГОСТ 26417-85
ГОСТ 26417-85
ГОСТ 26417-85
ГОСТ 26417-85
ГОСТ 26417-85
ГОСТ 26417-85
ГОСТ 26417-85
ГОСТ 26417-85
ГОСТ 26417-85
ГОСТ 26417-85
ГОСТ 26417-85
Автор: 
Домашняя страница автора: 

ГОСТ 26641-85

E-mail автора: 

Иглы атравматические. Общие технические требования и методы испытаний

Обозначение: ГОСТ 26641-85
Статус: действующий
Название рус.: Иглы атравматические. Общие технические требования и методы испытаний
Название англ.: Atraumatic needles. General technical requirements and test methods
Дата актуализации текста: 19.06.2012
Дата актуализации описания: 19.06.2012
Дата введения в действие: 01.07.1986
Область и условия применения: Настоящий стандарт распространяется на стерильные атравматические иглы однократного применения, предназначенные для сшивания тканей в процессе хирургических операций.
Стандарт не распространяется на хирургические иглы
Список изменений: №1 от 01.07.1987 (рег. 20.03.1987) «Срок действия продлен»
№2 от 01.01.1990 (рег. 26.06.1989) «Срок действия продлен»


ГОСТ 26641-85
ГОСТ 26641-85
ГОСТ 26641-85
ГОСТ 26641-85
ГОСТ 26641-85
ГОСТ 26641-85
ГОСТ 26641-85
ГОСТ 26641-85
ГОСТ 26641-85
ГОСТ 26641-85
ГОСТ 26641-85
ГОСТ 26641-85
ГОСТ 26641-85
ГОСТ 26641-85
ГОСТ 26641-85
ГОСТ 26641-85
Автор: 
Домашняя страница автора: 

ГОСТ 26644-85

E-mail автора: 

Щебень и песок из шлаков тепловых электростанций для бетона. Технические условия

Обозначение: ГОСТ 26644-85
Статус: действующий
Название рус.: Щебень и песок из шлаков тепловых электростанций для бетона. Технические условия
Название англ.: Slag crushed stone and slag sand fly-ash for concrete. Specifications
Дата актуализации текста: 19.06.2012
Дата актуализации описания: 19.06.2012
Дата введения в действие: 01.01.1987
Область и условия применения: Настоящий стандарт распространяется на щебень и песок из шлаков, образующихся при сжигании углей на тепловых электростанциях в топках котлов с жидким и твердым шлакоудалением.
Стандарт не распространяется на заполнители для бетонов гидротехнических сооружений, конструкций мостов, тоннелей и эстакад, а также дорожных покрытий, труб, шпал, опор ЛЭП и конструкций из специальных бетонов
Список изменений: №1 от 01.04.2001 (рег. 26.02.2001) «Срок действия продлен»
Приложение №1: Изменение №1 к ГОСТ 26644-85


ГОСТ 26644-85
ГОСТ 26644-85
ГОСТ 26644-85
ГОСТ 26644-85
ГОСТ 26644-85
ГОСТ 26644-85
ГОСТ 26644-85
ГОСТ 26644-85
ГОСТ 26644-85


Изменение №1 к ГОСТ 26644-85

Обозначение: Изменение №1 к ГОСТ 26644-85
Дата введения в действие: 01.04.2001
Дата актуализации: 15.01.2008


Изменение №1 к ГОСТ 26644-85
Изменение №1 к ГОСТ 26644-85
Автор: 
Домашняя страница автора: 

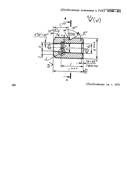
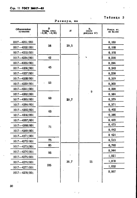
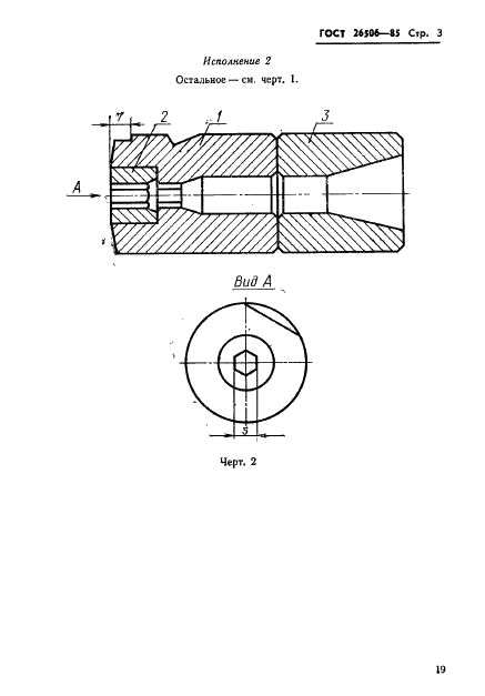
ГОСТ 26506-85

E-mail автора: 

Инструмент для холодноштамповочных автоматов. Матрицы для отрезки заготовок гаек. Конструкция и размеры

Обозначение: ГОСТ 26506-85
Статус: действующий
Название рус.: Инструмент для холодноштамповочных автоматов. Матрицы для отрезки заготовок гаек. Конструкция и размеры
Название англ.: Tools for cold-forming machines. Dies for cutting ofnut blanks. Construction and dimensions
Дата актуализации текста: 19.06.2012
Дата актуализации описания: 19.06.2012
Дата введения в действие: 01.07.1987
Область и условия применения: Настоящий стандарт распространяется на матрицы с твердосплавными вставками для отрезки гаек номинальным диаметром резьбы от 4 до 20 мм
Список изменений: №1 от 01.01.1991 (рег. 19.12.1989) «Срок действия продлен»


ГОСТ 26506-85
ГОСТ 26506-85
ГОСТ 26506-85
ГОСТ 26506-85
ГОСТ 26506-85
ГОСТ 26506-85
ГОСТ 26506-85
ГОСТ 26506-85
ГОСТ 26506-85
ГОСТ 26506-85
ГОСТ 26506-85
ГОСТ 26506-85
ГОСТ 26506-85
ГОСТ 26506-85
ГОСТ 26506-85
ГОСТ 26506-85
ГОСТ 26506-85
ГОСТ 26506-85
ГОСТ 26506-85
ГОСТ 26506-85
ГОСТ 26506-85
Автор: 
Домашняя страница автора: 

ГОСТ 26438-85

E-mail автора: 

Формы стальные для изготовления железобетонных изделий. Методы испытаний на деформативность

Обозначение: ГОСТ 26438-85
Статус: действующий
Название рус.: Формы стальные для изготовления железобетонных изделий. Методы испытаний на деформативность
Название англ.: Steel moulds for reinforced concrete members. Methods of tests for deformability
Дата актуализации текста: 19.06.2012
Дата актуализации описания: 19.06.2012
Дата введения в действие: 01.01.1986
Область и условия применения: Настоящий стандарт распространяется на стальные формы с горизонтальным расположением формовочного отсека, предназначенные для изготовления железобетонных и бетонных изделий и конструкций, и устанавливает методы определения их деформативности при эксплуатационных нагрузках


ГОСТ 26438-85
ГОСТ 26438-85
ГОСТ 26438-85
ГОСТ 26438-85
ГОСТ 26438-85
ГОСТ 26438-85
ГОСТ 26438-85
ГОСТ 26438-85
ГОСТ 26438-85
ГОСТ 26438-85
ГОСТ 26438-85
ГОСТ 26438-85
ГОСТ 26438-85
ГОСТ 26438-85
ГОСТ 26438-85
ГОСТ 26438-85
ГОСТ 26438-85
ГОСТ 26438-85
ГОСТ 26438-85
ГОСТ 26438-85
Автор: 
Домашняя страница автора: 

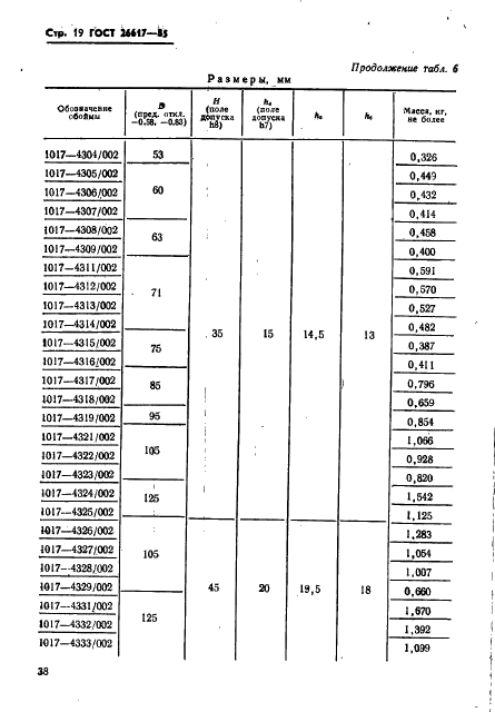
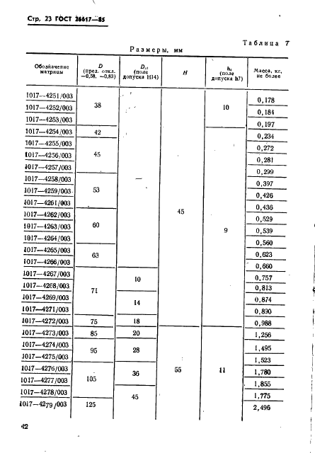
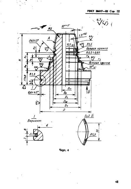
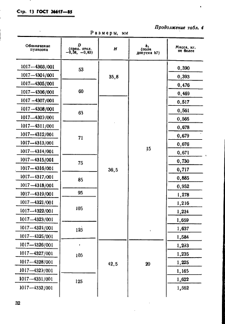
ГОСТ 26617-85

E-mail автора: 

Пакеты трехкассетных пресс-форм для изготовления манжет гидравлических устройств. Конструкция и размеры

Обозначение: ГОСТ 26617-85
Статус: действующий
Название рус.: Пакеты трехкассетных пресс-форм для изготовления манжет гидравлических устройств. Конструкция и размеры
Название англ.: Sets of three-cassete press-moulds for manufacturing of rubber u-packing seals. Design and dimensions
Дата актуализации текста: 19.06.2012
Дата актуализации описания: 19.06.2012
Дата введения в действие: 01.07.1986
Область и условия применения: Настоящий стандарт распространяется на пакеты для изготовления резиновых уплотнительных манжет по ГОСТ 14896-84 типов 1 и 3 размерами от 18х10 до 160х140 мм. Пакеты предназначены для установки в блоки трехкассетных пресс-форм по ГОСТ 24318-80 и ГОСТ 25109-82


ГОСТ 26617-85
ГОСТ 26617-85
ГОСТ 26617-85
ГОСТ 26617-85
ГОСТ 26617-85
ГОСТ 26617-85
ГОСТ 26617-85
ГОСТ 26617-85
ГОСТ 26617-85
ГОСТ 26617-85
ГОСТ 26617-85
ГОСТ 26617-85
ГОСТ 26617-85
ГОСТ 26617-85
ГОСТ 26617-85
ГОСТ 26617-85
ГОСТ 26617-85
ГОСТ 26617-85
ГОСТ 26617-85
ГОСТ 26617-85
ГОСТ 26617-85
ГОСТ 26617-85
ГОСТ 26617-85
ГОСТ 26617-85
ГОСТ 26617-85
ГОСТ 26617-85
ГОСТ 26617-85
Автор: 
Домашняя страница автора: 

ГОСТ 26493-85

E-mail автора: 

Вибрация. Технологическое оборудование целлюлозно-бумажного производства. Нормы вибрации. Технические требования

Обозначение: ГОСТ 26493-85
Статус: действующий
Название рус.: Вибрация. Технологическое оборудование целлюлозно-бумажного производства. Нормы вибрации. Технические требования
Название англ.: Vibration. Pulp and paper production processing equipment, vibration standards. Technical requirements
Дата актуализации текста: 19.06.2012
Дата актуализации описания: 19.06.2012
Дата введения в действие: 01.07.1986
Область и условия применения: Настоящий стандарт распространяется на технологическое оборудование целлюлозно-бумажного производства и устанавливает допустимые параметры вибрации составных частей оборудования, а также технические требования к проведению измерений
Список изменений: №1 от 01.01.1991 (рег. 17.04.1990) «Срок действия продлен»


ГОСТ 26493-85
ГОСТ 26493-85
ГОСТ 26493-85
ГОСТ 26493-85
ГОСТ 26493-85
ГОСТ 26493-85
ГОСТ 26493-85
ГОСТ 26493-85
ГОСТ 26493-85
ГОСТ 26493-85
ГОСТ 26493-85
ГОСТ 26493-85
ГОСТ 26493-85
Автор: 
Домашняя страница автора: 

Страницы