Наша группа Вконтакте vk.com/4ertimcom

ГОСТ 25001-30000

ГОСТ 26658-85

E-mail автора: 

Электроагрегаты и передвижные электростанции с двигателями внутреннего сгорания. Методы испытаний

Обозначение: ГОСТ 26658-85
Статус: утратил силу в РФ
Название рус.: Электроагрегаты и передвижные электростанции с двигателями внутреннего сгорания. Методы испытаний
Название англ.: Electric generating sets and mobile power stations with internal combustion engines. Test methods
Дата актуализации текста: 19.06.2012
Дата актуализации описания: 19.06.2012
Дата введения в действие: 01.01.1987
Область и условия применения: Настоящий стандарт распространяется на электроагрегаты и передвижные электростанции с двигателями внутреннего сгорания мощностью 0,5-5000 кВт.
Стандарт не распространяется на газотурбинные, судовые и тепловозные электроагрегаты и электростанции, а также на электростанции на железнодорожном ходу и энергопоезда
Взамен в части: ГОСТ 21671-82 в части методов контроля
Список изменений: №0 от 01.01.2010 (рег. 18.12.2008) «Поправка к изменению»


ГОСТ 26658-85
ГОСТ 26658-85
ГОСТ 26658-85
ГОСТ 26658-85
ГОСТ 26658-85
ГОСТ 26658-85
ГОСТ 26658-85
ГОСТ 26658-85
ГОСТ 26658-85
ГОСТ 26658-85
ГОСТ 26658-85
ГОСТ 26658-85
ГОСТ 26658-85
ГОСТ 26658-85
ГОСТ 26658-85
ГОСТ 26658-85
ГОСТ 26658-85
ГОСТ 26658-85
ГОСТ 26658-85
ГОСТ 26658-85
ГОСТ 26658-85
ГОСТ 26658-85
ГОСТ 26658-85
ГОСТ 26658-85
ГОСТ 26658-85
ГОСТ 26658-85
ГОСТ 26658-85
ГОСТ 26658-85
ГОСТ 26658-85
ГОСТ 26658-85
ГОСТ 26658-85
ГОСТ 26658-85
ГОСТ 26658-85
ГОСТ 26658-85
ГОСТ 26658-85
ГОСТ 26658-85
ГОСТ 26658-85
ГОСТ 26658-85
ГОСТ 26658-85
ГОСТ 26658-85
ГОСТ 26658-85
Автор: 
Домашняя страница автора: 

ГОСТ 26614-85

E-mail автора: 

Материалы антифрикационные порошковые. Метод определения триботехническиих свойств

Обозначение: ГОСТ 26614-85
Статус: действующий
Название рус.: Материалы антифрикационные порошковые. Метод определения триботехническиих свойств
Название англ.: Powder antifriction materials. Test method for determination of tribotechnical properties
Дата актуализации текста: 19.06.2012
Дата актуализации описания: 19.06.2012
Дата введения в действие: 01.01.1987
Область и условия применения: Настоящий стандарт устанавливает метод испытаний антифрикционных порошковых материалов с целью оценки их триботехнических свойств при трении с ограниченной подачей смазки
Список изменений: №1 от 01.03.1992 (рег. 27.08.1991) «Срок действия продлен»


ГОСТ 26614-85
ГОСТ 26614-85
ГОСТ 26614-85
ГОСТ 26614-85
ГОСТ 26614-85
ГОСТ 26614-85
ГОСТ 26614-85
ГОСТ 26614-85
ГОСТ 26614-85
ГОСТ 26614-85
ГОСТ 26614-85
ГОСТ 26614-85
ГОСТ 26614-85
Автор: 
Домашняя страница автора: 

ГОСТ 26588-85

E-mail автора: 

Шерсть полугрубая и грубая неоднородная мытая сортированная. Технические условия

Обозначение: ГОСТ 26588-85
Статус: действующий
Название рус.: Шерсть полугрубая и грубая неоднородная мытая сортированная. Технические условия
Название англ.: Sorted semi-coarse and coarse inhomogeneous scoured woll. Technical requirements
Дата актуализации текста: 19.06.2012
Дата актуализации описания: 19.06.2012
Дата введения в действие: 01.07.1987
Область и условия применения: Настоящий стандарт распространяется на сортированную мытую и сухой производственной обработки неоднородную полугрубую и грубую отечественную шерсть весенней стрижки
Взамен: ГОСТ 8488-73
Взамен в части: ГОСТ 6327-74 в части полугрубой шерсти
Список изменений: №0 от 25.09.1986 (рег. 25.09.1986) «Утратил силу в РФ»
№0 от 23.02.1987 (рег. 23.02.1987) «Утратил силу в РФ»
№1 от 01.07.1992 (рег. 27.12.1991) «Срок действия продлен»


ГОСТ 26588-85
ГОСТ 26588-85
ГОСТ 26588-85
ГОСТ 26588-85
ГОСТ 26588-85
ГОСТ 26588-85
ГОСТ 26588-85
ГОСТ 26588-85
ГОСТ 26588-85
ГОСТ 26588-85
ГОСТ 26588-85
ГОСТ 26588-85
ГОСТ 26588-85
ГОСТ 26588-85
ГОСТ 26588-85
ГОСТ 26588-85
ГОСТ 26588-85
ГОСТ 26588-85
ГОСТ 26588-85
Автор: 
Домашняя страница автора: 

ГОСТ 26420-85

E-mail автора: 

Винтовки малокалиберные стандартные. Основные параметры и общие технические требования

Обозначение: ГОСТ 26420-85
Статус: действующий
Название рус.: Винтовки малокалиберные стандартные. Основные параметры и общие технические требования
Название англ.: Standard smallbore rifles. Basic parameters and general technical requirements
Дата актуализации текста: 19.06.2012
Дата актуализации описания: 19.06.2012
Дата введения в действие: 01.01.1986
Область и условия применения: Настоящий стандарт распространяется на стандартные малокалиберные винтовки, предназначенные для ведущих спортсменов страны, стреляющих по неподвижным мишеням на дальность 50 м в условиях спортивных тиров
Список изменений: №1 от 01.09.1988 (рег. 10.03.1988) «Срок действия продлен»
№2 от 01.01.1991 (рег. 18.06.1990) «Срок действия продлен»


ГОСТ 26420-85
ГОСТ 26420-85
ГОСТ 26420-85
ГОСТ 26420-85
ГОСТ 26420-85
ГОСТ 26420-85
ГОСТ 26420-85
ГОСТ 26420-85
ГОСТ 26420-85
ГОСТ 26420-85
ГОСТ 26420-85
ГОСТ 26420-85
ГОСТ 26420-85
Автор: 
Домашняя страница автора: 

ГОСТ 25645.126-85

E-mail автора: 

Поле геомагнитное. Модель поля внутриземных источников

Обозначение: ГОСТ 25645.126-85
Статус: действующий
Название рус.: Поле геомагнитное. Модель поля внутриземных источников
Название англ.: Geomagnetic field. Magnetic field model of intenal originals
Дата актуализации текста: 19.06.2012
Дата актуализации описания: 19.06.2012
Дата введения в действие: 01.01.1987
Область и условия применения: Настоящий стандарт устанавливает модель геомагнитного поля внутриземных источников на расстоянии от 100 до 40000 км от поверхности Земли.
Стандарт предназначен для использования в расчетах при определении условий функционирования технических устройств в космическом пространстве
Список изменений: №1 от 01.07.1990 (рег. 11.09.1989) «Срок действия продлен»


ГОСТ 25645.126-85
ГОСТ 25645.126-85
ГОСТ 25645.126-85
ГОСТ 25645.126-85
ГОСТ 25645.126-85
ГОСТ 25645.126-85
ГОСТ 25645.126-85
ГОСТ 25645.126-85
ГОСТ 25645.126-85
ГОСТ 25645.126-85
ГОСТ 25645.126-85
ГОСТ 25645.126-85
ГОСТ 25645.126-85
ГОСТ 25645.126-85
ГОСТ 25645.126-85
ГОСТ 25645.126-85
ГОСТ 25645.126-85
ГОСТ 25645.126-85
ГОСТ 25645.126-85
ГОСТ 25645.126-85
ГОСТ 25645.126-85
ГОСТ 25645.126-85
ГОСТ 25645.126-85
Автор: 
Домашняя страница автора: 

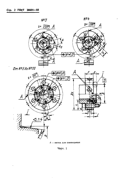
ГОСТ 26651-85

E-mail автора: 

Станки металлорежущие. Концы шпинделей фланцевые типа Кэмлокк и зажимные устройства. Основные и присоединительные размеры

Обозначение: ГОСТ 26651-85
Статус: действующий
Название рус.: Станки металлорежущие. Концы шпинделей фланцевые типа Кэмлокк и зажимные устройства. Основные и присоединительные размеры
Название англ.: Metal-cutting mashine tools. Flanged spindle noses camlock type and fixtures basis and coupling dimensions
Дата актуализации текста: 19.06.2012
Дата актуализации описания: 19.06.2012
Дата введения в действие: 01.01.1988
Область и условия применения: Настоящий стандарт распространяется на фланцевые концы шпинделей с коротким конусом типа Кэмлокк для токарных станков и зажимные устройства, устанавливаемые на концы шпинделей


ГОСТ 26651-85
ГОСТ 26651-85
ГОСТ 26651-85
ГОСТ 26651-85
ГОСТ 26651-85
ГОСТ 26651-85
ГОСТ 26651-85
ГОСТ 26651-85
ГОСТ 26651-85
ГОСТ 26651-85
ГОСТ 26651-85
ГОСТ 26651-85
ГОСТ 26651-85
ГОСТ 26651-85
ГОСТ 26651-85
Автор: 
Домашняя страница автора: 

ГОСТ 25645.121-85

E-mail автора: 

Проникновение космических лучей в магнитосферу Земли. Граница проникновения протонов

Обозначение: ГОСТ 25645.121-85
Статус: действующий
Название рус.: Проникновение космических лучей в магнитосферу Земли. Граница проникновения протонов
Название англ.: Penetration of cosmic rays into Earth's magnetosphere. Boundary penetration of protons
Дата актуализации текста: 19.06.2012
Дата актуализации описания: 19.06.2012
Дата введения в действие: 01.01.1987
Область и условия применения: Настоящий стандарт устанавливает зависимости положения границы проникновения протонов космических лучей с энергией свыше 1 Мэв в магнитисферу Земли от уровня геомагнитной активности и местного магнитного времени для интервала высот от 500 до 1500 км.
Стандарт предназначен для использования в расчетах потоков космических лучей, воздействующих на технические устройства, биологические и другие объекты в космическом пространстве


ГОСТ 25645.121-85
ГОСТ 25645.121-85
ГОСТ 25645.121-85
ГОСТ 25645.121-85
ГОСТ 25645.121-85
ГОСТ 25645.121-85
ГОСТ 25645.121-85
Автор: 
Домашняя страница автора: 

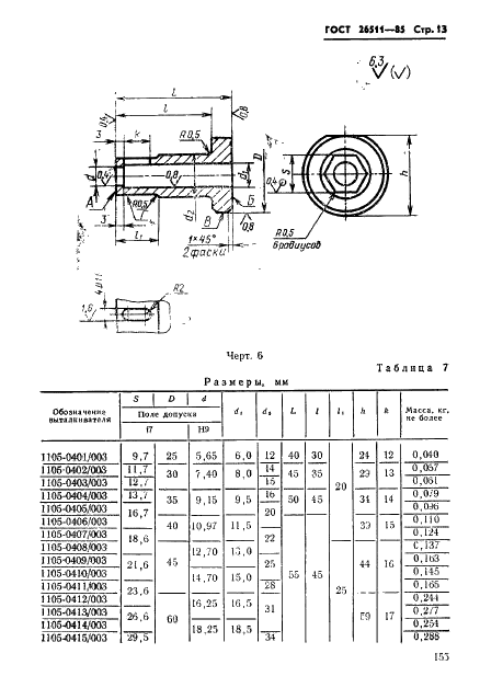
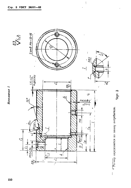
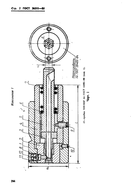
ГОСТ 26511-85

E-mail автора: 

Инструмент для холодноштамповочных автоматов. Матрицы пятого перехода. Конструкция и размеры

Обозначение: ГОСТ 26511-85
Статус: действующий
Название рус.: Инструмент для холодноштамповочных автоматов. Матрицы пятого перехода. Конструкция и размеры
Название англ.: Tools for cold-forming machines. 5Th station dies. Construction and dimensions
Дата актуализации текста: 19.06.2012
Дата актуализации описания: 19.06.2012
Дата введения в действие: 01.07.1987
Область и условия применения: Настоящий стандарт распространяется на матрицы пятого перехода для высадки заготовок гаек номинальным диаметром резьбы от 6 до 20 мм
Список изменений: №1 от 01.01.1991 (рег. 19.12.1989) «Срок действия продлен»


ГОСТ 26511-85
ГОСТ 26511-85
ГОСТ 26511-85
ГОСТ 26511-85
ГОСТ 26511-85
ГОСТ 26511-85
ГОСТ 26511-85
ГОСТ 26511-85
ГОСТ 26511-85
ГОСТ 26511-85
ГОСТ 26511-85
ГОСТ 26511-85
ГОСТ 26511-85
ГОСТ 26511-85
ГОСТ 26511-85
ГОСТ 26511-85
ГОСТ 26511-85
ГОСТ 26511-85
ГОСТ 26511-85
ГОСТ 26511-85
ГОСТ 26511-85
ГОСТ 26511-85
ГОСТ 26511-85
Автор: 
Домашняя страница автора: 

ГОСТ 25645.215-85

E-mail автора: 

Безопасность радиационная экипажа космического аппарата в космическом полете. Нормы безопасности при продолжительности полетов до трех лет

Обозначение: ГОСТ 25645.215-85
Статус: действующий
Название рус.: Безопасность радиационная экипажа космического аппарата в космическом полете. Нормы безопасности при продолжительности полетов до трех лет
Название англ.: Space crew radiation safety during space flight. Safety norms with flight duration till three years
Дата актуализации текста: 19.06.2012
Дата актуализации описания: 19.06.2012
Дата введения в действие: 01.01.1987
Область и условия применения: Настоящий стандарт устанавливает нормы радиационной безопасности экипажа космического аппарата в космическом полете продолжительностью до трех лет, а также в период профессиональной деятельности космонавта
Список изменений: №0 от 01.01.1992 (рег. 27.06.1991) «Срок действия продлен»


ГОСТ 25645.215-85
ГОСТ 25645.215-85
ГОСТ 25645.215-85
ГОСТ 25645.215-85
ГОСТ 25645.215-85
ГОСТ 25645.215-85
ГОСТ 25645.215-85
Автор: 
Домашняя страница автора: 

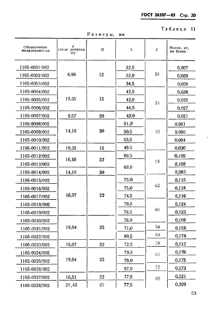
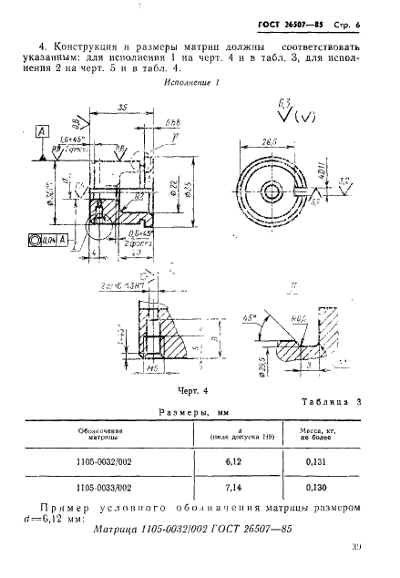
ГОСТ 26507-85

E-mail автора: 

Инструмент для холодноштамповочных автоматов. Матрицы первого перехода. Конструкция и размеры

Обозначение: ГОСТ 26507-85
Статус: действующий
Название рус.: Инструмент для холодноштамповочных автоматов. Матрицы первого перехода. Конструкция и размеры
Название англ.: Tools for cold-forming machines. 1 St station dies. Construction and demensions
Дата актуализации текста: 19.06.2012
Дата актуализации описания: 19.06.2012
Дата введения в действие: 01.07.1987
Область и условия применения: Настоящий стандарт распространяется на матрицы первого перехода для высадки заготовок гаек номинальным диаметром резьбы от 4 до 20 мм
Список изменений: №1 от 01.01.1991 (рег. 19.12.1989) «Срок действия продлен»


ГОСТ 26507-85
ГОСТ 26507-85
ГОСТ 26507-85
ГОСТ 26507-85
ГОСТ 26507-85
ГОСТ 26507-85
ГОСТ 26507-85
ГОСТ 26507-85
ГОСТ 26507-85
ГОСТ 26507-85
ГОСТ 26507-85
ГОСТ 26507-85
ГОСТ 26507-85
ГОСТ 26507-85
ГОСТ 26507-85
ГОСТ 26507-85
ГОСТ 26507-85
ГОСТ 26507-85
ГОСТ 26507-85
ГОСТ 26507-85
ГОСТ 26507-85
ГОСТ 26507-85
ГОСТ 26507-85
ГОСТ 26507-85
ГОСТ 26507-85
Автор: 
Домашняя страница автора: 

Страницы